从拉普拉斯矩阵说到谱聚类

2017 年 7 月 7 日 七月在线实验室

在讲谱聚类之前,有必要了解一些矩阵方面的基础知识。


理解矩阵的9点数学笔记


推荐国内一人写的《理解矩阵by孟岩》系列,其中,抛出了很多有趣的观点,我之前在阅读的过程中做了些笔记,如下:


“1、简而言之:矩阵是线性空间里的变换的描述,相似矩阵则是对同一个线性变换的不同描述。那,何谓空间?本质而言,“空间是容纳运动的一个对象集合,而变换则规定了对应空间的运动”by孟岩。在线性空间选定基后,向量刻画对象的运动,运动则通过矩阵与向量相乘来施加。然,到底什么是基?坐标系也。


2、有了基,那么在(1)中所言的则应是:矩阵是线性空间里的变换的描述,相似矩阵则是对同一个线性变换在不同基(坐标系)下的不同描述。出来了两个问题,一者何谓变换,二者不同基(坐标系)如何理解?事实上,所谓变换,即空间里从一个点(元素/对象)到另一个(元素对象)的跃迁,矩阵用来描述线性变换。基呢?通过前面已知,矩阵无非不过就是用来描述线性空间中的线性变换的一个东西而已,线性变换为名词,矩阵为描述它的形容词,正如描述同一个人长得好看可以用多个不同形容词"帅”"靓”描述,同一个线性变换也可以由多个不同的矩阵来描述,而由哪一个矩阵描述它,则由基(坐标系)确定。


3、前面说了基,坐标系也,形象表述则为角度,看一个问题的角度不同,描述问题得到的结论也不同,但结论不代表问题本身,同理,对于一个线性变换,可以选定一组基,得到一个矩阵描述它,换一组基,得到不同矩阵描述它,矩阵只是描述线性变换非线性变换本身,类比给一个人选取不同角度拍照。

4、前面都是说矩阵描述线性变换,然,矩阵不仅可以用来描述线性变换,更可以用来描述基(坐标系/角度),前者好理解,无非是通过变换的矩阵把线性空间中的一个点给变换到另一个点上去,但你说矩阵用来描述基(把一个坐标系变换到另一个坐标系),这可又是何意呢?实际上,变换点与变换坐标系,异曲同工!

5、矩阵是线性运动(变换)的描述,矩阵与向量相乘则是实施运动(变换)的过程,同一个变换在不同的坐标系下表现为不同的矩阵,但本质/征值相同,运动是相对的,对象的变换等价于坐标系的变换,如点(1,1)变到(2,3),一者可以让坐标点移动,二者可以让X轴单位度量长度变成原来1/2,让Y轴单位度量长度变成原来1/3,前后两者都可以达到目的。

6、Ma=b,坐标点移动则是向量a经过矩阵M所描述的变换,变成了向量b;变坐标系则是有一个向量,它在坐标系M的度量下结果为a,在坐标系I(I为单位矩阵,主对角为1,其它为0)的度量下结果为b,本质上点运动与变换坐标系两者等价。为何?如(5)所述,同一个变换,不同坐标系下表现不同矩阵,但本质相同。

7、Ib,I在(6)中说为单位坐标系,其实就是我们常说的直角坐标系,如Ma=Ib,在M坐标系里是向量a,在I坐标系里是向量b,本质上就是同一个向量,故此谓矩阵乘法计算无异于身份识别。且慢,什么是向量?放在坐标系中度量,后把度量的结果(向量在各个坐标轴上投影值)按顺序排列在一起,即成向量。

8、b在I坐标系中则是Ib,a在M坐标系中则是Ma,故而矩阵乘法MxN,不过是N在M坐标系中度量得到MN,而M本身在I坐标系中度量出。故Ma=Ib,M坐标系中的a转过来在I坐标系中一量,却成了b。如向量(x,y)在单位长度均为1的直角坐标系中一量,是(1,1),而在X轴单位长度为2.Y轴单位长度为3一量则是(2,3)。

9、何谓逆矩阵? Ma=Ib,之前已明了坐标点变换a-〉b等价于坐标系变换M-〉I,但具体M如何变为I呢,答曰让M乘以M的逆矩阵。以坐标系

    为例,X轴单位度量长度变为原来的1/2,Y轴单位度量长度变为原来的1/3,即与矩阵

    

    相乘,便成直角坐标系I。即对坐标系施加变换,即让其与变换矩阵相乘。”



谱聚类


所谓聚类(Clustering),就是要把一堆样本合理地分成两份或者K份。从图论的角度来说,聚类的问题就相当于一个图的分割问题。即给定一个图G = (V, E),顶点集V表示各个样本,带权的边表示各个样本之间的相似度,谱聚类的目的便是要找到一种合理的分割图的方法,使得分割后形成若干个子图,连接不同子图的边的权重(相似度)尽可能低,同子图内的边的权重(相似度)尽可能高。物以类聚,人以群分,相似的在一块儿,不相似的彼此远离。


    至于如何把图的顶点集分割/切割为不相交的子图有多种办法,如

  1. cut/Ratio Cut

  2. Normalized Cut

  3. 不基于图,而是转换成SVD能解的问题


目的是为了要让被割掉各边的权值和最小,因为被砍掉的边的权值和越小,代表被它们连接的子图之间的相似度越小,隔得越远,而相似度低的子图正好可以从中一刀切断。


相关定义

为了更好的把谱聚类问题转换为图论问题,定义如下概念:


  • 无向图G=(V,E),顶点集V表示各个样本,带权的边表示各个样本之间的相似度

  • 与某结点邻接的所有边的权值和定义为该顶点的度d,多个d 形成一个度矩阵D(对角阵)



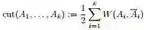
  • 邻接矩阵W,A子图与B子图之间所有边的权值之和定义如下:



  • 其中,Wij定义为节点 i 到节点 j 的权值,如果两个节点不是相连的,权值为零。

  • 相似度矩阵的定义。相似度矩阵由权值矩阵得到,实践中一般用高斯核函数(也称径向基函数核)计算相似度,距离越大,代表其相似度越小。



  • 子图A的指示向量如下:



目标函数


因此,如何切割图则成为问题的关键。换言之,如何切割才能得到最优的结果呢?


举个例子,如果用一张图片中的所有像素来组成一个图 ,并把(比如,颜色和位置上)相似的节点连接起来,边上的权值表示相似程度,现在要把图片分割为几个区域(或若干个组),要求是分割所得的 Cut 值最小,相当于那些被切断的边的权值之和最小,而权重比较大的边没有被切断。因为只有这样,才能让比较相似的点被保留在了同一个子图中,而彼此之间联系不大的点则被分割了开来。


为图的几个子集(它们没有交集) ,为了让分割的Cut 值最小,谱聚类便是要最小化下述目标函数: 


其中k表示分成k个组, 表示第i个组,表示 的补集,表示第 组与第组之间的所有边的权重之和(换言之,如果要分成K个组,那么其代价就是进行分割时去掉的边的权值的总和)。


    为了让被切断边的权值之和最小,便是要让上述目标函数最小化。但很多时候,最小化cut 通常会导致不好的分割。以分成2类为例,这个式子通常会将图分成了一个点和其余的n-1个点。如下图所示,很明显,最小化的smallest cut不是最好的cut,反而把{A、B、C、H}分为一边,{D、E、F、G}分为一边很可能就是最好的cut:



    为了让每个类都有合理的大小,目标函数尽量让A1,A2...Ak 足够大。改进后的目标函数为:


其中|A|表示A组中包含的顶点数目。

   或:



    其中,


谱聚类算法过程


综上可得谱聚类的算法过程如下:



  1. 根据数据构造一个Graph,Graph的每一个节点对应一个数据点,将各个点连接起来(随后将那些已经被连接起来但并不怎么相似的点,通过cut/RatioCut/NCut 的方式剪开),并且边的权重用于表示数据之间的相似度。把这个Graph用邻接矩阵的形式表示出来,记为 

  2. 的每一列元素加起来得到个数,把它们放在对角线上(其他地方都是零),组成一个的对角矩阵,记为度矩阵,并把 - 的结果记为拉普拉斯矩阵

  3. 求出的前个特征值(前个指按照特征值的大小从小到大排序得到),以及对应的特征向量

  4. 把这个特征(列)向量排列在一起组成一个的矩阵,将其中每一行看作维空间中的一个向量,并使用 K-means 算法进行聚类。聚类的结果中每一行所属的类别就是原来 Graph 中的节点亦即最初的个数据点分别所属的类别。



    或许你已经看出来,谱聚类的基本思想便是利用样本数据之间的相似矩阵(拉普拉斯矩阵)进行特征分解( 通过Laplacian Eigenmap 的降维方式降维),然后将得到的特征向量进行 K-means聚类。


    此外,谱聚类和传统的聚类方法(例如 K-means)相比,谱聚类只需要数据之间的相似度矩阵就可以了,而不必像K-means那样要求数据必须是 N 维欧氏空间中的向量。


完。


了解更多谱聚类内容,猛戳 阅读原文

登录查看更多
4

相关内容

专知会员服务
43+阅读 · 2020年7月7日
最新《机器学习理论初探》概述
专知会员服务
48+阅读 · 2020年5月19日
机器之心最干的文章:机器学习中的矩阵、向量求导
深度学习世界
12+阅读 · 2018年2月7日
傅里叶变换和拉普拉斯变换的物理解释及区别
算法与数学之美
11+阅读 · 2018年2月5日
【直观详解】什么是PCA、SVD
机器学习研究会
5+阅读 · 2017年11月10日
机器学习(19)之支持向量回归机
机器学习算法与Python学习
12+阅读 · 2017年10月3日
PCA的基本数学原理
算法与数学之美
11+阅读 · 2017年8月8日
VIP会员
相关VIP内容
专知会员服务
43+阅读 · 2020年7月7日
最新《机器学习理论初探》概述
专知会员服务
48+阅读 · 2020年5月19日
相关资讯
机器之心最干的文章:机器学习中的矩阵、向量求导
深度学习世界
12+阅读 · 2018年2月7日
傅里叶变换和拉普拉斯变换的物理解释及区别
算法与数学之美
11+阅读 · 2018年2月5日
【直观详解】什么是PCA、SVD
机器学习研究会
5+阅读 · 2017年11月10日
机器学习(19)之支持向量回归机
机器学习算法与Python学习
12+阅读 · 2017年10月3日
PCA的基本数学原理
算法与数学之美
11+阅读 · 2017年8月8日
Top
微信扫码咨询专知VIP会员