华为提出DyNet:动态卷积

2020 年 5 月 14 日 CVer

点击上方“CVer”,选择加"星标"或“置顶”

重磅干货,第一时间送达

本文作者:张凯

https://zhuanlan.zhihu.com/p/139933466

本文已由原作者授权,不得擅自二次转载

背景

《DyNet: Dynamic Convolution for Accelerating Convolutional Neural Networks》是华为挂出的论文,其核心思想和谷歌的CondConv类似,产生kernel的方式有细微的不同,同时也取得了很高的性能涨点。

论文地址:http://de.arxiv.org/abs/2004.10694

一、 研究动机:

该论文利用了动态卷积来做神经网络的加速。该文章对activation进行了协方差的分析和可视化,从而提出了Coefficient prediction模块和Dynamic generation模块来产生动态卷积。相比于标准卷积,相同的通道数下,动态卷积的性能有明显的提升。

二、研究方法

整体思路如图所示:

其核心思想和谷歌提出的条件卷积类似,通过activation生成一组权重,然后对fixed 权重进行加权求和生成动态卷积的权重。和CondConv主要区别在于该论文生成的权重参数更多,对于谷歌而言,一组卷积核的权重是共享的,而该论文是不共享的。

具体来看:

首先作者对现有网络的输出进行了协方差的统计和可视化:

其中S代表相关性最强,M、W、N依次减少。

可以看到,VGG的网络输出有较强的相关性。MobileNetv2的相关性相对较小,对于裁剪算法也较难进行裁剪。

协方差预测模块:

主要是生成卷积核采用一个全局pooling,然后采用全连接生成对应的权重。注意此处c的维度应该是 的。而在谷歌Condconv此处对应的应该是gt。

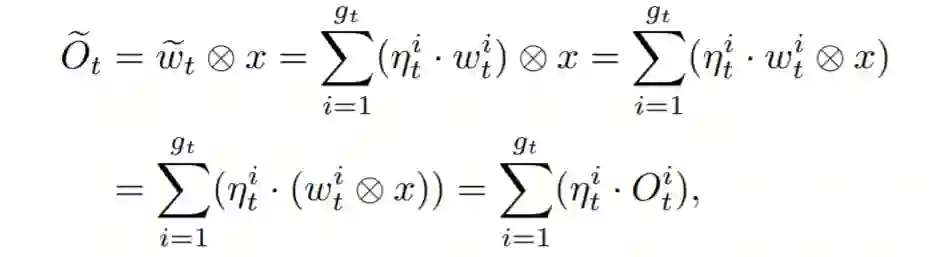
动态卷积核生成模块:

如前图所示,是各个group中的加权求和。

训练算法:

在训练过程中,由于每张图的卷积核都是不一致的,所以在一个batch里并行计算是困难的(在旷视DRConv中,是用过将batch方向的并行计算堆叠到c方向通过group卷积实现),该论文通过等效在特征图上进行等效加权,这样就类似于通道上的注意力机制:(

作者给出了mobileNet、shuffleNet、resnet18、resnet50上的增加动态卷积的方式:


三、实验结果:

可以看到,在相近的计算量下,Dy-MobileNetv3-small的性能更高;在性能接近的情况下,Dy-ResNet50的计算量减少了三分之二。

从可视化的角度看:

从可视化上看,MobileNetv2的activation的协方差来的更小。

四、总结分析:

该论文从轻量设计的角度提出了DyNet,能够有效地降低模型的计算量。思路上和CondConv较为接近,在实现上类似于通道注意力机制,另一方面该论文的训练采用了cosine学习率、label smooth等技巧。

论文下载

在CVer公众号后台回复:DyNet,即可下载本论文

重磅!CVer-论文写作与投稿 交流群已成立


扫码添加CVer助手,可申请加入CVer-论文写作与投稿 微信交流群,目前已满1800+人,旨在交流顶会(CVPR/ICCV/ECCV/ICML/ICLR/AAAI等)、顶刊(IJCV/TPAMI/TIP等)、SCI、EI等写作与投稿事宜。


同时也可申请加入CVer大群和细分方向技术群,细分方向已涵盖:目标检测、图像分割、目标跟踪、人脸检测&识别、OCR、姿态估计、超分辨率、SLAM、医疗影像、Re-ID、GAN、NAS、深度估计、自动驾驶、强化学习、车道线检测、模型剪枝&压缩、去噪、去雾、去雨、风格迁移、遥感图像、行为识别、视频理解、图像融合、图像检索、论文投稿&交流、PyTorch和TensorFlow等群。


一定要备注:研究方向+地点+学校/公司+昵称(如论文写作+上海+上交+卡卡),根据格式备注,可更快被通过且邀请进群

▲长按加微信群


▲长按关注CVer公众号

请给CVer一个在看

登录查看更多
2

相关内容

【IJCAJ 2020】多通道神经网络 Multi-Channel Graph Neural Networks
专知会员服务
26+阅读 · 2020年7月19日
【CVPR 2020-商汤】8比特数值也能训练卷积神经网络模型
专知会员服务
26+阅读 · 2020年5月7日
CVPR2020 | 商汤-港中文等提出PV-RCNN:3D目标检测新网络
专知会员服务
45+阅读 · 2020年4月17日
【CVPR2020-百度】用于视觉识别的门控信道变换
专知会员服务
13+阅读 · 2020年3月30日
【Nature论文】深度网络中的梯度下降复杂度控制
专知会员服务
41+阅读 · 2020年3月9日
【ICLR-2020】网络反卷积,NETWORK DECONVOLUTION
专知会员服务
39+阅读 · 2020年2月21日
【NeurIPS2019】图变换网络:Graph Transformer Network
专知会员服务
112+阅读 · 2019年11月25日
一文读懂图卷积GCN
计算机视觉life
21+阅读 · 2019年12月21日
CNN网络结构的发展(最全整理)
极市平台
73+阅读 · 2019年11月2日
CVPR 2019 | 一个高阶张量搞定整个全卷积网络
机器之心
9+阅读 · 2019年5月12日
卷积神经网络四种卷积类型
炼数成金订阅号
18+阅读 · 2019年4月16日
DeepLabv1 & DeepLabv2 - 空洞卷积(语义分割)
AI研习社
12+阅读 · 2019年3月25日
总结-空洞卷积(Dilated/Atrous Convolution)
极市平台
41+阅读 · 2019年2月25日
综述:DenseNet—Dense卷积网络(图像分类)
专知
86+阅读 · 2018年11月26日
ECCV2018|ShuffleNetV2:轻量级CNN网络中的桂冠
极市平台
7+阅读 · 2018年11月5日
【干货】卷积神经网络中的四种基本组件
用于RGB-D室内场景语义分割的门式融合局部感知反卷积网络
机器学习研究会
7+阅读 · 2017年10月30日
Arxiv
4+阅读 · 2020年3月27日
CoCoNet: A Collaborative Convolutional Network
Arxiv
6+阅读 · 2019年1月28日
Arxiv
7+阅读 · 2018年3月22日
Arxiv
3+阅读 · 2018年3月5日
Arxiv
3+阅读 · 2017年10月1日
VIP会员
相关VIP内容
【IJCAJ 2020】多通道神经网络 Multi-Channel Graph Neural Networks
专知会员服务
26+阅读 · 2020年7月19日
【CVPR 2020-商汤】8比特数值也能训练卷积神经网络模型
专知会员服务
26+阅读 · 2020年5月7日
CVPR2020 | 商汤-港中文等提出PV-RCNN:3D目标检测新网络
专知会员服务
45+阅读 · 2020年4月17日
【CVPR2020-百度】用于视觉识别的门控信道变换
专知会员服务
13+阅读 · 2020年3月30日
【Nature论文】深度网络中的梯度下降复杂度控制
专知会员服务
41+阅读 · 2020年3月9日
【ICLR-2020】网络反卷积,NETWORK DECONVOLUTION
专知会员服务
39+阅读 · 2020年2月21日
【NeurIPS2019】图变换网络:Graph Transformer Network
专知会员服务
112+阅读 · 2019年11月25日
相关资讯
一文读懂图卷积GCN
计算机视觉life
21+阅读 · 2019年12月21日
CNN网络结构的发展(最全整理)
极市平台
73+阅读 · 2019年11月2日
CVPR 2019 | 一个高阶张量搞定整个全卷积网络
机器之心
9+阅读 · 2019年5月12日
卷积神经网络四种卷积类型
炼数成金订阅号
18+阅读 · 2019年4月16日
DeepLabv1 & DeepLabv2 - 空洞卷积(语义分割)
AI研习社
12+阅读 · 2019年3月25日
总结-空洞卷积(Dilated/Atrous Convolution)
极市平台
41+阅读 · 2019年2月25日
综述:DenseNet—Dense卷积网络(图像分类)
专知
86+阅读 · 2018年11月26日
ECCV2018|ShuffleNetV2:轻量级CNN网络中的桂冠
极市平台
7+阅读 · 2018年11月5日
【干货】卷积神经网络中的四种基本组件
用于RGB-D室内场景语义分割的门式融合局部感知反卷积网络
机器学习研究会
7+阅读 · 2017年10月30日
Top
微信扫码咨询专知VIP会员