成为VIP会员查看完整内容
VIP会员码认证
首页
主题
会员
服务
注册
·
登录
0
清华、李飞飞团队等提出强记忆力 E3D-LSTM 网络
2019 年 8 月 26 日
新智元
新智元推荐
来源:AI 科技大本营(ID:rgznai100)
译者:凯隐 编辑:Jane
【新智元导读】
清华大学、Google AI 和斯坦福大学李飞飞团队提出了一种具有强记忆力的 E3D-LSTM 网络,强化了 LSTM 的长时记忆能力,这为视频预测、动作分类等相关问题提供了新思路,是一项非常具有启发性的工作。
如何对时间序列进行时空建模及特征抽取,是 RGB 视频预测分类,动作识别,姿态估计等相关领域的研究热点。
清华大学、Google AI 和斯坦福大学李飞飞团队提出了一种具有强记忆力的 E3D-LSTM 网络,用 3D 卷积代替 2D 卷积作为 LSTM 网络的基础计算操作,并加入自注意力机制,使网络能同时兼顾长时和短时信息依赖以及局部时空特征抽取。
这为视频预测、动作分类等相关问题提供了新思路,是一项非常具有启发性的工作。
作者 | Yunbo Wang,、Lu Jiang、 Ming-Hsuan Yang、Li-Jia Li、Mingsheng Long、Li Fei-Fei
论文地址:
https://openreview.net/pdf?id=B1lKS2AqtX
时间序列的时空建模问题
现实生活中许多数据都同时具有时间特征和空间特征
,例如人体的运动轨迹,连续帧的视频等,每个时间点都对应一组数据,而数据往往又具有一定的空间特征。因此要
在这样的时间序列数据上开展分类,预测等工作,就必须在时间(temporal)和空间 (spatial) 上对其进行建模和特征抽取。
常用的时间建模工具
是循环神经网络(RNN)相关模型(LSTM 等),由于其特有的门结构设计,对时间序列特征具有强大的抽取能力,因此被广泛应用于预测问题并取得了良好的成果,但是 RNN 并不能很好的学习到原始特征的高阶表示,这不利于对空间信息的提取。空间建模则当属卷积神经网络(CNN),其具有强大的空间特征抽取能力,其中
3D-CNN
又能将卷积核可控范围扩大到时域上,相对于 2D 卷积灵活性更高,能学习到更多的运动信息(motion 信息),相对于 RNN 则更有利于学习到信息的高级表示(层数越深,信息越高级),
是目前动作识别领域的流行方法。
当然 3D 卷积的时间特征抽取能力并不能和 RNN 媲美。
得益于 3D 卷积和 RNN 在各自领域的成功,如何进一步将二者结合起来使用也成为了研究热点,常见的简单方法是将二者串联堆叠或者并联结合(在图卷积网络出现之前,动作识别领域的最优方法就是将 CNN 和 RNN 并联),但测试发现这么做并不能带来太大的提升,这是因为二者的工作机制差距太大,简单的结合并不能很好的实现优势互补。
本文提出用 3D 卷积代替原始 LSTM 中的门更新操作,使 LSTM 不仅能在时间层面,也能在空间层面上进行短期依赖的表象特征和运动特征的抽取,从而在更深的机制层面实现两种网络的结合。
此外,在 LSTM 中引入自注意力(self-attention)机制,进一步强化了 LSTM 的长时记忆能力,使其对长距离信息作用具有更好的感知力。
作者将这种网络称为
Eidetic 3D LSTM(E3D-LSTM)
,Eidetic 意思是具有逼真记忆,强调网络的强记忆能力。
E3D-LSTM 网络结构
图 1:三种不同的 3D 卷积和 LSTM 的结合方法
图中每个颜色的模块都代表了多层相应的网络。图(a)和图(b)是两种 3D 卷积和 LSTM 结合的基线方法,3D 卷积和 LSTM 线性叠加,主要起到了编码(解码器)的作用,并没有和 RNN 有机制上的结合。图(a)中 3D 卷积作为编码器,输入是一段视频帧,图(b)中作为解码器,得到每个单元的最终输出。这两个方法中的绿色模块使用的是时空长短时记忆网络(ST-LSTM)[1],这种 LSTM 独立的维护两个记忆状态 M 和 C,但由于记忆状态 C 的遗忘门过于响应具有短期依赖的特征,因此容易忽略长时依赖信息,因此 E3D-LSTM 在 ST-LSTM 的基础添加了自注意力机制和 3D 卷积操作,在一定程度上解决了这个问题。具体单元结构下一节介绍。
图(c)是 E3D-LSTM 网络的结构,3D 卷积作为编码 - 解码器(蓝色模块),同时和 LSTM 结合(橙色模块)。E3D-LSTM 既可用于分类任务,也可用于预测任务。分类时将所有 LSTM 单元的输出结合,预测时则利用 3D 卷积解码器的输出作为预测值。
E3D-LSTM 单元结构设计
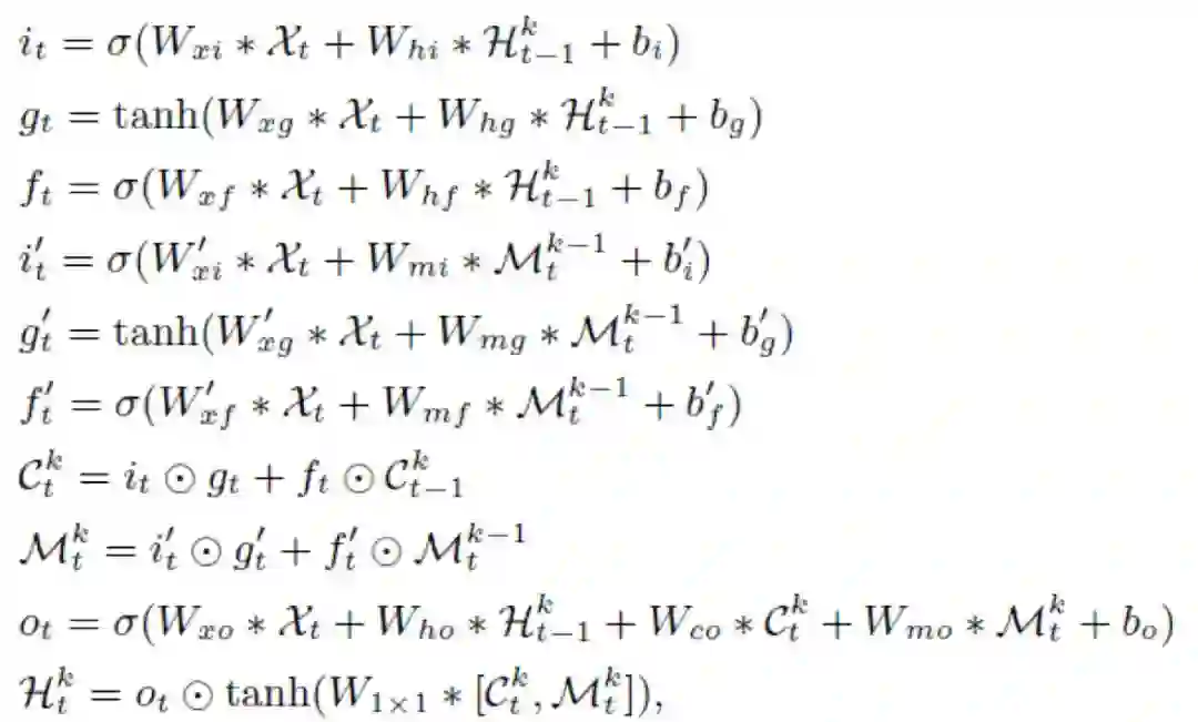
图 2:标准 LSTM 单元结构
首先简要介绍一下标准 LSTM 结构,和 RNN 相比 LSTM 增加了更复杂的门结构(图中黄色模块),主要解决 RNN 中存在的梯度消失问题,从而提高网络对长时依赖(long-term dependency)的记忆感知能力。LSTM 有两个输入门
,一个输出门
和遗忘门
。
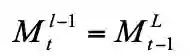
图 2:ST-LSTM 网络结构和单元结构
和标准 LSTM 相比,ST-LSTM 还增加了不同层间对应位置的 cell 连接,如图 2 左侧,水平灰色连接线表示标准 LSTM 的单元连接,竖直黄色连接线表示层间同一时刻的单元连接,通过张量 M 传播,注意当 l=1 时,
(作者认为 t 时刻的顶层信息对 t+1 时刻的底层信息影响很大),这样记忆信息就能同时在层内和层间传播。
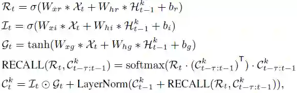
图 3 E3D-LSTM 单元结构
图 3 是本文提出的 E3D-LSTM 模型的单元结构,
是一个维度为
的五维张量,代表之前
个时间步的所有隐状态。
表示召回门(代替遗忘门),和 ST-LSTM 相比,主要有以下改进:
1、输入数据是
的四维张量,对应时刻
的连续帧序列,因此现在每个单元时间步都对应一段视频,而不是单帧视频。
2、针对帧序列数据额外添加了一个召回门(recall gate)以及相关结构,用于实现长时依赖学习,也就是自注意力机制。这部分对应网络名称中的 Eidetic。
3、由于输入数据变成了四维张量,因此在更新公式中采用 3D 卷积操作而不是 2D 卷积。
大部分门结构的更新公式和 ST-LSTM 相同,额外添加了召回门更新公式:
上面介绍的机制用于同一层不同时间步连接,作者将这种机制也用在了不同层同一时间步的连接,但效果并不好,这是因为不同层在同一时刻学习到的信息并没有太好的依赖性。
基于 E3D-LSTM 的半监督辅助学习
在许多监督学习任务,例如视频动作识别中,没有足够的监督信息和标注信息来帮助训练一个令人满意的 RNN,因此可以将视频预测作为一个辅助的表征学习方法,来帮助网络更好的理解视频特征,并提高时间域上的监督性。
具体的,让视频预测和动作识别任务共享相同的主干网络(图 1),只不过损失函数不同,在视频预测任务中,目标函数为:
带上标的 X 表示预测值,不带上标的表示真值,F 表示 Frobenius 归一化。
在动作识别任务中,目标函数为:
其中 Y 和
是预测值和帧值,这样通过将预测任务的损失函数嵌入到识别任务中,以及主干网络的共享,能在一定程度上帮助识别任务学习到更多的时序信息。为了保证过渡平滑,额外添加了一个权重因子
,
会随着迭代次数的增加而线性衰减:
作者将这种方法称为半监督辅助学习。
实验结果
视频预测任务,在 Moving MINIST 数据集上的结果:
为了验证 E3D-LSTM 中不同模块对性能的影响,作者还在该数据集上进行了烧蚀研究:
可以看到不管是添加 3D 卷积还是自注意力机制,网络性能相对于基线方法都有提升。
视频预测任务,在 KTH 人体动作数据集上的结果:
接下来在一个实际视频预测任务:交通流预测中,与其他方法进行了对比:
动作识别任务,在 Something-Something 数据集上进行了测试:
同样在该数据集上进行了烧蚀研究:
以及不同的半监督辅助学习策略带来的性能提升:
总结
本文对 ST-LSTM 进行了改进,将流行的 3D 卷积操作作为其基本张量操作,同时添加了自注意力模块,进一步强化了网络对长距离依赖信息的刻画能力,不仅能用于预测任务,还能通过辅助学习的方法拓展到其他任务上,是非常具有启发性的工作。
[1] Yunbo Wang, Mingsheng Long, Jianmin Wang, Zhifeng Gao, and S Yu Philip. Predrnn: Recurrent neural networks for predictive learning using spatiotemporal lstms. In NIPS, 2017.
(本文经授权转载自AI科技大本营,ID: rgznai100)
登录查看更多
点赞并收藏
0
暂时没有读者
2
权益说明
本文档仅做收录索引使用,若发现您的权益受到侵害,请立即联系客服(微信: zhuanzhi02,邮箱:bd@zhuanzhi.ai),我们会尽快为您处理
相关内容
长短期记忆网络
关注
120
长短期记忆网络(LSTM)是一种用于深度学习领域的人工回归神经网络(RNN)结构。与标准的前馈神经网络不同,LSTM具有反馈连接。它不仅可以处理单个数据点(如图像),还可以处理整个数据序列(如语音或视频)。例如,LSTM适用于未分段、连接的手写识别、语音识别、网络流量或IDSs(入侵检测系统)中的异常检测等任务。
【CVPR2020】时序分组注意力视频超分
专知会员服务
31+阅读 · 2020年7月1日
【ICML2020-华为港科大】RNN和LSTM有长期记忆吗?
专知会员服务
78+阅读 · 2020年6月25日
3D目标检测进展综述
专知会员服务
193+阅读 · 2020年4月24日
CVPR2020 | 商汤-港中文等提出PV-RCNN:3D目标检测新网络
专知会员服务
45+阅读 · 2020年4月17日
基于动态时空图CNNs的交通流预测,Dynamic Spatio-temporal Graph-based CNNs for Traffic Flow Prediction
专知会员服务
136+阅读 · 2020年3月8日
CVPR2019 | 6D目标姿态估计,李飞飞等提出DenseFusion
计算机视觉life
4+阅读 · 2019年4月4日
CVPR2019 | 6D目标姿态估计,李飞飞夫妇等提出DenseFusion
极市平台
3+阅读 · 2019年3月1日
已删除
将门创投
8+阅读 · 2019年1月4日
一文详解LSTM网络
论智
18+阅读 · 2018年5月2日
卷积网络循环网络结合-CNN+RNN
数据挖掘入门与实战
7+阅读 · 2018年2月11日
Spatio-Temporal Graph for Video Captioning with Knowledge Distillation
Arxiv
19+阅读 · 2020年3月31日
Learning with Interpretable Structure from RNN
Arxiv
19+阅读 · 2018年10月25日
Learning Blind Video Temporal Consistency
Arxiv
3+阅读 · 2018年8月1日
Order-Free RNN with Visual Attention for Multi-Label Classification
Arxiv
16+阅读 · 2017年12月20日
DiSAN: Directional Self-Attention Network for RNN/CNN-Free Language Understanding
Arxiv
16+阅读 · 2017年11月20日
VIP会员
自助开通(推荐)
客服开通
详情
相关主题
长短期记忆网络
强记忆力 E3D-LSTM
视频预测
时空建模
卷积
RNN
相关VIP内容
【CVPR2020】时序分组注意力视频超分
专知会员服务
31+阅读 · 2020年7月1日
【ICML2020-华为港科大】RNN和LSTM有长期记忆吗?
专知会员服务
78+阅读 · 2020年6月25日
3D目标检测进展综述
专知会员服务
193+阅读 · 2020年4月24日
CVPR2020 | 商汤-港中文等提出PV-RCNN:3D目标检测新网络
专知会员服务
45+阅读 · 2020年4月17日
基于动态时空图CNNs的交通流预测,Dynamic Spatio-temporal Graph-based CNNs for Traffic Flow Prediction
专知会员服务
136+阅读 · 2020年3月8日
热门VIP内容
开通专知VIP会员 享更多权益服务
《北约认知战概念报告》
《预测促成大规模货运无人机的技术趋势与影响》报告
美海军放弃星座级转而采用国家安全巡逻舰设计
《北约作战弹性概念》报告
相关资讯
CVPR2019 | 6D目标姿态估计,李飞飞等提出DenseFusion
计算机视觉life
4+阅读 · 2019年4月4日
CVPR2019 | 6D目标姿态估计,李飞飞夫妇等提出DenseFusion
极市平台
3+阅读 · 2019年3月1日
已删除
将门创投
8+阅读 · 2019年1月4日
一文详解LSTM网络
论智
18+阅读 · 2018年5月2日
卷积网络循环网络结合-CNN+RNN
数据挖掘入门与实战
7+阅读 · 2018年2月11日
相关论文
Spatio-Temporal Graph for Video Captioning with Knowledge Distillation
Arxiv
19+阅读 · 2020年3月31日
Learning with Interpretable Structure from RNN
Arxiv
19+阅读 · 2018年10月25日
Learning Blind Video Temporal Consistency
Arxiv
3+阅读 · 2018年8月1日
Order-Free RNN with Visual Attention for Multi-Label Classification
Arxiv
16+阅读 · 2017年12月20日
DiSAN: Directional Self-Attention Network for RNN/CNN-Free Language Understanding
Arxiv
16+阅读 · 2017年11月20日
大家都在搜
Palantir
朱克爱德华兹家族
大型语言模型
多域作战
基础模型
机场
反恐
蓝牙安全攻防
grid_map
冷启动,0预算,如何借助分销裂变引爆私域用户增长?
Top
提示
微信扫码
咨询专知VIP会员与技术项目合作
(加微信请备注: "专知")
微信扫码咨询专知VIP会员
Top