Google PPRGo: 两分钟分类千万节点的最快GNN

2020 年 12 月 8 日 AINLP

今天给大家介绍的论文是《Scaling Graph Neural Networks with Approximate PageRank》(TensorFlow源码)。这篇论文由Google Research和Technical University of Munich共同发表于KDD 2020。文中提出了PPRGo模型用于图上的节点分类,其最引人注目的特点就是一个“快”字。根据论文中的实验结果,在一个包含1240万个节点,17300万条边组成的大规模图上,PPRGo只花了不到2分钟就给图上所有节点分了类,更夸张的是,这2分钟还是包括了预处理、训练、预测的全流程时间

面对性能如此强悍的GNN后起之秀,各位勤奋好学的炼丹师、调参侠、打工人,是不是都迫不及待地想一探PPRGo的庐山真面目?那好,本文将带领各位看官,追溯PPRGo模型的前世今生,探究它“神速”背后的奥秘,也扒一扒它的"阿喀琉斯脚踝"在哪里。

传统GNN的痛点

为了搞清楚PPRGo为什么能够这么快,首先我们要搞清楚以往的GNN模型为什么那么慢?

一个传统的两层GCN如下所示,

  • 其中 分别是第1和第2层卷积待优化的参数,
  • ,
  • 最后加一个softmax用于节点分类。

因为只用了2层卷积,所以只利用了 目标节点两跳之内的邻居信息。

为了提高模型的性能,需要利用目标节点更多、更远的邻居信息。传统GCN要达到这个目的,只能通过增加卷积的层数。但是,增加卷积层数是把双刃剑,在扩大模型的receptive field的同时,也面临着如下的困难。

卷积层数多了,容易over smoothing

所谓的over smoothing现象,是指经过多层卷积之后,图上每个节点的embedding收敛于相同或相似的向量,变得难以区分。为什么会出现over smoothing的现象,论文《Representation Learning on Graphs with Jumping Knowledge Networks》给出了一种解释:

  • 图卷积与PageRank的计算原理是相通的,都是节点自身的信息(PageRank是节点的影响力)沿边向邻居传递,并与邻居的信息(PageRank中是节点影响力)融合
  • PageRank中的这个信息传递过程最终会收敛,收敛时各节点的PageRank得分,就是该节点在图中的全局影响力
  • 当卷积层数增加时,每个节点对其他节点的影响力也将收敛于该节点的PageRank。 这个影响力是全局唯一的,不会因target node不同而变化,导致各节点在信息融合之后的embedding也会趋同。

所以,更合理的做法时,当为target node聚合周围邻居的信息时,应该多考虑那些对target node更重要的节点,即针对target node的Personal PageRank(PPR)更高的节点,而不是全局影响力(PageRank)更高的节点。举个例子,在全球所有人组成的网络中,美国总统的影响力(PageRank, PR)肯定比我的老板要高,但为什么我敢骂川普,却不敢骂我的老板? 因为我的老板针对我的Personal PageRank (PPR)比川普高多了😂。

卷积层数多了,增加了要学习的参数

图卷积中信息的transformation与propagation都是由各层卷积完成的,所以每层都有待优化的参数(比如上图中的 )和激活函数,来完成信息的transformation。增加卷积层数,就意味着引入更多的参数要学习,既增加了学习的难度,也容易让模型overfitting。

卷积层数多了,增加了计算耗时

随着卷积层数的增加,计算目标节点所需要的邻居节点数也指数级增加,与之相关的CPU、内存压力也随之增加。即使采取了neighbor sampling,也未能改变这种指数级增加的趋势。关键是每个batch都必须重复承受这种计算压力,而无法amortize。

正因为基于逐层卷积的GNN有以上这么多的缺点,本文的作者在ICLR 2019发表论文《PREDICT THEN PROPAGATE : GRAPH NEURAL NETWORKS MEET PERSONALIZED PAGERANK》,提出用PPR取代逐层卷积,来完成节点信息在图上的传播与融合。那篇论文提出的PPNP(Personalized propagation of neural predictions)模型也就是是PPRGo模型的前身。在学习PPNP模型之前,先让我们花点时间重温一下PageRank和Personal PageRank。

重温PageRank和Personal PageRank

PageRank的原理,照抄wikipedia。注意,PageRank是各节点在整个图上的全局影响力,与从哪个节点开始surfing无关

图中高亮的部分就是Personal PageRank(PPR)与PageRank(PR)的不同之处:当用户不再点击外链时,不再随机浏览其他网页,而是跳回(teleport)到最开始出发的网页,重新开始surfing。这种情况下,计算出来的各节点的影响力,就是针对起始节点的PPR。

PR/PPR的公式经过反复迭代,会趋于收敛,收敛时满足:

  • 是一个One-Hot Encoding,只有起始位置x上才有1,其他位置都是0
  • , ,是考虑了self-loop的对称归一化后的邻接矩阵
  • 是wikipedia公式中的1-d,表示teleport的概率,控制选择邻居的范围。 接近1,说明更注重immediate neighbor; 接近0,说明更注重multi-hop neighbors。

解这个方程,得到 ,其中的第y位表示节点x对节点的y的影响力。

要计算所有节点对其他所有节点的PPR,就把 换成单位矩阵 ,得到 。其中的[y,x]位置上的元素,代表节点x对节点y的影响力,因为存在对称性,也代表y对x的影响力。

求解 的意义在于:

  • PR/PPR的思想,都来源于surfing或者说random walk。经过无数轮的surfing或游走,各节点的分数收敛于各自的PR或PPR。这是一种类似Monte Carl的 仿真求解方式。
  • 提供了一个“ 解析解”, 效果等同于经过无穷轮surfing之后收敛的效果,但是省却了那无穷轮surfing的过程

PPNP:基于PPR完成信息在图上的传递

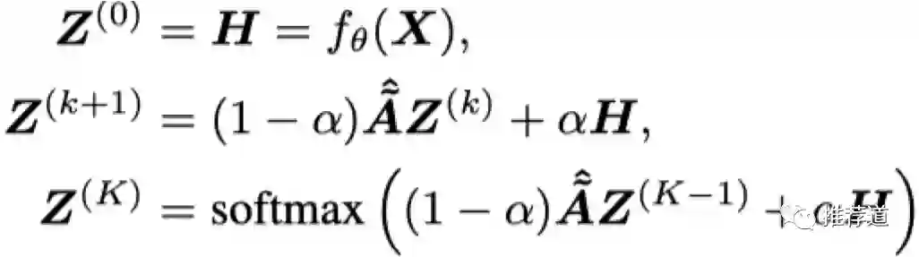
正如上一节所述,假如我们能够计算出 矩阵,即图中任意节点对其他节点的影响力,我们可以借助 将每个节点的本地信息传播到图上的任意节点。其效果等同于经过无穷层卷积的效果,却省去了逐层卷积的麻烦

基于PPR的GNN非常简单,只需要两步:

  1. 只拿每个节点的 本地特征,喂入本地模型 ,得到每个节点的本地向量表示,
  2. 如果已知 矩阵,则 目标节点的最终向量表示=sum(邻居节点的本地向量 * 邻居对target node的PPR)。再喂入softmax,就得到每个节点对每个类别的概率

Power Iteration近似求解

但问题是,求解 的过程中需要求逆,一来大型矩阵求逆本来就困难,二来求逆破坏了矩阵的稀疏性,增加了计算复杂度。

所以PPNP利用“PPR本来就是多轮迭代收敛后的产物”的思路,用power iteration代替 ,而且迭代过程中只涉及稀疏矩阵运算,也降低了计算复杂度。

特点与优势

  • 在这个模型中, 节点信息的transformation与propagation彻底分离
    • transformation只由本地模型 完成,可以容纳复杂模型
    • propagation由 完成,其中没有需要优化的参数
  • 尽管也采用了power iteration,但是其近似的是PPR的解析解, 其理论效果等同于使用了无穷层卷积,等同于聚合了图上所有节点的信息,但是却节省了那无穷层卷积的耗时与训练参数
  • 计算PPR时,引入teleport,使PPR相对于逐层卷积收敛到的PR, 对目标节点的针对性更强,避免了多层卷积带来的over smoothing

PPRGo:PPNP的升级版本

PPRGo与PPNP师出同门,所以基本思路是一致的,都是先用每个节点的本地特征学习出每个节点的本地embedding,再用PPR矩阵完成本地embedding在图上的传递与聚合。但是与PPNP不同的是:

  • PPNP由于求逆困难,实际上没有真正求解出 ,而是采用Power Iteration代替 。这种方式的缺点,一是计算 需要经过多次迭代(原文中需要10次以上),二是每个batch都要拿当前batch中的H重新迭代计算
  • PPRGo找到了近似求解 的算法。 我们只需要在训练前将 提前计算好,训练每个batch时无需重新计算,从而大大加快了训练速度。

提前计算好PPR矩阵

PPRGo采用《Local graph partitioning using pagerank vectors》中的算法来近似求解PPR矩阵。针对目标节点"t",计算其他节点对"t"的PPR的算法如下所示。具体算法推导,请感兴趣的同学移步原论文,这里就不展开了。

对于训练集中的每个节点,我们都需要运行以上算法,计算其他节点对其的PPR。针对不同目标节点的计算流程,相互独立,非常便于分布式计算

训练

知道了其他节点对目标节点的影响力(PPR),则目标节点的最终embedding=sum(邻居节点的本地embedding * 邻居对target node的PPR)

为了进一步加速训练,PPRGo决定利用稀疏化进一步减少计算次数,即目标节点的embedding,是针对目标节点影响力最大的k个邻居的本地embedding的加权和。这种思路源自对实际网络的观察,能够针对某节点发挥作用的节点毕竟是少数,大多数其他节点针对目标节点的PPR都是非常小的数,不如将它们强制置为0,免得浪费算力。

因此,每个目标节点最终的分类概率如下所示

  • 是其他节点针对目标节点"i"的PPR组成的向量
  • 中数值最大的Top-K个元素的下标,代表着对节点“i”影响力最大的k个节点
  • 是节点"j"的本地embedding
  • 一般来说,节点"i"对自身的影响力是最大的,因此 通常也考虑了节点i的本地embedding

接下来的训练过程就非常常规了,无须就是最大熵损失函数+SGD那一套。

预测

在semi-supervised node classification问题中,面对一个含有n个节点的图,往往只有少数节点有label,还有m(占n的绝大多数)个节点的label待预测。

本来,我们可以遵循与训练时一样的做法,即

  • 是m*n的矩阵,表示所有节点针对待预测节点的影响力
  • H是所有n个节点的本地向量表示

这种作法的缺点在于,第一步计算m个节点的PPR矩阵,当m非常大的时候,就要耗费不少时间。关键是,计算出来的 只用一次,而不像训练时那样被每个batch反复使用。因此,有点得不偿失

为此,PPRGo在预测时,又切换回使用power iteration的方法。根据论文中的实验,只需要2~3次迭代,就可以获得较高精度,而且 是稀疏矩阵,方便计算。

总结

优点

至此,关于PPRGo的前世今生,就介绍完毕,总结一下它的优点。

  • 传统“多层卷积”GNN面临两难选择:
    • 要想提高精度,需要聚合更多邻居,就需要更多层卷积;
    • 但是增加层数,会导致over smoothing,而且增加了学习参数和训练时间。
  • PPRGo 用PPR矩阵代替“多层卷积”完成节点信息在图上的传递与聚合,相当于用“解析方式得到的近似解”代替“多轮游走的仿真解”,从而带来如下优点:
    • PPR通过引入teleport,能够找到针对目标节点影响力最大的节点,而不是全局影响力最大的节点,从而避免over smoothing
    • 节点信息的transformation与propagation相离,不会为了要融合更多邻居而引入更多的优化参数
    • PPR理论上等效于无穷层卷积的结果,却省去了无穷层卷积的麻烦。拿节点本地embedding,通过一次稀疏矩阵乘法,就相当于无穷层卷积,相当于聚合了图上所有节点的信息,大大提升了运算速度。

限制

尽管有以上优点,但是PPRGo还没有强大到代替多层卷积的图神经网络的地步,主要是其应用范围还比较窄

  • PR/PPR,不适用于异构图,甚至不能用于二部图。在推荐系统常见的user-item二部图中,user对item的影响力,user对其他user的影响力,根本不在一个衡量体系下,也就无法统一用一个数字来表示。
  • PPNP与PPRGo本质上都是 拿PPR对本地embedding进行加权求和。这种线性加权聚合的方式比较简单,像GraphTR所使用的FM、Transformer这些复杂的信息聚合方式,是无法实现的。
  • 个人感觉 只能用于node classification。像推荐系统比较关心的link  prediction问题,需要在信息聚合时忽略待预测的边,否则会造成信息泄漏,而PPRGo“神速”的法宝就是 提前计算好PPR矩阵,肯定是不支持这种“动态忽略边”的操作的



由于微信平台算法改版,公号内容将不再以时间排序展示,如果大家想第一时间看到我们的推送,强烈建议星标我们和给我们多点点【在看】。星标具体步骤为:

(1)点击页面最上方"AINLP",进入公众号主页。

(2)点击右上角的小点点,在弹出页面点击“设为星标”,就可以啦。

感谢支持,比心

欢迎加入图神经网络交流群
进群请添加AINLP小助手微信 AINLPer(id: ainlper),备注图神经网络

推荐阅读

这个NLP工具,玩得根本停不下来

征稿启示| 200元稿费+5000DBC(价值20个小时GPU算力)

完结撒花!李宏毅老师深度学习与人类语言处理课程视频及课件(附下载)

从数据到模型,你可能需要1篇详实的pytorch踩坑指南

如何让Bert在finetune小数据集时更“稳”一点

模型压缩实践系列之——bert-of-theseus,一个非常亲民的bert压缩方法

文本自动摘要任务的“不完全”心得总结番外篇——submodular函数优化

Node2Vec 论文+代码笔记

模型压缩实践收尾篇——模型蒸馏以及其他一些技巧实践小结

中文命名实体识别工具(NER)哪家强?

学自然语言处理,其实更应该学好英语

斯坦福大学NLP组Python深度学习自然语言处理工具Stanza试用

关于AINLP

AINLP 是一个有趣有AI的自然语言处理社区,专注于 AI、NLP、机器学习、深度学习、推荐算法等相关技术的分享,主题包括文本摘要、智能问答、聊天机器人、机器翻译、自动生成、知识图谱、预训练模型、推荐系统、计算广告、招聘信息、求职经验分享等,欢迎关注!加技术交流群请添加AINLPer(id:ainlper),备注工作/研究方向+加群目的。


阅读至此了,分享、点赞、在看三选一吧🙏


登录查看更多
3

相关内容

PageRank,网页排名,又称网页级别、Google左侧排名或佩奇排名,是一种由[1] 根据网页之间相互的超链接计算的技术,而作为网页排名的要素之一,以Google公司创办人拉里·佩奇(Larry Page)之姓来命名。Google用它来体现网页的相关性和重要性,在搜索引擎优化操作中是经常被用来评估网页优化的成效因素之一。Google的创始人拉里·佩奇和谢尔盖·布林于1998年在斯坦福大学发明了这项技术。
专知会员服务
38+阅读 · 2020年11月24日
系列教程GNN-algorithms之七:《图同构网络—GIN》
专知会员服务
48+阅读 · 2020年8月9日
系列教程GNN-algorithms之六:《多核卷积拓扑图—TAGCN》
专知会员服务
50+阅读 · 2020年8月8日
必读的7篇 IJCAI 2019【图神经网络(GNN)】相关论文
专知会员服务
92+阅读 · 2020年1月10日
GraphSAGE:我寻思GCN也没我牛逼
极市平台
12+阅读 · 2019年8月12日
精选论文 | 图神经网络时间节点【附打包下载】
人工智能前沿讲习班
17+阅读 · 2019年5月6日
图注意力网络
科技创新与创业
35+阅读 · 2017年11月22日
Hierarchical Graph Capsule Network
Arxiv
20+阅读 · 2020年12月16日
Arxiv
29+阅读 · 2020年3月16日
Deep Graph Infomax
Arxiv
17+阅读 · 2018年12月21日
VIP会员
相关VIP内容
专知会员服务
38+阅读 · 2020年11月24日
系列教程GNN-algorithms之七:《图同构网络—GIN》
专知会员服务
48+阅读 · 2020年8月9日
系列教程GNN-algorithms之六:《多核卷积拓扑图—TAGCN》
专知会员服务
50+阅读 · 2020年8月8日
必读的7篇 IJCAI 2019【图神经网络(GNN)】相关论文
专知会员服务
92+阅读 · 2020年1月10日
相关资讯
GraphSAGE:我寻思GCN也没我牛逼
极市平台
12+阅读 · 2019年8月12日
精选论文 | 图神经网络时间节点【附打包下载】
人工智能前沿讲习班
17+阅读 · 2019年5月6日
图注意力网络
科技创新与创业
35+阅读 · 2017年11月22日
相关论文
Hierarchical Graph Capsule Network
Arxiv
20+阅读 · 2020年12月16日
Arxiv
29+阅读 · 2020年3月16日
Deep Graph Infomax
Arxiv
17+阅读 · 2018年12月21日
Top
微信扫码咨询专知VIP会员