【机器视觉】图像分类问题详细介绍

2018 年 12 月 26 日 产业智能官

干货——图像分类(上)

原创: 计算机视觉 计算机视觉战队 

这是译自斯坦福CS231n课程笔记image classification notes,由课程教师Andrej Karpathy授权进行翻译。本篇教程由杜客翻译完成。非常感谢那些无偿奉献的大师,在此代表所有爱好学习者向您们致敬,谢谢!


这是斯坦福大学的课程,希望对即将入门DL的您打下基础,还是给已经处在DL届的您们巩固,都希望您们对基础知识有深入的理解。

随便分享CS231n的网址,有兴趣的朋友可以进一步去了解:http://cs231n.github.io/


图像分类

目标这一节我们将介绍图像分类问题。

图像分类,顾名思义,是一个输入图像,输出对该图像内容分类的描述的问题。它是计算机视觉的核心,实际应用广泛。图像分类的传统方法是特征描述及检测,这类传统方法可能对于一些简单的图像分类是有效的,但由于实际情况非常复杂,传统的分类方法不堪重负。现在,我们不再试图用代码来描述每一个图像类别,决定转而使用机器学习的方法处理图像分类问题。主要任务是给定一个输入图片,将其指派到一个已知的混合类别中的某一个标签。 

例子在下图中,一个图像分类模型将一个图片分配给四个类别(cat,dog,hat,mug)标签的概率。

如图所示,图片被表示成一个大的3维数字矩阵。在下面例子中,图像分类的最终目标就是转换这个数字矩阵到一个单独的标签,例如“Cat”。 图片分类的任务是对于一个给定的图片,预测其的类别标签。 

——————————————————

——————————————————

困难和挑战对于人来说,识别猫特别简单,首先我们之前就大量接触这类图像,对其对特的特征有深入的认识,所以人类识别是简单的任务,但是对于,计算机视觉算法,那就那难于上青天。

我们在下面列举了至今计算机视觉领域遇到的困难,也是现在亟待需解决的问题:

  • 刚体&非刚体的变化:不同类型其变化都不一样;

  • 多视角:收集同一个物体图像,获取的角度是多变的;

  • 尺度:在现实生活中,很多物体的尺度都是千变万化;

  • 遮挡:目标物体可能被挡住。有时候只有物体的一小部分是可见的;

  • 光照条件:在像素层面上,光照的影响非常大;

  • 类内差异:一类物体的个体之间有许多不同的对象,每个都有自己的外形。

——————————————————

——————————————————

数据驱动方法如何写一个图像分类的算法呢?怎么写一个从图像中认出猫的算法?

因此,我们采取的方法和教小孩儿看图识物类似:给模型很多图像数据,让其不断去学习,学习到每个类的特征。这就是数据驱动方法

既然第一步需要将已经做好分类标注的图片作为训练集,下面就看看训练数据集长什么样?如下图:

——————————————————

一共有4个类别的训练集。在实际中,可能有成千上万类别的物体,每个类别都会有百万的图像。

——————————————————

图像分类流程在课程视频中已经学习过,图像分类就是输入一个元素为像素值的数组,然后给它分配一个分类标签。完整流程如下:

  • 输入:输入是包含N个图像的集合,每个图像的标签是K种分类标签中的一种。这个集合称为训练集。

  • 学习:这一步的任务是使用训练集来学习每个类到底长什么样。一般该步骤叫做训练分类器或者学习一个模型

  • 评价:让分类器来预测它未曾见过的图像的分类标签,并以此来评价分类器的质量。我们会把分类器预测的标签和图像真正的分类标签对比。毫无疑问,分类器预测的分类标签和图像真正的分类标签如果一致,那就是好事,这样的情况越多越好。

Nearest Neighbor分类器

作为课程介绍的第一个方法,我们来实现一个Nearest Neighbor分类器。虽然这个分类器和卷积神经网络没有任何关系,实际中也极少使用,但通过实现它,可以让读者对于解决图像分类问题的方法有个基本的认识。

图像分类数据集:CIFAR-10一个非常流行的图像分类数据集是CIFAR-10。这个数据集包含了60000张32X32的小图像。每张图像都有10种分类标签中的一种。这60000张图像被分为包含50000张图像的训练集和包含10000张图像的测试集。在下图中你可以看见10个类的10张随机图片。

——————————————————

左边:从CIFAR-10数据库来的样本图像。右边:第一列是测试图像,然后第一列的每个测试图像右边是使用Nearest Neighbor算法,根据像素差异,从训练集中选出的10张最类似的图片。

——————————————————

假设现在我们有CIFAR-10的50000张图片(每种分类5000张)作为训练集,我们希望将余下的10000作为测试集并给他们打上标签。Nearest Neighbor算法将会拿着测试图片和训练集中每一张图片去比较,然后将它认为最相似的那个训练集图片的标签赋给这张测试图片。上面右边的图片就展示了这样的结果。请注意上面10个分类中,只有3个是准确的。比如第8行中,马头被分类为一个红色的跑车,原因在于红色跑车的黑色背景非常强烈,所以这匹马就被错误分类为跑车了。

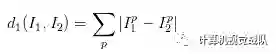
那么具体如何比较两张图片呢?在本例中,就是比较32x32x3的像素块。最简单的方法就是逐个像素比较,最后将差异值全部加起来。换句话说,就是将两张图片先转化为两个向量,然后计算他们的L1距离:

这里的求和是针对所有的像素。下面是整个比较流程的图例:

——————————————————

以图片中的一个颜色通道为例来进行说明。两张图片使用L1距离来进行比较。逐个像素求差值,然后将所有差值加起来得到一个数值。如果两张图片一模一样,那么L1距离为0,但是如果两张图片很是不同,那L1值将会非常大。

——————————————————

下面,让我们看看如何用代码来实现这个分类器。首先,我们将CIFAR-10的数据加载到内存中,并分成4个数组:训练数据和标签,测试数据和标签。在下面的代码中,Xtr(大小是50000x32x32x3)存有训练集中所有的图像,Ytr是对应的长度为50000的1维数组,存有图像对应的分类标签(从0到9):

Xtr, Ytr, Xte, Yte = load_CIFAR10('data/cifar10/') # a magic function we provide# flatten out all images to be one-dimensionalXtr_rows = Xtr.reshape(Xtr.shape[0], 32 * 32 * 3) # Xtr_rows becomes 50000 x 3072Xte_rows = Xte.reshape(Xte.shape[0], 32 * 32 * 3) # Xte_rows becomes 10000 x 3072

现在我们得到所有的图像数据,并且把他们拉长成为行向量了。接下来展示如何训练并评价一个分类器:

nn = NearestNeighbor() # create a Nearest Neighbor classifier classnn.train(Xtr_rows, Ytr) # train the classifier on the training images and labelsYte_predict = nn.predict(Xte_rows) # predict labels on the test images# and now print the classification accuracy, which is the average number# of examples that are correctly predicted (i.e. label matches)print 'accuracy: %f' % ( np.mean(Yte_predict == Yte) )

作为评价标准,我们常常使用准确率,它描述了我们预测正确的得分。请注意以后我们实现的所有分类器都需要有这个API:train(X, y)函数。该函数使用训练集的数据和标签来进行训练。从其内部来看,类应该实现一些关于标签和标签如何被预测的模型。这里还有个predict(X)函数,它的作用是预测输入的新数据的分类标签。现在还没介绍分类器的实现,下面就是使用L1距离的Nearest Neighbor分类器的实现套路:

import numpy as npclass NearestNeighbor(object):
  def __init__(self):
    pass

  def train(self, X, y):
    """ X is N x D where each row is an example. Y is 1-dimension of size N """
    # the nearest neighbor classifier simply remembers all the training data
    self.Xtr = X
    self.ytr = y

  def predict(self, X):
    """ X is N x D where each row is an example we wish to predict label for """
    num_test = X.shape[0]
    # lets make sure that the output type matches the input type
    Ypred = np.zeros(num_test, dtype = self.ytr.dtype)

    # loop over all test rows
    for i in xrange(num_test):
      # find the nearest training image to the i'th test image
      # using the L1 distance (sum of absolute value differences)
      distances = np.sum(np.abs(self.Xtr - X[i,:]), axis = 1)
      min_index = np.argmin(distances) # get the index with smallest distance
      Ypred[i] = self.ytr[min_index] # predict the label of the nearest example

    return Ypred

如果你用这段代码跑CIFAR-10,你会发现准确率能达到38.6%。这比随机猜测的10%要好,但是比人类识别的水平(据研究推测是94%)和卷积神经网络能达到的95%还是差多了。点击查看基于CIFAR-10数据的Kaggle算法竞赛排行榜。

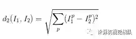
距离选择计算向量间的距离有很多种方法,另一个常用的方法是L2距离,从几何学的角度,可以理解为它在计算两个向量间的欧式距离。L2距离的公式如下:

换句话说,我们依旧是在计算像素间的差值,只是先求其平方,然后把这些平方全部加起来,最后对这个和开方。在Numpy中,我们只需要替换上面代码中的1行代码就行:

distances = np.sqrt(np.sum(np.square(self.Xtr - X[i,:]), axis = 1))

注意在这里使用了np.sqrt,但是在实际中可能不用。因为求平方根函数是一个单调函数,它对不同距离的绝对值求平方根虽然改变了数值大小,但依然保持了不同距离大小的顺序。所以用不用它,都能够对像素差异的大小进行正确比较。如果你在CIFAR-10上面跑这个模型,正确率是35.4%,比刚才低了一点。

L1和L2比较。比较这两个度量方式是挺有意思的。在面对两个向量之间的差异时,L2比L1更加不能容忍这些差异。也就是说,相对于1个巨大的差异,L2距离更倾向于接受多个中等程度的差异。L1和L2都是在p-norm常用的特殊形式。

k-Nearest Neighbor分类器

你可能注意到了,为什么只用最相似的1张图片的标签来作为测试图像的标签呢?这不是很奇怪吗!是的,使用k-Nearest Neighbor分类器就能做得更好。它的思想很简单:与其只找最相近的那1个图片的标签,我们找最相似的k个图片的标签,然后让他们针对测试图片进行投票,最后把票数最高的标签作为对测试图片的预测。所以当k=1的时候,k-Nearest Neighbor分类器就是Nearest Neighbor分类器。从直观感受上就可以看到,更高的k值可以让分类的效果更平滑,使得分类器对于异常值更有抵抗力。

——————————————————

上面示例展示了Nearest Neighbor分类器和5-Nearest Neighbor分类器的区别。例子使用了2维的点来表示,分成3类(红、蓝和绿)。不同颜色区域代表的是使用L2距离的分类器的决策边界。白色的区域是分类模糊的例子(即图像与两个以上的分类标签绑定)。需要注意的是,在NN分类器中,异常的数据点(比如:在蓝色区域中的绿点)制造出一个不正确预测的孤岛。5-NN分类器将这些不规则都平滑了,使得它针对测试数据的泛化(generalization能力更好(例子中未展示)。注意,5-NN中也存在一些灰色区域,这些区域是因为近邻标签的最高票数相同导致的(比如:2个邻居是红色,2个邻居是蓝色,还有1个是绿色)。

——————————————————

在实际中,大多使用k-NN分类器。但是k值如何确定呢?接下来就讨论这个问题。

干货——图像分类(下)

原创: 计算机视觉 计算机视觉战队

用于超参数调优的验证集

首先,来介绍参数和超参数的基本知识。

在机器学习或者深度学习领域,参数和超参数是一个常见的问题,个人根据经验给出了一个很狭隘的区分这两种参数的方法。

参数:就是模型可以根据数据可以自动学习出的变量,应该就是参数。比如,深度学习的权重,偏差等

超参数:就是用来确定模型的一些参数,超参数不同,模型是不同的(这个模型不同的意思就是有微小的区别,比如假设都是CNN模型,如果层数不同,模型不一样,虽然都是CNN模型哈。),超参数一般就是根据经验确定的变量。在深度学习中,超参数有:学习速率,迭代次数,层数,每层神经元的个数等等。

在选择模型算法的同时,会有很多选择,比如K-NN中k的选择等案例。所有这些选择,被称为超参数(hyperparameter)。在基于数据进行学习的机器学习算法设计中,超参数是很常见的。一般说来,这些超参数具体怎么设置或取值并不是显而易见的。

主要是通知实验来决定选择哪个值。我们就是这么做的,但这样做的时候要非常细心。特别注意:决不能使用测试集来进行调优。如果你这样实施后,你会发现效果特征好,但是算法在实际运行的时候,遇到新来的特征,你会发现效果特别差,远远低于你之前的预期,这种情况在该领域也有专有的称呼——过拟合

所以,最终测试的时候再使用测试集,可以很好地近似度量你所设计的分类器的泛化性能。

测试数据只用一次,在模型训练和验证结束后,最终才会使用该数据,主要为了评价模型的好坏。

针对这,其实有很多调优的方法。我们可以从训练集中取出一部分数据用来调优,称之为验证集(validation set。最后,会作图分析哪个k值表现最好,然后用这个k值来运行测试集,并作出对算法的评价。

交叉验证。是用来验证分类器的性能一种统计分析方法,基本思想是把在某种意义下将原始数据(dataset)进行分组,一部分做为训练集(train set),另一部分做为验证集(validation set),首先用训练集对分类器进行训练,在利用验证集来测试训练得到的模型(model),以此来做为评价分类器的性能指标。常见CV的方法如下:

  • Hold-Out Method

        将原始数据随机分为两组,一组做为训练集,一组做为验证集,利用训练集训练分类器,然后利用验证集验证模型,记录最后的分类准确率为此分类器的性能指标。 此种方法的好处的处理简单,只需随机把原始数据分为两组即可,其实严格意义来说Hold-Out Method并不能算是CV,因为这种方法没有达到交叉的思想,由于是随机的将原始数据分组,所以最后验证集分类准确率的高低与原始数据的分组有很大的关 系,所以这种方法得到的结果其实并不具有说服性。

  • Double Cross Validation(2-fold Cross Validation,记为2-CV)

       做法是将数据集分成两个相等大小的子集,进行两回合的分类器训练。在第一回合中,一个子集作为training set,另一个便作为testing set;在第二回合中,则将training set与testing set对换后,再次训练分类器,而其中我们比较关心的是两次testing sets的辨识率。不过在实务上2-CV并不常用,主要原因是training set样本数太少,通常不足以代表母体样本的分布,导致testing阶段辨识率容易出现明显落差。此外,2-CV中分子集的变异度大,往往无法达到“实 验过程必须可以被复制”的要求。

  • K-fold Cross Validation(K-折交叉验证,记为K-CV)

       将原始数据分成K组(一般是均分),将每个子集数据分别做一次验证集,其余的K-1组子集数据作为训练集,这样会得到K个模型,用这K个模型最终的验证 集的分类准确率的平均数作为此K-CV下分类器的性能指标。K一般大于等于2,实际操作时一般从3开始取,只有在原始数据集合数据量小的时候才会尝试取 2。K-CV可以有效的避免过学习以及欠学习状态的发生,最后得到的结果也比较具有说服性。

  • Leave-One-Out Cross Validation(记为LOO-CV)

         如果设原始数据有N个样本,那么LOO-CV就是N-CV,即每个样本单独作为验证集,其余的N-1个样本作为训练集,所以LOO-CV会得到N个模 型,用这N个模型最终的验证集的分类准确率的平均数作为此下LOO-CV分类器的性能指标。相比于前面的K-CV,LOO-CV有两个明显的优点:
(1)每一回合中几乎所有的样本皆用于训练模型,因此最接近原始样本的分布,这样评估所得的结果比较可靠。
(2)实验过程中没有随机因素会影响实验数据,确保实验过程是可以被复制的。

但LOO-CV的缺点则是计算成本高,因为需要建立的模型数量与原始数据样本数量相同,当原始数据样本数量相当多时,LOO-CV在实作上便有困难几乎就是不显示,除非每次训练分类器得到模型的速度很快,或是可以用并行化计算减少计算所需的时间。

—————————————————

这就是5份交叉验证对k值调优的例子。针对每个k值,得到5个准确率结果,取其平均值,然后对不同k值的平均表现画线连接。本例中,当k=7的时算法表现最好(对应图中的准确率峰值)。如果我们将训练集分成更多份数,直线一般会更加平滑(噪音更少)。

—————————————————

实际应用。在实际情况下,人们不是很喜欢用交叉验证,主要是因为它会耗费较多的计算资源。一般直接把训练集按照50%-90%的比例分成训练集和验证集。但这也是根据具体情况来定的:如果超参数数量多,你可能就想用更大的验证集,而验证集的数量不够,那么最好还是用交叉验证吧。至于分成几份比较好,一般都是分成3、5和10份。

—————————————————

常用的数据分割模式。给出训练集和测试集后,训练集一般会被均分。这里是分成5份。前面4份用来训练,黄色那份用作验证集调优。如果采取交叉验证,那就各份轮流作为验证集。最后模型训练完毕,超参数都定好了,让模型跑一次(而且只跑一次)测试集,以此测试结果评价算法。

————————————————

Nearest Neighbor分类器的优劣

现在对Nearest Neighbor分类器的优缺点进行思考。首先,Nearest Neighbor分类器易于理解,实现简单。其次,算法的训练不需要花时间,因为其训练过程只是将训练集数据存储起来。然而测试要花费大量时间计算,因为每个测试图像需要和所有存储的训练图像进行比较,这显然是一个缺点。在实际应用中,我们关注测试效率远远高于训练效率。其实,我们后续要学习的卷积神经网络在这个权衡上走到了另一个极端:虽然训练花费很多时间,但是一旦训练完成,对新的测试数据进行分类非常快。这样的模式就符合实际使用需求。

Nearest Neighbor分类器的计算复杂度研究是一个活跃的研究领域,若干Approximate Nearest Neighbor (ANN)算法和库的使用可以提升Nearest Neighbor分类器在数据上的计算速度(比如:FLANN)。这些算法可以在准确率和时空复杂度之间进行权衡,并通常依赖一个预处理/索引过程,这个过程中一般包含kd树的创建和k-means算法的运用。

Nearest Neighbor分类器在某些特定情况(比如数据维度较低)下,可能是不错的选择。但是在实际的图像分类工作中,很少使用。因为图像都是高维度数据(他们通常包含很多像素),而高维度向量之间的距离通常是反直觉的。下面的图片展示了基于像素的相似和基于感官的相似是有很大不同的:

—————————————————

在高维度数据上,基于像素的的距离和感官上的非常不同。上图中,右边3张图片和左边第1张原始图片的L2距离是一样的。很显然,基于像素比较的相似和感官上以及语义上的相似是不同的。

—————————————————

这里还有个视觉化证据,可以证明使用像素差异来比较图像是不够的。z这是一个叫做t-SNE的可视化技术,它将CIFAR-10中的图片按照二维方式排布,这样能很好展示图片之间的像素差异值。在这张图片中,排列相邻的图片L2距离就小。

—————————————————

上图使用t-SNE的可视化技术将CIFAR-10的图片进行了二维排列。排列相近的图片L2距离小。可以看出,图片的排列是被背景主导而不是图片语义内容本身主导。

—————————————————

具体说来,这些图片的排布更像是一种颜色分布函数,或者说是基于背景的,而不是图片的语义主体。比如,狗的图片可能和青蛙的图片非常接近,这是因为两张图片都是白色背景。从理想效果上来说,我们肯定是希望同类的图片能够聚集在一起,而不被背景或其他不相关因素干扰。为了达到这个目的,我们不能止步于原始像素比较,得继续前进。

小结

简要说来:

  • 介绍了图像分类问题。在该问题中,给出一个由被标注了分类标签的图像组成的集合,要求算法能预测没有标签的图像的分类标签,并根据算法预测准确率进行评价。

  • 介绍了一个简单的图像分类器:最近邻分类器(Nearest Neighbor classifier)。分类器中存在不同的超参数(比如k值或距离类型的选取),要想选取好的超参数不是一件轻而易举的事。

  • 选取超参数的正确方法是:将原始训练集分为训练集和验证集,我们在验证集上尝试不同的超参数,最后保留表现最好那个。

  • 如果训练数据量不够,使用交叉验证方法,它能帮助我们在选取最优超参数的时候减少噪音。

  • 一旦找到最优的超参数,就让算法以该参数在测试集跑且只跑一次,并根据测试结果评价算法。

  • 最近邻分类器能够在CIFAR-10上得到将近40%的准确率。该算法简单易实现,但需要存储所有训练数据,并且在测试的时候过于耗费计算能力。

  • 最后,我们知道了仅仅使用L1和L2范数来进行像素比较是不够的,图像更多的是按照背景和颜色被分类,而不是语义主体分身。

在接下来的课程中,我们将专注于解决这些问题和挑战,并最终能够得到超过90%准确率的解决方案。该方案能够在完成学习就丢掉训练集,并在一毫秒之内就完成一张图片的分类。

小结:实际应用k-NN

如果你希望将k-NN分类器用到实处(最好别用到图像上,若是仅仅作为练手还可以接受),那么可以按照以下流程:

  1. 预处理你的数据:对你数据中的特征进行归一化(normalize),让其具有零平均值(zero mean)和单位方差(unit variance)。在后面的小节我们会讨论这些细节。本小节不讨论,是因为图像中的像素都是同质的,不会表现出较大的差异分布,也就不需要标准化处理了。

  2. 如果数据是高维数据,考虑使用降维方法,比如PCA(wiki ref, CS229ref, blog ref)或随机投影。

  3. 将数据随机分入训练集和验证集。按照一般规律,70%-90% 数据作为训练集。这个比例根据算法中有多少超参数,以及这些超参数对于算法的预期影响来决定。如果需要预测的超参数很多,那么就应该使用更大的验证集来有效地估计它们。如果担心验证集数量不够,那么就尝试交叉验证方法。如果计算资源足够,使用交叉验证总是更加安全的(份数越多,效果越好,也更耗费计算资源)。

  4. 在验证集上调优,尝试足够多的k值,尝试L1和L2两种范数计算方式。

  5. 如果分类器跑得太慢,尝试使用Approximate Nearest Neighbor库(比如FLANN)来加速这个过程,其代价是降低一些准确率。

  6. 对最优的超参数做记录。记录最优参数后,是否应该让使用最优参数的算法在完整的训练集上运行并再次训练呢?因为如果把验证集重新放回到训练集中(自然训练集的数据量就又变大了),有可能最优参数又会有所变化。在实践中,不要这样做。千万不要在最终的分类器中使用验证集数据,这样做会破坏对于最优参数的估计。直接使用测试集来测试用最优参数设置好的最优模型,得到测试集数据的分类准确率,并以此作为你的kNN分类器在该数据上的性能表现。






工业互联网




产业智能官  AI-CPS


加入知识星球“产业智能研究院”:先进产业OT(工艺+自动化+机器人+新能源+精益)技术和新一代信息IT技术(云计算+大数据+物联网+区块链+人工智能)深度融合,在场景中构建状态感知-实时分析-自主决策-精准执行-学习提升的机器智能认知计算系统实现产业转型升级、DT驱动业务、价值创新创造的产业互联生态链



版权声明产业智能官(ID:AI-CPS推荐的文章,除非确实无法确认,我们都会注明作者和来源,涉权烦请联系协商解决,联系、投稿邮箱:erp_vip@hotmail.com。



登录查看更多
10

相关内容

图像分类是指给定一组各自被标记为单一类别的图像,然后对一组新的测试图像的类别进行预测,并测量预测的准确性结果。
 图像内容自动描述技术综述
专知会员服务
88+阅读 · 2019年11月17日
零样本图像分类综述 : 十年进展
专知会员服务
128+阅读 · 2019年11月16日
干货——图像分类(上)
计算机视觉战队
27+阅读 · 2018年8月28日
【机器视觉】人脸检测与识别总结
产业智能官
7+阅读 · 2017年12月6日
【机器视觉】张长水:图像识别与机器学习
产业智能官
7+阅读 · 2017年10月23日
深度学习目标检测概览
AI研习社
46+阅读 · 2017年10月13日
干货|深度学习目标检测的主要问题和挑战!
全球人工智能
6+阅读 · 2017年9月6日
Arxiv
6+阅读 · 2018年7月9日
VIP会员
相关VIP内容
 图像内容自动描述技术综述
专知会员服务
88+阅读 · 2019年11月17日
零样本图像分类综述 : 十年进展
专知会员服务
128+阅读 · 2019年11月16日
相关资讯
干货——图像分类(上)
计算机视觉战队
27+阅读 · 2018年8月28日
【机器视觉】人脸检测与识别总结
产业智能官
7+阅读 · 2017年12月6日
【机器视觉】张长水:图像识别与机器学习
产业智能官
7+阅读 · 2017年10月23日
深度学习目标检测概览
AI研习社
46+阅读 · 2017年10月13日
干货|深度学习目标检测的主要问题和挑战!
全球人工智能
6+阅读 · 2017年9月6日
Top
微信扫码咨询专知VIP会员