【三角函数的极限和导数】图解普林斯顿微积分06

2017 年 9 月 30 日 遇见数学 遇见数学

第7 章 三角函数的极限和导数

本章主要内容:

  • 三角函数在小数、大数以及其他变量值时的行为;

  • 三角函数的导数;

  • 简谐运动.


7.1 三角函数的极限

考虑下面两个极限, 唯一区别是, 左边极限考察的是在 x 趋于 0 , 而右边在 x 趋于无穷大取的极限. 也就是需要留意是在很小很小数, 还是很大很大的数上取得极限.

7.1.1 小数的情况

事实表明, sin(x) 和 x 在 0 附近近似相等, 观察下面 x 在 -1 和 1直接的图形, 当 x 非常非常小的时候, sin(x) 近似等于 x , 那么  sin ( x ) x =1 成立.

7.1.3 大数的情况

7.1.4 "其他的"情况

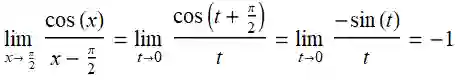
如果计算 x 趋于 a 的极限, 这里  a 0  , 这里有一个解决的方法, 就是用 t=x-a 做替换, 将问题转化为 t 趋近于 0 , 比如下面的例子:

7.1.5 一个重要极限的证明

7.2 三角函数的导数

现在把所有三角函数以及反三角函数做个总结(公式自: 中文维基百科).


反三角函数的导数:


7.2.2 简谐运动(Simple harmonic motion)

三角函数经常会用来描述弹簧的震荡运动. 设 x 是弹簧振子在时刻 t 的位置, 取向上的方向作为正方向, 那么描述 x 的方程大致类似于x = r sin (ω t). 类似也可以用余弦来代替, 因为两者总是来回震荡, 而这类运动就被称为简谐运动.

(本章完)

「予人玫瑰, 手留余香」

您能帮助[遇见数学]更快发展吗?感谢支持! 


登录查看更多
0

相关内容

特征方程的物理意义
算法与数学之美
6+阅读 · 2019年5月13日
单位圆与三角函数
遇见数学
14+阅读 · 2019年1月22日
【机器学习数学基础】动图解释泰勒级数(一)
机器学习研究会
6+阅读 · 2018年2月25日
图解高等数学|线性代数
遇见数学
39+阅读 · 2017年10月18日
【基础数学】- 01
遇见数学
20+阅读 · 2017年7月25日
Bivariate Beta LSTM
Arxiv
6+阅读 · 2019年10月7日
Arxiv
9+阅读 · 2018年10月24日
Arxiv
10+阅读 · 2018年4月19日
Arxiv
7+阅读 · 2018年2月26日
VIP会员
相关资讯
特征方程的物理意义
算法与数学之美
6+阅读 · 2019年5月13日
单位圆与三角函数
遇见数学
14+阅读 · 2019年1月22日
【机器学习数学基础】动图解释泰勒级数(一)
机器学习研究会
6+阅读 · 2018年2月25日
图解高等数学|线性代数
遇见数学
39+阅读 · 2017年10月18日
【基础数学】- 01
遇见数学
20+阅读 · 2017年7月25日
相关论文
Bivariate Beta LSTM
Arxiv
6+阅读 · 2019年10月7日
Arxiv
9+阅读 · 2018年10月24日
Arxiv
10+阅读 · 2018年4月19日
Arxiv
7+阅读 · 2018年2月26日
Top
微信扫码咨询专知VIP会员