一文读懂支持向量积核函数(附公式)

2018 年 1 月 29 日 数据派THU

来源:jerrylead

本文长度为1783字,建议阅读4分钟

本文通过多个例子为你介绍支持向量积核函数,助你更好地理解。


核函数(Kernels)


考虑我们最初在“线性回归”中提出的问题,特征是房子的面积x,这里的x是实数,结果y是房子的价格。


假设我们从样本点的分布中看到x和y符合3次曲线,那么我们希望使用x的三次多项式来逼近这些样本点。


那么首先需要将特征x扩展到三维,然后寻找特征和结果之间的模型。我们将这种特征变换称作特征映射(feature mapping)。映射函数称作,在这个例子中



我们希望将得到的特征映射后的特征应用于SVM分类,而不是最初的特征。这样,我们需要将前面公式中的内积从,映射到


至于为什么需要映射后的特征而不是最初的特征来参与计算,上面提到的(为了更好地拟合)是其中一个原因,另外的一个重要原因是样例可能存在线性不可分的情况,而将特征映射到高维空间后,往往就可分了。(在《数据挖掘导论》Pang-Ning Tan等人著的《支持向量机》那一章有个很好的例子说明)


将核函数形式化定义,如果原始特征内积是,映射后为,那么定义核函数(Kernel)为



到这里,我们可以得出结论,如果要实现该节开头的效果,只需先计算,然后计算即可,然而这种计算方式是非常低效的。


比如最初的特征是n维的,我们将其映射到维,然后再计算,这样需要的时间。那么我们能不能想办法减少计算时间呢?


先看一个例子,假设x和z都是n维的,



展开后,得



这个时候发现我们可以只计算原始特征x和z内积的平方(时间复杂度是O(n)),就等价与计算映射后特征的内积。也就是说我们不需要花时间了。


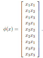
现在看一下映射函数(n=3时),根据上面的公式,得到



也就是说核函数只能在选择这样的作为映射函数时才能够等价于映射后特征的内积。


再看一个核函数



对应的映射函数(n=3时)是



更一般地,核函数对应的映射后特征维度为


由于计算的是内积,我们可以想到IR中的余弦相似度,如果x和z向量夹角越小,那么核函数值越大,反之,越小。因此,核函数值是的相似度。


再看另外一个核函数



这时,如果x和z很相近(),那么核函数值为1,如果x和z相差很大(),那么核函数值约等于0。


由于这个函数类似于高斯分布,因此称为高斯核函数,也叫做径向基函数(Radial Basis Function 简称RBF)。它能够把原始特征映射到无穷维。


既然高斯核函数能够比较x和z的相似度,并映射到0到1,回想logistic回归,sigmoid函数可以,因此还有sigmoid核函数等等。


下面有张图说明在低维线性不可分时,映射到高维后就可分了,使用高斯核函数。


来自Eric Xing的slides


注意,使用核函数后,怎么分类新来的样本呢?线性的时候我们使用SVM学习出w和b,新来样本x的话,我们使用来判断,如果值大于等于1,那么是正类,小于等于是负类。


在两者之间,认为无法确定。如果使用了核函数后,就变成了,是否先要找到,然后再预测?答案肯定不是了,找很麻烦,回想我们之前说过的



只需将替换成,然后值的判断同上。


核函数有效性判定


问题:给定一个函数K,我们能否使用K来替代计算,也就说,是否能够找出一个,使得对于所有的x和z,都有


比如给出了,是否能够认为K是一个有效的核函数。


下面来解决这个问题,给定m个训练样本,每一个对应一个特征向量。


那么,我们可以将任意两个带入K中,计算得到。I可以从1到m,j可以从1到m,这样可以计算出m*m的核函数矩阵(Kernel Matrix)。


为了方便,我们将核函数矩阵和都使用K来表示。


如果假设K是有效地核函数,那么根据核函数定义



可见,矩阵K应该是个对称阵。让我们得出一个更强的结论,首先使用符号来表示映射函数的第k维属性值。那么对于任意向量z,得



最后一步和前面计算时类似。从这个公式我们可以看出,如果K是个有效的核函数(即等价),那么,在训练集上得到的核函数矩阵K应该是半正定的(


这样我们得到一个核函数的必要条件:


K是有效的核函数 ==> 核函数矩阵K是对称半正定的。


可幸的是,这个条件也是充分的,由Mercer定理来表达。


Mercer定理:

如果函数K是上的映射(也就是从两个n维向量映射到实数域)。那么如果K是一个有效核函数(也称为Mercer核函数),那么当且仅当对于训练样例,其相应的核函数矩阵是对称半正定的。


Mercer定理表明为了证明K是有效的核函数,那么我们不用去寻找,而只需要在训练集上求出各个,然后判断矩阵K是否是半正定(使用左上角主子式大于等于零等方法)即可。


许多其他的教科书在Mercer定理证明过程中使用了范数和再生希尔伯特空间等概念,但在特征是n维的情况下,这里给出的证明是等价的。


核函数不仅仅用在SVM上,但凡在一个模型后算法中出现了,我们都可以常使用去替换,这可能能够很好地改善我们的算法。


编辑:文婧

登录查看更多
2

相关内容

【清华大学】图随机神经网络,Graph Random Neural Networks
专知会员服务
156+阅读 · 2020年5月26日
【干货书】数值计算C编程,319页pdf,Numerical C
专知会员服务
72+阅读 · 2020年4月7日
自回归模型:PixelCNN
专知会员服务
27+阅读 · 2020年3月21日
专知会员服务
100+阅读 · 2020年2月20日
【经典书】精通机器学习特征工程,中文版,178页pdf
专知会员服务
360+阅读 · 2020年2月15日
博客 | MIT—线性代数(下)
AI研习社
6+阅读 · 2018年12月20日
条件概率和贝叶斯公式 - 图解概率 03
遇见数学
10+阅读 · 2018年6月5日
从示例中理解SVM算法(附代码)
论智
9+阅读 · 2018年5月10日
面试整理:关于代价函数,正则化
数据挖掘入门与实战
8+阅读 · 2018年3月29日
机器学习(27)【降维】之主成分分析(PCA)详解
机器学习算法与Python学习
9+阅读 · 2017年11月22日
BAT机器学习面试1000题系列(第36~40题)
七月在线实验室
8+阅读 · 2017年10月3日
机器学习(19)之支持向量回归机
机器学习算法与Python学习
12+阅读 · 2017年10月3日
机器学习(18)之支持向量机原理(三)线性不可分支持向量机与核函数
机器学习算法与Python学习
3+阅读 · 2017年9月23日
机器学习(16)之支持向量机原理(二)软间隔最大化
机器学习算法与Python学习
6+阅读 · 2017年9月8日
Logistic回归第一弹——二项Logistic Regression
机器学习深度学习实战原创交流
3+阅读 · 2015年10月22日
Labeling Panoramas with Spherical Hourglass Networks
Arxiv
4+阅读 · 2018年7月4日
Arxiv
5+阅读 · 2018年1月30日
VIP会员
相关VIP内容
相关资讯
博客 | MIT—线性代数(下)
AI研习社
6+阅读 · 2018年12月20日
条件概率和贝叶斯公式 - 图解概率 03
遇见数学
10+阅读 · 2018年6月5日
从示例中理解SVM算法(附代码)
论智
9+阅读 · 2018年5月10日
面试整理:关于代价函数,正则化
数据挖掘入门与实战
8+阅读 · 2018年3月29日
机器学习(27)【降维】之主成分分析(PCA)详解
机器学习算法与Python学习
9+阅读 · 2017年11月22日
BAT机器学习面试1000题系列(第36~40题)
七月在线实验室
8+阅读 · 2017年10月3日
机器学习(19)之支持向量回归机
机器学习算法与Python学习
12+阅读 · 2017年10月3日
机器学习(18)之支持向量机原理(三)线性不可分支持向量机与核函数
机器学习算法与Python学习
3+阅读 · 2017年9月23日
机器学习(16)之支持向量机原理(二)软间隔最大化
机器学习算法与Python学习
6+阅读 · 2017年9月8日
Logistic回归第一弹——二项Logistic Regression
机器学习深度学习实战原创交流
3+阅读 · 2015年10月22日
Top
微信扫码咨询专知VIP会员