在数学奥林匹克的125年里,这25个逆天解法称霸江湖!

2019 年 7 月 15 日 新智元




  新智元推荐  

来源:数学竞赛的那些事儿

作者:小数君   

ID:shuxuejingsai001

整理编辑:张佳

【新智元导读】"做到无招胜有招,才能成为真正的高手",而在数学竞赛于江湖成立的125年里,有这样一群高手,他们以各种独特,具有创造性的解法在数学江湖中留下赫赫威名,解法之逆天连众多的数学宗师都为之惊叹和折服。更多AI话题欢迎来新智元和群查看。

1894年,位于欧洲中部的匈牙利数学物理协会通过了一个影响数学界近125年的决议,他们决定每年的10月在全国举办一项名为中学数学竞赛的赛事,这个赛事为匈牙利造就了一大批与国土面积及人口数量极不成比例的数学大师,像被誉为匈牙利现代数学之父的费叶,航天动力学的奠基人冯·卡曼,组合学家寇尼希,哈尔测度与哈尔积分的提出者哈尔,对泛函分析有着重大贡献的黎茨,


在匈牙利数学竞赛所造就的大师们登上世界舞台之后,全世界无数国家都纷纷投去了惊奇和艳羡的目光,然后俄罗斯、保加利亚、波兰、中国、印度、德国、英国、澳大利亚、美国等国家先后开始举办这一数学赛事,1934年,俄罗斯的前身苏联在列宁格勒大学举办了中学数学奥林匹克竞赛,首次将数学考试与公元前776年的古希腊奥林匹克体育竞赛联系了起来,接着一项名为国际数学奥林匹克(简称IMO)的赛事缓缓地在数学江湖中拉开了宏伟的故事序幕,在2018年于罗马尼亚举办第59届比赛已经有整整116个门派(国家)参与到其中,


金庸先生所著的《笑傲江湖》第十章中风清扬对令狐冲说过这样一句话:"做到无招胜有招,才能成为真正的高手",而在数学竞赛于江湖成立的125年里,有这样一群高手,他们以各种独特,具有创造性的解法在数学江湖中留下赫赫威名,解法之逆天连众多的数学宗师都为之惊叹和折服.



国际数学奥林匹克至今已经举办了整整59届,


比赛在每年的7月份两个上午举行,每次4.5小时,各解答3道题,每道题7分,设有金银铜奖,三个奖项的获得者总人数不超过参赛人数的一半,比例一般为1:2:3,在59届的历史长河中,虽然少但每届都有一些数学天赋十分惊艳的选手以满分的成绩坐上"武林盟主"的无上宝座,


但是这个无上宝座并不是选手最渴望的奖项,有一个十分特殊的奖项,它比满分更难获得,从2005年至今整整14年,无一人获得此奖项,它名为特别奖,假如某个选手对某道试题所作的解答非常漂亮,有独到之处,与事先拟定的标准解答更加简洁的话,不论这名选手总分是多少,他就可以获得特别奖,


如果说获得满分难如登天的话,那么获得特别奖就是难如逆天,


在1977年于南斯拉夫举办的第19届比赛里,来自英国的John Rickard选手不仅仅以40分最高分的成绩获得金牌,并且他对越南所提供的第二题以用两个互素的正整数p和q来代替题中的7与11,得出了最大项数为p+q-2,因为这一精彩无比的解法,使得他当之无愧获得了那年的特别奖.




1983年,在法国举办的第24届比赛里,


总计有32个国家,179名数学高手参与其中,但是这些高手都活在了一名叫Bernhard Leeb德国选手所制造的恐惧之中,他不仅以满分的成绩坐上了"武林盟主"的宝座,而且对美国所提供的第六题的"逆天"解法使得他还获得了特别奖,


他仅仅使用了一个等式就解决了当年比赛最难的第六题,他假定a是最大的边,这时(2)式右边的两项都是非负的,因而(2)式左边也是非负的,即(1)式成立,不仅如此,从(2)式还容易看出当且仅当a=b=c,即这三角形为正三角形时(1)中等号成立,


解法之简单,让被誉为解题大师的单墫教授在《数学竞赛史话》一书中都为之惊叹,而国内也曾有一些杂志刊登过(1)的简便证明,但很遗憾是错误的,而这也间接证明了获得特别奖的有多么困难,


而满分外加特别奖也让他成为了那年当之无愧的大魔王选手.



1986年,


在波兰举办的第27届国际数学奥林匹克上,我们首次派出了满员的六人队伍,来自天津南开中学的李平立、河南省实验中学的方为民、上海大同中学的张浩、西安八十五中学的荆秦、湖北黄冈中学的林强、还有来自江苏泰县姜堰中学的沈建,这一年我们的表现让所有国家都为之震惊,因为在一年之前我们的总分排名倒数第六,而在这一年里我们取得了总分第四的奇迹般成绩,


但是这一亮眼的成绩却被来自美国的Joseph Keane选手抢了风头,他差点成功复制了三年前Bernhard Leeb选手的"逆天之路",他与满分仅有一分之差,而他对那届比赛中最难的第三题独特解法也让其获得了全场唯一的特别奖,其无比惊艳的表现也盖过我们以及三位满分选手的风头.



在国际数学奥林匹克的历史长河中,


负责命题的主试委员会从来没有办成这样一件事:编出一道题目,使得每名选手都束手无策,但是相反,有这样一道题目曾让整整49个国家领队组成的主试委员会一筹莫展,后来不得已,只能将题目送到四位顶尖的数论专家手上,但是这四名已然成为了数学家的绝世高手在花了一整天的时间仍无法解出,


1988年,于澳大利亚举办的第29届比赛上,由德国所提供的第六道数论题成为了当时历届比赛中得分率最低的一道题,难到什么程度?49个国家,268名来自各国的最顶尖参赛选手的平均分仅仅只有0.6分,当年刚满12岁的数学天才陶哲轩也参加了比赛,但同样也败在了这道题的手上,


全场仅有12个人答对,来自四川彭县中学的何宏宇和上海复旦附中的陈晞在此名单中,而来自保加利亚的Emanouil Atanassov选手不仅仅解出了这道题,并且解法之简单堪称逆天!




1989年


在德国举办的第30届比赛上,我们距离第一次参赛仅仅只过去了四年,但是已经没有任何一个国家敢小瞧我们这支年轻的队伍,由马希文和单墫教授组成的领队,和来自重庆永川中学的罗华章、新疆石河子五中的蒋步星、东北师范大学附中的俞扬、江西景德镇景光中学的霍晓明、四川成都九中的唐若曦、人大附中的颜华菲为中国拿下了首个团队总分第一,


而来自新疆石河子五中的蒋步星对第六道题所给出的不必计算“对应”的精彩解法,虽然没能获得特别奖,但是也让在场所有人为之喝彩.



2005年,


那一年被人称为"数学竞赛中的奇迹年",在墨西哥举办的第46届国际数学奥林匹克上,有一个无比精彩的解法横空出世,据说当时在场的人在看到这一解法时,无一例外的都被震惊的说不出话来,有人曾这样评价它:"数学竞赛有史以来最精彩的解法",


那一年由韩国所提供的第三题,因为难度极高,让来自91个国家、513名选手的平均分仅仅只有0.91分,但还是有16名选手以满分的成绩傲视群雄,其中包括来自天津耀华中学的任庆春、上海华东师大二附中的刁晗生、江西师范大学附中的罗晔、上海复旦附中的邵烜程,


但是所有选手的亮眼表现都被来自一个人口仅有355万,过去五年团队总分平均排名仅仅为第32名的摩尔多瓦无情镇压,来自这一国家的Iurie Boreico选手仅仅只用了两行就解决了最难的第三道题,因为简单到一塌糊涂,暴力到肆意横行,因此他在间隔十年之后,获得了主试委员会再次颁出的特别奖,


不仅如此,他还是16名满分选手的其中之一,


比起1983年来自德国Bernhard Leeb选手的满分加特别奖的逆天之路,他的战绩显得更加可怕,因为在2006年,他再次参赛并且再一次获得了满分,而他也成为了国际数学奥林匹克唯一一个两届满分外加特别奖的选手.



除了国际数学奥林匹克这一赛场,


在国内举办的数学竞赛中,也曾经出现过让众多数学宗师都为之赞叹的解法,1985年,为了促使我国的中学生数学竞赛活动更上一层楼,在那年中国数学会成立五十周年纪念活动期间,由中国数学会与南开大学、北京大学、复旦大学、中国科技大学四所大学的数学系协商,决定联合举办全国中学生数学冬令营,冬令营的营员是来自全国各省市、自治区的中学生,他们是全国高中数学联合竞赛的优胜者,在为期约一周的冬令营期间,除了数学讲座,参观游览等活动外,最重要的事情就算分两天举行的数学竞赛,和IMO相似,在每天4.5小时的时间里,参赛选手要解答三道难度极高的数学竞赛题,


在1986年,第一届冬令营于天津举行,


在那届比赛中有两名选手的解法让当年的命题组成员张筑生、常庚哲、裘宗沪等人都为止惊叹,来自上海中学女学生邱隆东对Langford问题特例的第五题所给出的奇偶分析新解法以及来自扬州市姜堰中学沈建在只用到很少一点复数知识,干净利落地把第三道题给解决掉,不仅如此,他还推广了结果,证明了比原命题更强的结论.





1987年,


在北京举办的第二届冬令营上,来自上海向明中学的选手潘子刚对有着伯恩多项式背景的第二题第二问所给出的构造性证明,表现出对"对称性"的敏锐直觉与深刻洞察让他获得了冬令营的第一个特别奖!



而在第三届冬令营上,


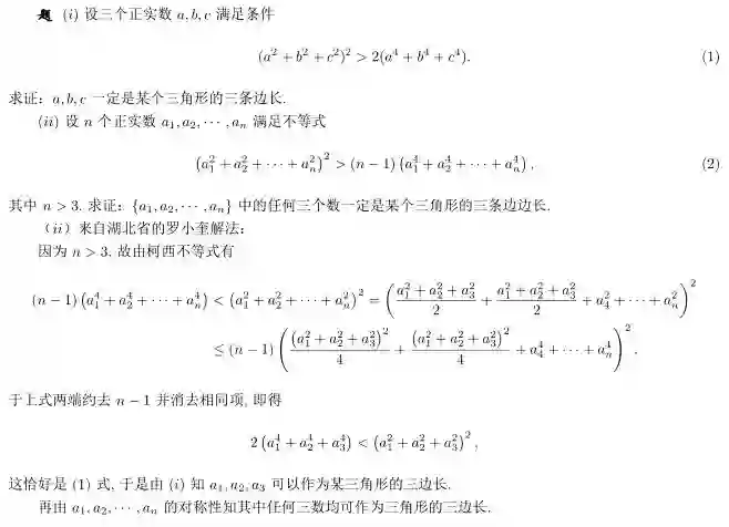
来自湖北潜江县向阳中学的罗小奎选手对第四道第二问极其简洁漂亮的"灵感"解法让他获得了那届比赛的特别奖,这一解法的精妙之处在于受n-1的启示,把a1²+a2²+a3²这三项之和转化为两项a1²+a2²+a3²/2之和,从而把题设不等式左边括号内的n项变为n-1项之和,这一精彩解法也让李成章、张筑生等数学宗师组成的命题组拍手叫绝!




1980年,


在大连召开了第一届全国数学普及工作会议,会议决定把全国数学竞赛作为中国数学会及各省、市、自治区数学会的一项经常性工作,并正式定名为"全国各省、市、自治区高中联合数学竞赛",并确定每年的10月份于中国数学会的支持下,由一个省作为东道主举办其比赛,


1990年,第十届联赛由吉林省作为东道主,那届比赛有一道题目的标准答案曾使得一些阅卷教师都感到费解,而来自陕西省西安市85中学的田鲁在解答中却整体而本质地把握题意,先证第二问,后得第一问,整个解答过程十分浅显和简明,堪称一绝!



同年,


来自华东师大二附中的楼捷同学对于二试的第3题的解法也妙不可言,远比标准答案简明,漂亮,充分显示了参赛选手所具有的迅速推理和转变思考方向的数学能力.



在第21届全苏数学竞赛上,


来自北京四中的袁峰同学以不可思议的联想,用一简洁、直观的证法直接透过了代数现象抓住了几何实质,而这一解法也曾让罗增儒、朱华伟等在数学竞赛领域的宗师人物都为之叫好.



1990年,


整个北京都在为了迎接9月份的亚运会如火如荼地准备着,并没有多少人知道在这一年,亚洲第一次承办的国际数学奥林匹克也将在这个城市拉开帷幕,整个中国数学界都在为这一赛事奔波着,无数名震江湖的数学宗师都参与其中,在那一年里,我们打破了以往参与训练和命题工作人员最多的记录,


在那年的冬令营上,有一道题目是由来自上海教育出版社叶中豪先生所发现的一个筝形蝴蝶定理,在那年比赛中,很少有选手能解出此题,命题组利用图形的对称性用解析法给出了证明,但是计算量十分巨大,当时,命题组成员的单墫、杜锡录两位教授都希望能有一个简单的方法证明这个定理,


后来,当时为中国科学院研究员的张景中先生利用三角知识给出了下方的证法1,又避开三角函数与正弦定理,利用面积关系给出了证法2,并由此引出了十个全新的命题.



而在1990年的集训队中,


当时正读初三,也是后来第35届国际数学奥林匹克金牌得主的姚建纲选手对南斯拉夫给我们所提供的一道预选题给出了十分出人意料的证明,其漂亮程度让当时集训队命题组的所有成员都为之叫好.



在1992年的集训队训练期间,


有一名选手巧妙利用了垂心的性质,以十分简洁的解法证明了下方的题目,而原命题者所给出的三角证法非常复杂,也由此可见,这一解法的精彩程度.



同年,


在俄罗斯举办的第33届国际数学奥林匹克上,由意大利所提供第五题是那届比赛中得分率最低的题目,那道题目的几何直观非常清楚,但是由原供题国所给出的证明思路却不够清晰,方法不够自然,其证明几乎完全脱离了几何直观,特别是引入了相当抽象的集合T和映射f,结论好像是借助于抽象的手段变戏法变出来的,


而曾带领中国拿下五次IMO团队总分第一的张筑生教授给出了一个十分漂亮的证明.



在1993年中国国家队选拔赛上,


来自河南师大的夏兴国教授曾提供了一道题目,在当年参赛的二十余名数学高手中,仅有后来获得了第34届国际数学奥林匹克金牌的刘炀选手答对,他所采用的构造方法虽然十分常见,但其技巧却是十分高超和新颖的,


特别是论证k+1色图时,对一些点的颜色的改变,其技巧更是耐人寻味.



在1980年,


于芬兰、英国、匈牙利、瑞典举办的四国数学竞赛上,也有一道题目所提供的解答十分繁琐,前后整整用了四次归纳法,在译成中文之后,将近有4000多字,当时中国科技大学的白志东先生对此题采用一个十分大胆的处理方法,


加强命题,出奇制胜地给出了十分绝妙简洁的证明!



在国际数学奥林匹克赛场上,


当然也有原供题国提供的解答是十分精彩漂亮的,在保加利亚所举办的第17届比赛上,由苏联所提供的第五题的原解法就十分简洁优雅,其利用到了著名的九余法.




曾创造了中国数学奥林历史上,


第一个在国家集训队的所有考试中均获得满分的选手,在第49届、50届两次国际数学奥林匹克上也均获得满分,并且在2013年又获丘成桐大学生数学竞赛个人全能金奖,并获得了五个单项奖中的四个金奖,一个银奖,被数学江湖人称"教主"的韦东奕在2008于上海的国家队培训期间,对上海大学冷岗松教授从美国数学月刊找的一道训练题给出的证明也十分直白和精彩,


大多数选手所提供的都是图论证法,而韦教主仅用了一下极端分析,就将这道题目给解出,解法自然而优雅,直到今日,冷岗松教授还经常会向竞赛刚入门的学生讲解这一方法,并戏称这是"韦方法".



曾是2006年中国数学国家队队员,


在第31届国际数学奥林匹克获得满分,后来在北京大学毕业之后,去到龙泉寺出家的柳智宇其数学才华也曾给冷岗松教授留下了深刻的印象,他和人讨论几何题从不画图也不看图,但是口中却能准确无误说出诸多点线位置,从不忘记和混乱,他的几何和组合十分突出,因此造就了一个少见的组合几何高手,在集训队选拔时几个组合几何难题能解出者寥寥无几,而他所提供的解法却令人拍案叫绝,在当年的IMO上,第六道题便是一个组合几何难题,全世界仅有3人做对,而他就是其中之一,并且协调组专家们都一致认为他的解法比标准答案还要漂亮精彩,


在那年3月于沈阳东北育才中学举行的第4次小考中,由林常教授所提供的一道题颇有难度,得满分的选手不多,而柳智宇对于这一问题给出了一个十分精妙的解法,它不仅简单,而且很好地揭示了问题的本质:对于a×b棋盘,其中gcd(a,b)=1,如果将对角线ab等分,则红线段长度比蓝线段长度恰好多一个等分单位.



同样是两届IMO满分,被许多人称为"解题无敌"的罗炜,对于在杭州学军中学举办的第33届中国数学奥林匹克第五题的解法也是十分的有趣和精妙.



在罗增儒教授所著的《中学数学竞赛的内容与方法》中,他介绍了这样一道题目,此题连小学生都能听明白,但是其所体现的解题艺术却是十分的高超,体现了一种无与伦比的美:大学的思想+小学的知识.



曾经也是IMO满分的汪建华曾谈到他上小学时的一件事,


当他刚掌握"韩信点兵"的时候,遇到这样一道题:一个数,除以3余2,除以5余4,除以7余6,此数最小为几?开始的时候,他套用了口诀,很快地得到了答案,但后来他又想了想,并且想到了一个更好的解法,那就是将此数加上1之后,可被3、5、7整除,于是此数为3×5×7-1=104,而这个题的解法曾使得当时上小学的他大受鼓舞,让他开始遇到每一个数学问题时就投入到独立思考的过程中,也大大增强了他学习数学的兴趣,


而一道国际水平的竞赛题,如果它的解法不能体现数学的美,缺乏简洁、奇异与独创,那么是很难获得主试委员会的认可的,但需要强调的是,竞赛的技巧并不是低层次一招一式或妙手偶得的雕虫小技,


它既是使用数学技巧的技巧,又是创造了数学技巧的技巧,


更加准确确切地说,这是一种数学创造力,一种思维层次,一种独立于史诗、音乐、绘画之外的数学美,而在数学奥林匹克江湖125年里,曾经流传着25个"逆天"解法的精彩故事,并让无数人扣扣相传,津津乐道.


文献来源:

单墫《数学竞赛史话》

罗增儒《中学数学竞赛的内容与方法》

朱华伟《奥林匹克数学教程》

冯跃峰《奥林匹克数学教育的理论和实践》

冷岗松《韦东奕的妙解》与《柳智宇的两个妙解》


本文经授权转载自“数学竞赛的那些事儿”  

作者:小数君   ID:shuxuejingsai001


登录查看更多
0

相关内容

数学是关于数量、结构、变化等主题的探索。
商业数据分析,39页ppt
专知会员服务
165+阅读 · 2020年6月2日
2019中国硬科技发展白皮书 193页
专知会员服务
86+阅读 · 2019年12月13日
丘成桐:攻克物理难题的数学大师
科技导报
5+阅读 · 2018年7月23日
大学数学不好,或许是数学教材的锅?
算法与数学之美
15+阅读 · 2017年8月1日
VIP会员
相关VIP内容
商业数据分析,39页ppt
专知会员服务
165+阅读 · 2020年6月2日
2019中国硬科技发展白皮书 193页
专知会员服务
86+阅读 · 2019年12月13日
相关资讯
丘成桐:攻克物理难题的数学大师
科技导报
5+阅读 · 2018年7月23日
大学数学不好,或许是数学教材的锅?
算法与数学之美
15+阅读 · 2017年8月1日
Top
微信扫码咨询专知VIP会员