花式Finetune方法大汇总

2022 年 3 月 21 日 极市平台
↑ 点击 蓝字  关注极市平台

作者丨 fareise
来源丨圆圆的算法笔记
编辑丨极市平台

极市导读

 

本文介绍了来自2018年以来ICML、CVPR等顶会的7篇论文,总结了Finetune的四种类型招式,包括Finetune过程使用Pretrain模型做约束、选择性地对Pretrain模型进行迁移、在Finetune阶段调整网络结构以及学习每组参数Transfer的方式4种类型通过更科学的Finetune方式,提升迁移学习效果。 >>加入极市CV技术交流群,走在计算机视觉的最前沿

迁移学习广泛地应用于NLP、CV等各种领域,通过在源域数据上学习知识,再迁移到下游其他目标任务上,提升目标任务上的效果。其中,Pretrain-Finetune(预训练+精调)模式是最为常见的一种迁移学习方法。例如NLP中的预训练Bert模型,通过在下游任务上Finetune即可取得比直接使用下游数据任务从零训练的效果要好得多。

虽然在预训练模型上Finetune能取得非常好的效果,我们经常使用Finetune方法,但是你是否有想过这种Finetune方法有没有什么优化方法?如何Finetune对最终效果好坏有非常大的影响。例如,在Finetune时我们会考虑要迁移预训练网络的哪些层,哪些层需要冻结,哪些层需要随着模型一起Finetune。实际应用时,我们往往需要尝试不同的迁移方法和Finetune策略来达到最优效果。目前学术界也有很多创新性较强的花式Finetune方法研究。本文介绍了来自2018年以来ICML、CVPR等顶会的7篇论文,总结了Finetune的四种类型招式,通过更科学的Finetune方式,提升迁移学习效果。

1. 招式1:使用Pretrain模型做约束

在Finetune阶段,如果我们可用于Finetune的目标任务数据量较少时,很有可能出现过拟合现象,严重影响模型效果;或者在Finetune过程中出现知识遗忘问题(catastrophic memory),把Pretrain阶段学到的有用知识遗忘,丢了西瓜捡了芝麻。为了解决这种问题,学术界提出利用Pretrain模型作为约束,指导Finetune的过程,让Finetune得到的模型更加鲁棒。具体包括:直接使用Pretrain模型的参数作为约束、使用Pretrain模型的中间层表示作为约束、使用Pretrain模型对不同特征注意力强度作为约束。

为了防止模型在Finetune阶段过拟合目标任务数据,或忘记了Pretrain阶段学到的有意义知识,**Explicit inductive bias for transfer learning with convolutional networks(ICML 2018)**这篇文章介绍了一种使用Pretrain模型参数约束Finetune过程的方法:通过添加Pretrain模型参数和Finetune模型参数之间的某种正则化损失,让Finetune后的模型参数和最开始的Pretrain模型参数更加相似。文章中尝试了多种正则化方法,通过最终的实验发现,一个简单的L2正则效果最好,即对于Pretrain模型和Finetune模型的对应层的参数计算L2距离,作为Finetune过程中损失函数的一部分,公式如下(w为Finetune参数,w0位Pretrain参数):

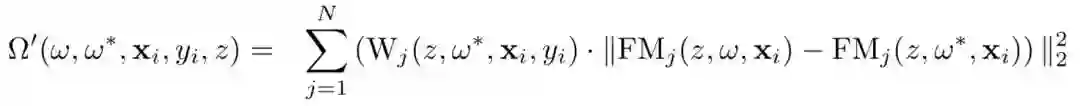
通过L2正则化的方法拉近Pretrain模型和Target模型参数也存在一定问题,如何设定正则化的强度直接决定了迁移效果,正则化太弱仍然会导致过拟合和信息遗忘,迁移强度太强会导致Finetune的模型在Target任务上不是最优解。百度的文章 DELTA: DEEP LEARNING TRANSFER USING FEATURE MAP WITH ATTENTION FOR CONVOLUTIONAL NET- WORKS(ICLR 2019) 提出,通过约束网络的behavior,即feature map,而非模型参数,来实现约束目标。具体的,约束项可以表示为如下形式:

其中,Wj表示第j个卷积层的约束强度,FM表示第i个样本经过参数w提取的feaure map。Wj的计算方法为,使用Pretrain的模型Freeze住底层Feature Extractor参数,Finetune后面Discriminator参数,通过衡量去掉每个channel后效果的损失,的到这个channel的迁移强度。如果去掉Pretrain模型某个channel后效果下降特别明显,说明Pretrain得到的这个channel的信息对Target任务是很有效的,这个时候要增大这种channel参数的迁移强度。

采用Pretrain模型对Finetune模型进行约束需要引入额外的正则化Loss,可以被称为Transfer Loss。由于Transfer Loss和Target Task Loss的优化目标不同,如何平衡两个Loss的关系决定了迁移效果。为了统一这两种Loss,Robust Knowledge Transfer via Hybrid Forward on the Teacher-Student Model(AAAI 2021) 提出了一种混合前向网络。当一个样本输入时,会通过三种不同的路径得到三种Loss,Loss1和Loss2通过交替进入Student网络(Target Task模型)某层和Teachder网络(Pretrain模型)某层,最终再通过Target Task Head得到;Loss3只进入Student网络通过Target Task Head得到。Loss1和Loss2代表了Student网络和Teachder网络Transfer Loss,Loss3代表了Target Task的优化Loss。与之前方法相比,该方法的三个Loss都是以优化Target Task为目标的,因此可以通过直接对比来判断目前的Transfer强度是否太强。文中设计了一种简单的平衡Transfer Loss和Target Loss的方法,让两个任务的Loss同等重要,随着训练过程动态计算Loss1和Loss2的权重。

2. 招式2:选择性地对Pretrain模型迁移

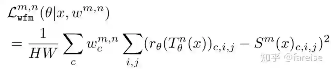
Pretrain模型中的参数不一定都是对下游任务有帮助的,因此一些研究提出,对Pretrain的模型进行有选择性的迁移,重点迁移那些对下游任务帮助大的信息。Learning What and Where to Transfer(ICML 2019) 中提出一种基于meta-learning的迁移学习方法。这篇文章的核心思路建立在FITNETS: HINTS FOR THIN DEEP NETS(ICLR 2015) 一文提出的迁移方法之上,让Target模型通过一个回归任务拟合Pretrain模型中间层的表示,该优化目标可以表示为:

在FitNet中WGuided和WHint分别表示Target模型的Pretrain模型某一对应层的参数。Learning What and Where to Transfer(ICML 2019) 对该方法进行了扩展。在What to transfer阶段,对每一个channel的迁移做一个权重学习,每个channel的权重是通过一个单独的网络输入图片在Source模型的输出计算得到的(T代表Target模型,S代表Source模型,与FitNet中的Guided和Hint相对应):

在Where to transfer阶段,主要决定Source模型到Target模型的迁移层pair,即Source模型的第i层参数要迁移到Target模型的哪一层。类似What to transfer,通过一个单独的网络学习(i,j)这组Source模型到Target模型pair对的迁移强度:

最终的Loss由上面两个阶段的Loss,以及任务本身的Loss共同组成。在训练阶段,文章采用了Meta-learning的方法,内循环阶段更新总体Loss,外循环阶段更新三个Loss的总和。

3. 招式3:在Finetune阶段调整网络结构

之前介绍的迁移学习方法,大多数都是通过Finetune对Pretrain模型的参数进行调整。然而,下游的Target任务可能需要和Source任务采用不同的模型结构来更好的进行学习。因此,TransTailor: Pruning the Pre-trained Model for Improved Transfer Learning(AAAI 2021) 提出了一种在Finetune阶段动态剪枝的方法,实现Finetune阶段不仅能够调整模型参数,还能调整模型网络结构。该方法分为Target-aware Pruning和Importance-aware Finetuning两个阶段。在Target-aware Pruning阶段,对于网络中每一层的每一个filter,都对应一个可学习的权重,把Pretrain模型的参数Freeze住,使用Target任务的数据和优化目标进行训练,得到每组参数最终对应的权重,训练过程可以表示为:

这个重要性权重会使用泰勒变换,融合全局各层的打分结果得到全局的打分,最后将打分较低的网络参数剪枝掉。在Importance-aware Finetuning,会结合第一阶段得到的参数打分进行Finetune,具体的,通过将每组参数的打分结果乘到参数上,的到参数的转换结果进行前向传播。最终两个过程交替进行,直到得到最终模型。

4. 招式4:学习每组参数Transfer的方式

在利用Pretrain模型进行迁移学习时,我们往往需要决定哪些网络的参数要Freeze,哪些网络参数跟随Target任务Finetune。例如,在CV领域,一些研究表明底层网络能够提取出更一般的图像规律,而接近分类层的参数对于不同Task差异很大,因此为了不将Pretrain阶段学到的知识破坏,将底层参数Freeze,只Finetune上层参数,会最大限度保留Pretrain阶段在大量数据学到的知识,提升迁移学习效果。然而,不同任务需要Freeze的参数存在差异,人工调试不同的Transfer方式(哪些层Freeze、哪些层Finetune)效率很低。同时,一般的Finetune假设每个Target样本都应该使用相同的Finetune方式,这也是不合理的。例如,和source domain更相似的样本,从source domain迁移更多知识更有帮助。因此,学术界出现一些相关工作,自动化学习每层以及每个样本的迁移策略。

SpotTune: Transfer Learning through Adaptive Fine-tuning(CVPR 2019) 这篇文章中,提出了对于每个样本学习一个个性化的迁移方式。对于每个样本,经过网络的每层可以选择是使用Pretrain模型的原始参数,还是使用Pretrain模型初始化后Finetune的参数。模型通过一个Policy Network,输入每个样本的特征(一般使用Pretrain模型对样本的表征向量),输出模型每组参数的迁移方式(使用Pretrain模型原始参数,或使用Pretrain模型初始化后Finetune的参数)。这个过程中需要对两种迁移方式进行采样,而采样运算不可导。为了让该运算可导,本文使用了Gumbel-Max Trick生成采样结果。SpotTune的模型结构如下图所示:

SpotTune实现了每个样本个性化的Finetune策略学习,但是只能做到layer维度。AdaFilter: Adaptive Filter Fine-tuning for Deep Transfer Learning(AAAI 2020) 提出了能够在filter维度实现每个样本的Finetune策略学习。与SpotTune类似,Finetune策略仍然为使用Pretrain模型的原始参数,或使用Pretrain模型初始化后Finetune的参数两种。与SpotTune不同的是,AdaFilter使用RNN学习每层各个channel的Finetune策略,每层的Finetune策略选择依赖于上一层输出的表示(SpotTune则是根据样本同时产出所有层的Finetune策略)。

5. 总结

本文介绍了7篇顶会论文中对Finetune阶段进行的改进,包括Finetune过程使用Pretrain模型做约束、选择性地对Pretrain模型进行迁移、在Finetune阶段调整网络结构以及学习每组参数Transfer的方式4种类型。Pretrain-Finetune的核心问题在于,如何考虑到Target Task的样本特性,将Pretrain的知识合理迁移到Target Task的模型上。其中每个样本个性化地进行Finetune策略学习,可能是后续可以继续深入研究的方向。

公众号后台回复“数据集”获取小目标检测数据集下载~

△点击卡片关注极市平台,获取 最新CV干货
极市干货
数据集资源汇总: 10个开源工业检测数据集汇总 21个深度学习开源数据集分类汇总
算法trick 目标检测比赛中的tricks集锦 从39个kaggle竞赛中总结出来的图像分割的Tips和Tricks
技术综述: 一文弄懂各种loss function 工业图像异常检测最新研究总结(2019-2020)


CV技术社群邀请函 #

△长按添加极市小助手
添加极市小助手微信(ID : cvmart4)

备注:姓名-学校/公司-研究方向-城市(如:小极-北大-目标检测-深圳)


即可申请加入极市目标检测/图像分割/工业检测/人脸/医学影像/3D/SLAM/自动驾驶/超分辨率/姿态估计/ReID/GAN/图像增强/OCR/视频理解等技术交流群


每月大咖直播分享、真实项目需求对接、求职内推、算法竞赛、干货资讯汇总、与 10000+来自港科大、北大、清华、中科院、CMU、腾讯、百度等名校名企视觉开发者互动交流~


觉得有用麻烦给个在看啦~   
登录查看更多
1

相关内容

迁移学习(Transfer Learning)是一种机器学习方法,是把一个领域(即源领域)的知识,迁移到另外一个领域(即目标领域),使得目标领域能够取得更好的学习效果。迁移学习(TL)是机器学习(ML)中的一个研究问题,着重于存储在解决一个问题时获得的知识并将其应用于另一个但相关的问题。例如,在学习识别汽车时获得的知识可以在尝试识别卡车时应用。尽管这两个领域之间的正式联系是有限的,但这一领域的研究与心理学文献关于学习转移的悠久历史有关。从实践的角度来看,为学习新任务而重用或转移先前学习的任务中的信息可能会显着提高强化学习代理的样本效率。

知识荟萃

精品入门和进阶教程、论文和代码整理等

更多

查看相关VIP内容、论文、资讯等
专知会员服务
97+阅读 · 2021年5月25日
专知会员服务
44+阅读 · 2021年4月12日
预训练语言模型fine-tuning近期进展概述
专知会员服务
40+阅读 · 2021年4月9日
prompt你到底行不行?
夕小瑶的卖萌屋
6+阅读 · 2022年4月8日
我分析了ACL21论文列表,发现对比学习已经...
夕小瑶的卖萌屋
0+阅读 · 2021年7月26日
站在BERT肩膀上的NLP新秀们:XLMs、MASS和UNILM
PaperWeekly
16+阅读 · 2019年6月6日
PyTorch 学习笔记(五):Finetune和各层定制学习率
国家自然科学基金
3+阅读 · 2015年12月31日
国家自然科学基金
0+阅读 · 2014年12月31日
国家自然科学基金
6+阅读 · 2014年12月31日
国家自然科学基金
1+阅读 · 2013年12月31日
国家自然科学基金
0+阅读 · 2012年12月31日
Vision-and-Language Pretrained Models: A Survey
Arxiv
3+阅读 · 2022年4月15日
VIP会员
相关VIP内容
专知会员服务
97+阅读 · 2021年5月25日
专知会员服务
44+阅读 · 2021年4月12日
预训练语言模型fine-tuning近期进展概述
专知会员服务
40+阅读 · 2021年4月9日
相关资讯
prompt你到底行不行?
夕小瑶的卖萌屋
6+阅读 · 2022年4月8日
我分析了ACL21论文列表,发现对比学习已经...
夕小瑶的卖萌屋
0+阅读 · 2021年7月26日
站在BERT肩膀上的NLP新秀们:XLMs、MASS和UNILM
PaperWeekly
16+阅读 · 2019年6月6日
PyTorch 学习笔记(五):Finetune和各层定制学习率
相关基金
国家自然科学基金
3+阅读 · 2015年12月31日
国家自然科学基金
0+阅读 · 2014年12月31日
国家自然科学基金
6+阅读 · 2014年12月31日
国家自然科学基金
1+阅读 · 2013年12月31日
国家自然科学基金
0+阅读 · 2012年12月31日
Top
微信扫码咨询专知VIP会员