成为VIP会员查看完整内容
VIP会员码认证
首页
主题
会员
服务
注册
·
登录
0
送码|白描 Windows 版终于来了!超好用的 OCR 工具更进一步
2022 年 9 月 21 日
少数派
福利在文末喔 🌝
白描是一款简单好用的 OCR 文字识别与扫描工具,主要功能有提取图片中的文字、图片表格转 Excel、公式识别、文件扫描、身份证扫描、合成 PDF 等。
现在,白描除了可以在手机上和网页上用,Windows 版本也正式发布,支持 Windows 7 / 8 / 10 / 11,目前白描已经包含 iOS、Android、Windows、macOS、网页、小程序多种版本,想在哪用就在哪用。除小程序外,所有平台的会员通用,也就是说,在手机端买个会员,就可以一个账号全平台使用了。
▍
截屏 OCR 识别
首先,白描 Windows 版本最方便的就是截屏识别,App 运行后,会在右下角托盘有个小图标,右键小图标可以有更多操作,比如:截屏识别。
除了通过托盘图标菜单识别,可以在白描设置界面设置截屏的快捷键,识别更高效。
截图后会弹出识别结果页面,左侧是截图后的原图,右侧是文本结果,在识别结果页面可以复制结果,导出 Word 或 TXT 文本。
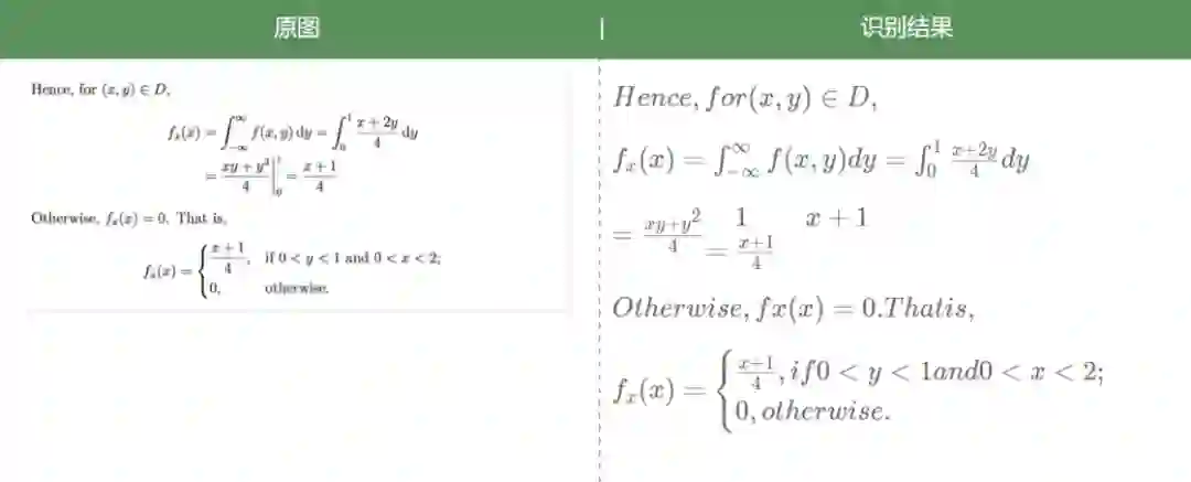
截图不只是文字识别,还支持公式识别、表格识别。
如果是表格识别,在识别结果的部分可以直接导出 Excel,公式识别可以直接复制为 LaTeX 格式。
如果你平常截图识别的种类非常多,比如可能需要识别文字、表格、公式、二维码等,可以在设置里打开自动检测图片类型,软件会根据检测到的类型自动进行相应的识别。
▍
文字识别
除了截屏快捷识别,也可以在主界面中进行操作,在左侧选中图片文字提取,便可以进行普通的 OCR 文字识别,支持单张识别、批量识别,长图也同样支持直接识别。
主界面的文字识别,除了图片格式,也支持直接将 PDF 文件拖入识别,首先软件会将 PDF 的所有页面解析为图片,然后进行识别。
▍
表格识别
主界面左侧切换为表格识别,可以直接将图片中的表格转换为 Excel 格式,无论带线还是不带线的表格都支持。
如果有多个表格,也支持把表格识别为多个工作表(Sheet)。
▍
公式识别
主界面左侧切换为公式识别,可以将图片中的公式转换为文本,复制为 LaTeX 格式。
▍
关于会员
白描手机 App 中购买的会员可以直接在 Windows 版本中使用,在设置页面登录账号就可以了。
▍
关于 macOS 版
白描之前已经在 Mac App Store 中发布了 macOS 版本,此次又发布了一个新支持独立下载安装的版本,基本功能和上面介绍的 Windows 版本一样,同样支持截屏识别、文字识别、表格识别、公式识别、PDF 识别,不过它还有另一个功能:让你的 Mac 变成一个 OCR 识别服务器:
如果你会一些编程,又拥有一台 Mac 电脑,想自己实现一个 OCR 工具,那可以使用白描提供的服务器服务,发挥你的想象力,做出任何自己喜欢的 OCR 识别工具。这部分如果感兴趣的人多,我会考虑单独写一篇文章来介绍服务器模式。
🎁 送码
你可以在
少数派软件商城
下载白描试用,或者直接购买包含专属免费教程内容的《白描工具升值包》。
在评论区分享一下
你平时会用 OCR 吗?或者聊聊你对白描的想法和建议。
本周五(09.23)抽 2 位送出《白描工具升值包》黄金版会员。
原文链接:
https://sspai.com/post/75705?utm_source=wechat&utm_medium=social
作者:Tolecen
责编:waychane
/
更多热门文章
/
登录查看更多
点赞并收藏
0
暂时没有读者
0
权益说明
本文档仅做收录索引使用,若发现您的权益受到侵害,请立即联系客服(微信: zhuanzhi02,邮箱:bd@zhuanzhi.ai),我们会尽快为您处理
相关内容
识别
关注
0
【Latex数学排版简洁指南】《Short Math Guide for LATEX》by Michael Downes
专知会员服务
53+阅读 · 2022年2月14日
【干货书】面向数据科学的高级线性模型
专知会员服务
54+阅读 · 2021年10月1日
【干货书】《零基础搭建量化投资系统:以Python为工具》541PDF+代码运行
专知会员服务
176+阅读 · 2021年2月28日
【干货书】Python高级数据科学分析,424页pdf
专知会员服务
117+阅读 · 2020年8月7日
【资源】100+本免费数据科学书
专知会员服务
108+阅读 · 2020年3月17日
送码 | iOS、Android、PC 值得下载的 6 个 App
少数派
2+阅读 · 2022年10月20日
送码|一个软件搞定「录屏」那点事,芦笋到底好用在哪?
少数派
0+阅读 · 2022年8月8日
iOS 内置了超好用的搜索功能,别说你还不知道|免费试读
少数派
0+阅读 · 2022年4月21日
让你的 Windows 更好用,我想推荐这 3 个实用软件
少数派
0+阅读 · 2022年4月13日
电脑装不了 Windows 11?用这个小工具就能搞定
少数派
0+阅读 · 2021年11月4日
点阵结构木质工程材的结构优化、功能设计与可靠性分析
国家自然科学基金
0+阅读 · 2014年12月31日
图文混合笔输入文档分析与识别的理论与方法研究
国家自然科学基金
0+阅读 · 2012年12月31日
人源PCL家族蛋白参与表观遗传调控的分子机理
国家自然科学基金
0+阅读 · 2012年12月31日
Windows 7 操作系统的安全性分析
国家自然科学基金
0+阅读 · 2011年12月31日
土壤四环素类抗生素污染胁迫下蚯蚓细胞mRNA组学研究
国家自然科学基金
0+阅读 · 2009年12月31日
Causal inference for data centric engineering
Arxiv
0+阅读 · 2022年11月24日
Knowledge Distillation for Object Detection via Rank Mimicking and Prediction-guided Feature Imitation
Arxiv
11+阅读 · 2021年12月9日
Scalable Graph Neural Networks via Bidirectional Propagation
Arxiv
16+阅读 · 2020年10月29日
已删除
Arxiv
33+阅读 · 2020年3月23日
Phase-aware Speech Enhancement with Deep Complex U-Net
Arxiv
15+阅读 · 2019年3月7日
VIP会员
自助开通(推荐)
客服开通
详情
相关主题
识别
OCR
Microsoft Windows
文字识别
格识别
表格识别
相关VIP内容
【Latex数学排版简洁指南】《Short Math Guide for LATEX》by Michael Downes
专知会员服务
53+阅读 · 2022年2月14日
【干货书】面向数据科学的高级线性模型
专知会员服务
54+阅读 · 2021年10月1日
【干货书】《零基础搭建量化投资系统:以Python为工具》541PDF+代码运行
专知会员服务
176+阅读 · 2021年2月28日
【干货书】Python高级数据科学分析,424页pdf
专知会员服务
117+阅读 · 2020年8月7日
【资源】100+本免费数据科学书
专知会员服务
108+阅读 · 2020年3月17日
热门VIP内容
开通专知VIP会员 享更多权益服务
因果强化学习的统一框架:综述、分类体系、算法与应用
《无人机系统 - 反无人机系统:测试方法》364页
【MIT博士论文】语言模型的推理时学习算法
美军低成本无人作战攻击系统(LUCAS):扩大无人机战争规模
相关资讯
送码 | iOS、Android、PC 值得下载的 6 个 App
少数派
2+阅读 · 2022年10月20日
送码|一个软件搞定「录屏」那点事,芦笋到底好用在哪?
少数派
0+阅读 · 2022年8月8日
iOS 内置了超好用的搜索功能,别说你还不知道|免费试读
少数派
0+阅读 · 2022年4月21日
让你的 Windows 更好用,我想推荐这 3 个实用软件
少数派
0+阅读 · 2022年4月13日
电脑装不了 Windows 11?用这个小工具就能搞定
少数派
0+阅读 · 2021年11月4日
相关基金
点阵结构木质工程材的结构优化、功能设计与可靠性分析
国家自然科学基金
0+阅读 · 2014年12月31日
图文混合笔输入文档分析与识别的理论与方法研究
国家自然科学基金
0+阅读 · 2012年12月31日
人源PCL家族蛋白参与表观遗传调控的分子机理
国家自然科学基金
0+阅读 · 2012年12月31日
Windows 7 操作系统的安全性分析
国家自然科学基金
0+阅读 · 2011年12月31日
土壤四环素类抗生素污染胁迫下蚯蚓细胞mRNA组学研究
国家自然科学基金
0+阅读 · 2009年12月31日
相关论文
Causal inference for data centric engineering
Arxiv
0+阅读 · 2022年11月24日
Knowledge Distillation for Object Detection via Rank Mimicking and Prediction-guided Feature Imitation
Arxiv
11+阅读 · 2021年12月9日
Scalable Graph Neural Networks via Bidirectional Propagation
Arxiv
16+阅读 · 2020年10月29日
已删除
Arxiv
33+阅读 · 2020年3月23日
Phase-aware Speech Enhancement with Deep Complex U-Net
Arxiv
15+阅读 · 2019年3月7日
大家都在搜
Palantir
机场
大型语言模型
多域作战
未来战争
反恐
蓝牙安全攻防
朱克爱德华兹家族
MOOCCube
从传统方法到深度学习—— bilateral filter 到 HDRNet的演进
Top
提示
微信扫码
咨询专知VIP会员与技术项目合作
(加微信请备注: "专知")
微信扫码咨询专知VIP会员
Top