论文浅尝 | 探索将预训练语言模型用于事件抽取和事件生成

2019 年 11 月 8 日 开放知识图谱

论文笔记整理:郝凯龙,南京大学硕士



链接:https://www.aclweb.org/anthology/P19-1522.pdf


动机

传统的 ACE 事件抽取任务依赖于人工标注的数据,耗费大量的人力并且数据量有限,数据量不足给事件抽取带来了阻碍。传统的事件抽取不能解决 role overlap 角色重叠的问题。PLMEE 模型通过对不同的角色分别进行 augument prediction 论元预测解决了角色重叠问题。另外,论文提出了一种利用BERT生成训练数据的方法,并证明有效。在 ACE2005 数据集上,超过了 state-of-the-art 的结果,将触发词分类和论元分类的 F1 值分别提高到了 81.1 58.9


亮点

PLMEE 的亮点主要包括:

1)解决了一个论元扮演多个角色即角色重叠问题,通过对不同的角色构建多个分类器的方式。例如“The explosion killed thebomber and three shopers”在这句话中,bomber既是Attacker也是Victim

2)提出了利用BERT生成训练数据的方法,并证明方法有效。


概念及模型

  • 事件抽取

事件抽取分为触发词抽取、论元抽取、论元范围检测、损失函数重写

1.    触发词抽取

将触发词抽取建模为多分类问题,在BERT后添加MLP做分类,用cross-entropy作为损失函数。

2.    论元抽取

对于每一个token有多组二分类器,每个分类器决定改token是否为对应role的开头或结尾。通过这种方式,一个token/argument可以是多个role,可解决role overlap问题。

3.    论元范围检测

利用一个有限自动机,进行短语的检测,可以表示成下图:

尽可能的选择概率更高的token作为argument的开头和结尾。并且可以为一个role检测出多个argument

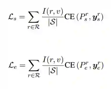
4.    损失函数重写

按照TF-IDF的方式,计算不同role的重要程度,作为weight

r表示role,即角色。v 代表某一事件类型,V代表所有事件类型集合。

RF-IEF规范化,得到I(r, v)代表对于事件v角色r的重要程度。

Ls表示start,即论元开头的lossLe表示end的损失。两者求和为最终的损失函数。

  • 事件生成


首先在数据集中进行论元收集,将角色相同并且上下文相似的token/phrase构成集合,如上图框中示例。

对于句子,对其中的argument论元,在构建的相似集合中随机选择进行替换。

对于触发词和论元以外的词,即附加词,利用bert进行[mask]遮掩,利用BERT预测的结果作为替换。

 

最后得到打分函数,用于筛选生成数据。


理论分析

实验

1.     实验结果

作者采用了相较于以往方法更严苛的评判标准。

但是实验的结果依然是极好的,对于Trigger Identification触发词检测和Trigger Classification触发词分类甚至提升了10%

 

1.     触发词只有类型和范围均检测正确,才认为结果正确

2.     论元只有范围正确,并且所有的role overlap重叠角色均被检测出来,才认为结果正确。


总结

本文利用预训练语言模型,对事件抽取证明有极大的提高,说明 BERT 得到的 embedding 蕴含的语义信息是非常有意义的。另外,采用 BERT 生成数据也是一种不错的思路。对于 role overlap 等问题,论文提出了一种基于多分类器的改进方式。

 


 

OpenKG


开放知识图谱(简称 OpenKG)旨在促进中文知识图谱数据的开放与互联,促进知识图谱和语义技术的普及和广泛应用。

点击阅读原文,进入 OpenKG 博客。

登录查看更多
26

相关内容

事件抽取指的是从非结构化文本中抽取事件信息,并将其以结构化形式呈现出来的任务。例如从“毛泽东1893 年出生于湖南湘潭”这句话中抽取事件{类型:出生,人物:毛泽东,时间:1893 年,出生地:湖南湘潭}。 事件抽取任务通常包含事件类型识别和事件元素填充两个子任务。
【ACL2020】多模态信息抽取,365页ppt
专知会员服务
150+阅读 · 2020年7月6日
【ACL2020-Allen AI】预训练语言模型中的无监督域聚类
专知会员服务
24+阅读 · 2020年4月7日
【斯坦福大学-论文】实体上下文关系路径的知识图谱补全
【AAAI2020知识图谱论文概述】Knowledge Graphs @ AAAI 2020
专知会员服务
134+阅读 · 2020年2月13日
[综述]基于深度学习的开放领域对话系统研究综述
专知会员服务
80+阅读 · 2019年10月12日
论文浅尝 | 采用多层注意力机制的事件检测
开放知识图谱
24+阅读 · 2019年8月24日
论文浅尝 | 基于复杂查询图编码的知识库问答
开放知识图谱
17+阅读 · 2019年7月22日
论文浅尝 | 使用循环神经网络的联合事件抽取
开放知识图谱
25+阅读 · 2019年4月28日
综述 | 事件抽取及推理 (上)
开放知识图谱
87+阅读 · 2019年1月9日
论文解读 | 基于递归联合注意力的句子匹配模型
论文浅尝 | 基于多原型mention向量的文本-实体联合学习
论文浅尝 | Distant Supervision for Relation Extraction
开放知识图谱
4+阅读 · 2017年12月25日
Talking-Heads Attention
Arxiv
15+阅读 · 2020年3月5日
Arxiv
20+阅读 · 2019年9月7日
Arxiv
6+阅读 · 2019年8月22日
Conditional BERT Contextual Augmentation
Arxiv
8+阅读 · 2018年12月17日
VIP会员
相关资讯
论文浅尝 | 采用多层注意力机制的事件检测
开放知识图谱
24+阅读 · 2019年8月24日
论文浅尝 | 基于复杂查询图编码的知识库问答
开放知识图谱
17+阅读 · 2019年7月22日
论文浅尝 | 使用循环神经网络的联合事件抽取
开放知识图谱
25+阅读 · 2019年4月28日
综述 | 事件抽取及推理 (上)
开放知识图谱
87+阅读 · 2019年1月9日
论文解读 | 基于递归联合注意力的句子匹配模型
论文浅尝 | 基于多原型mention向量的文本-实体联合学习
论文浅尝 | Distant Supervision for Relation Extraction
开放知识图谱
4+阅读 · 2017年12月25日
Top
微信扫码咨询专知VIP会员