一文道尽softmax loss及其变种

2019 年 2 月 19 日 极市平台

加入极市专业CV交流群,与6000+来自腾讯,华为,百度,北大,清华,中科院等名企名校视觉开发者互动交流!更有机会与李开复老师等大牛群内互动!

同时提供每月大咖直播分享、真实项目需求对接、干货资讯汇总,行业技术交流点击文末“阅读原文”立刻申请入群~


者:龙鹏

来源:https://zhuanlan.zhihu.com/p/34044634


1 softmax loss

softmax loss是我们最熟悉的loss之一,在图像分类和分割任务中都被广泛使用。Softmax loss是由softmax和交叉熵(cross-entropy loss)loss组合而成,所以全称是softmax with cross-entropy loss,在caffe,tensorflow等开源框架的实现中,直接将两者放在一个层中,而不是分开不同层,可以让数值计算更加稳定,因为正指数概率可能会有非常大的值。


这里我们将其数学推导一起回顾一遍。


令z是softmax层的输入,f(z)是softmax的输出,则


单个像素i的softmax loss等于cross-entropy error如下:

展开上式:

在caffe实现中,z即bottom blob,l(y,z)是top blob,反向传播时,就是要根据top blob diff得到bottom blob diff,所以要得到 


下面求loss对z的第k个节点的梯度

可见,传给groundtruth label节点和非groundtruth label节点的梯度是不一样的。


我们看看caffe中Backward的代码。

Dtype* bottom_diff =
bottom[0]->mutable_cpu_diff();
const Dtype* prob_data = prob_.cpu_data();
caffe_copy(prob_.count(), prob_data,
bottom_diff);
const Dtype* label =
bottom[1]->cpu_data();
int dim = prob_.count() / outer_num_;
int count = 0;
for (int i = 0; i < outer_num_; ++i) {
    for (int j = 0; j < inner_num_; ++j) {
        const int label_value =
        static_cast<int>(label[i * inner_num_ + j]);
        if (has_ignore_label_ && label_value == ignore_label_) {
            for (int c = 0; c <bottom[0]->shape(softmax_axis_); ++c) {
             bottom_diff[i * dim + c *inner_num_ + j] = 0;
             }
        }else
        {
           bottom_diff[i * dim + label_value * inner_num_ + j] -= 1;
           ++count;
        }
    }
}


作为loss层,很有必要测试一下,测试分两块,forward和backward,我们看看caffe中的代码。


Test_softmax_with_loss_layer.cpp


Forward测试是这样的,定义了个bottom blob data和bottom blob label,给data塞入高斯分布数据,给label塞入0~4。

blob_bottom_data_(new Blob<Dtype>(10, 5, 2, 3))
blob_bottom_label_(new Blob<Dtype>(10, 1, 2, 3))


然后分别ingore其中的一个label做5次,最后比较,代码如下。

Dtype accum_loss = 0;
for (int label = 0; label < 5; ++label) {
    layer_param.mutable_loss_param()->set_ignore_label(label);
    layer.reset(new SoftmaxWithLossLayer<Dtype>(layer_param));
    layer->SetUp(this->blob_bottom_vec_,this->blob_top_vec_);
    layer->Forward(this->blob_bottom_vec_, this->blob_top_vec_);
    accum_loss += this->blob_top_loss_->cpu_data()[0];
}
// Check that each label was included all but once.
EXPECT_NEAR(4 * full_loss, accum_loss, 1e-4);


至于backwards,直接套用checker.CheckGradientExhaustive就行,它自己会利用数值微分的方法和你写的backwards来比较精度。


TYPED_TEST(SoftmaxWithLossLayerTest,
TestGradientIgnoreLabel) {
    typedef typename TypeParam::Dtype Dtype;
    LayerParameter layer_param;
    //labels are in {0, ..., 4}, so we'll ignore about a fifth of them
    layer_param.mutable_loss_param()->set_ignore_label(0);
    SoftmaxWithLossLayer<Dtype> layer(layer_param);
    GradientChecker<Dtype> checker(1e-2, 1e-2, 1701);
    checker.CheckGradientExhaustive(&layer, this->blob_bottom_vec_,this->blob_top_vec_, 0);
}



原始的softmax loss非常优雅,简洁,被广泛用于分类问题。它的特点就是优化类间的距离非常棒,但是优化类内距离时比较弱。


鉴于此,就有了很多对softmax loss的改进,下面一一道来。


2 weighted softmax loss【1】

假如有一个二分类问题,两类的样本数目差距非常之大。比如图像任务中的边缘检测问题,它可以看作是一个逐像素的分类问题。此时两类的样本数目差距非常之大,明显边缘像素的重要性是比非边缘像素大的,此时可以针对性的对样本进行加权。



wc就是这个权重,像刚才所说,c=0代表边缘像素,c=1代表非边缘像素,则我们可以令w0=1,w1=0.001,即加大边缘像素的权重。


当然,这个权重,我们还可以动态地计算让其自适应。比如每一张图中,按照像素的比例进行加权。


具体的反向公式推导,就跟上面差不多不再赘述,详细的实现我会在git中给出代码。【1】中用了weighted sigmoid_cross_entropy_loss,原理类似。


固定权重的fixed softmax loss和自适应权重的adapted softmax loss大家可以去git中自行查看。


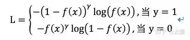
何提出的Focal loss【10】其实就是加权log loss的一个变种,它的定义如下



上面式子对正负样本进行了分开的表达,f(x)就是属于标签1的概率。


focal loss是针对类别不均衡问题提出的,它可以通过减少易分类样本的权重,使得模型在训练时更专注于难分类的样本,其中就是通过调制系数 来实现。


对于类别1的样本,当f(x)越大,则调制项因为此时基于该样本是一个容易样本的假设,所以给予其更小的loss贡献权重。通过 的设置,可以获得自适应地对难易样本进行学习的能力。


3 soft softmax loss【2】

首先我们看下面的式子。


当T=1时,就是softmax的定义,当T>1,就称之为soft softmax,T越大,因为Zk产生的概率差异就会越小。文【2】中提出这个是为了迁移学习,生成软标签,然后将软标签和硬标签同时用于新网络的学习。


为什么要想到这么用,这是因为当训练好一个模型之后,模型为所有的误标签都分配了很小的概率;然而实际上对于不同的错误标签,其被分配的概率仍然可能存在数个量级的悬殊差距。这个差距,在softmax中直接就被忽略了,但这其实是一部分有用的信息。

文章的做法是先利用softmaxloss训练获得一个大模型,然后基于大模型的softmax输出结果获取每一类的概率,将这个概率,作为小模型训练时soft target的label。


4 Large-Margin Softmax Loss【3】



softmax loss擅长于学习类间的信息,因为它采用了类间竞争机制,它只关心对于正确标签预测概率的准确性,忽略了其他非正确标签的差异,导致学习到的特征比较散。文【3】中提出了Large-Margin Softmax Loss,简称为L-Softmax loss。


我们先从一张图来理解下softmax loss,这张图显示的是不同softmax loss和L-Softmax loss学习到的cnn特征分布。第一列就是softmax,第2列是L-Softmax loss在参数m取不同值时的分布。通过可视化特征可知学习到的类间的特征是比较明显的,但是类内比较散。而large-margin softmax loss则类内更加紧凑,怎么做到的呢?


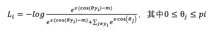
先看一下loss的定义形式如下。



由于是全连接层的输出,所以它可以写成的形式,将内积更具体的表现出来,就是


我们看二分类的情况,对于属于第1类的样本,我们希望 



如果我们对它提出更高的要求呢?由于cos函数在0~PI区间是递减函数,我们将要求改为

其中m>=1,


在这个条件下,原始的softmax条件仍然得到满足。


我们看下图,如果W1=W2,那么满足条件2,显然需要θ1与θ2之间的差距变得更大,原来的softmax的decision boundary只有一个,而现在类别1和类别2的decision boundary不相同,这样类间的距离进一步增加,类内更近紧凑。



更具体的定义如下:



L-Softmax loss中,m是一个控制距离的变量,它越大训练会变得越困难,因为类内不可能无限紧凑。


作者的实现是通过一个LargeMargin全连接层+softmax loss来共同实现,可参考代码。


5 angular softmax loss【4】

在人脸分类任务中,如果在large margin softmax loss的基础上添加了限制条件||W||=1和b=0,使得预测仅取决于W和x之间的角度θ,则得到了angular softmax loss,简称A-softmax loss。



上图分别比较了原softmax loss,原softmax loss添加||w||=1约束,以及在L-softmax loss基础上添加||w||=1约束的结果。


为什么要添加|w|=1的约束呢? 作者做了两方面的解释,一个是softmax loss学习到的特征,本来就依据角度有很强的区分度,另一方面,人脸是一个比较规整的流形,将其特征映射到超平面表面,也可以解释。


6 L2-constrained softmax loss【5】与NormFace【6】

在A-softmax中,对权重进行了归一化的约束,那么,特征是否也可以做归一化的约束呢?作者观测到好的正面的脸,特征的L2-norm大,而特征不明显的脸,其对应的特征L2-norm小,这不利于人脸聚类,因此提出这样的约束来增强特征的区分度。



上面式就是将其归一化到固定值α。实际训练的时候都不需要修改代码,只需要添加L2-norm层与scale层,如下图。


为什么要加这个scale层?NormFace【6】中作出了解释。

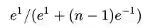
该文章指出了直接归一化权重和特征,会导致loss不能下降。因为就算是极端情况下,多类样本,令正样本|wx|=1取最大值,负样本|wx|=-1取最小值,这时候分类概率也是


当类别数n=10,p=0.45;n=1000,p=0.007。当类别数增加到1000类时,正样本最大的概率还不足0.01,而反向求导的时候,梯度=1-p,会导致一直传回去很大的loss。


所以,有必要在后面加上scale层,作者还计算出了该值的下界,具体可自行参考。特征归一化后,人脸识别计算特征向量的相似度时,不管使用L2距离还是使用cos距离,都是等价的,计算量也相同,所以再也不用纠结到底用L2距离还会用cos距离。权值和特征归一化使得CNN更加集中在优化夹角上,得到的深度人脸特征更加分离。


7 large margin cosine margin【7】

与L-softmax loss和A-softmax loss不同,CosineFace直接在余弦空间中最大化分类界限,定义如下;

cosine loss中,特征和权值都被归一化。关于cosine loss的解释,在于它相比soft Max loss,L-softmax loss等,更加明确地约束了角度,使得特征更加具有可区分度。


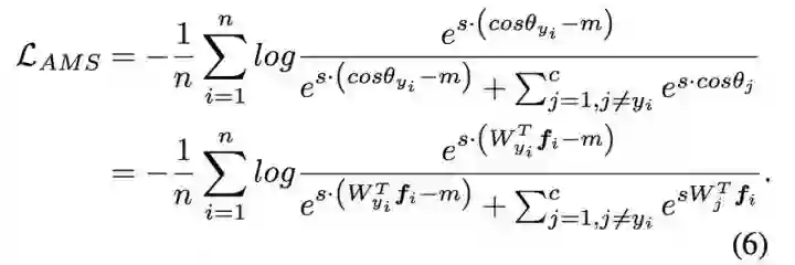
8 additive margin softmax loss【8】和 additive angular margin loss【9】


定义如下



看明白了吧,就是把L-Softmax的乘法改成了减法,同时加上了尺度因子s,简称为AM-softmax loss。作者这样改变之后前向后向传播变得更加简单。其中W和f都是归一化过的,作者在论文中将m设为0.35。


值得注意的是,normalization是收敛到好的点的保证,同时,必须加上scale层,scale的尺度在文中被固定设置为30。


那到底什么时候需要normalization什么时候又不需要呢?这实际上依赖于图片的质量。

我们看一个公式如下


其中α就是向量x的模,它说明模值比较小的,会有更大的梯度反向传播误差系数,这实际上就相当于难样本挖掘了。不过,也要注意那些质量非常差的,模值太小可能会造成梯度爆炸的问题。


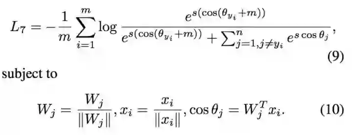
additive angular margin loss【9】则是与AM-softmax loss极其相似的另外一个形式,只是将m的减号换成了加号。

定义如下:


在定义这个loss的时候,作者干脆做了一个表把现有基于softmax loss及其改进的loss的二分类决策边界条件都列了出来。



到此可以说为了改进softmax loss用尽了手段了,至于有没有用,具体效果大家去尝试吧,附上未完整的GitHub链接。先写到这里,后续再充实实验结果和更多原理。

https://github.com/longpeng2008/Caffe_Long


【1】Xie S, Tu Z.Holistically-nested edge detection[C]//Proceedings of the IEEE international conference on computer vision. 2015: 1395-1403.

【2】Hinton G,Vinyals O, Dean J. Distilling the knowledge in a neural network[J]. arXiv
preprint arXiv:1503.02531, 2015.

【3】Liu W, Wen Y,Yu Z, et al. Large-Margin Softmax Loss for Convolutional Neural
Networks[C]//ICML. 2016: 507-516.

【4】Liu W, Wen Y,Yu Z, et al. Sphereface: Deep hypersphere embedding for face
recognition[C]//The IEEE Conference on Computer Vision and Pattern Recognition
(CVPR). 2017, 1.

【5】Ranjan R, Castillo C D, Chellappa R. L2-constrained softmax loss for discriminative face verification[J]. arXiv preprint arXiv:1703.09507, 2017.

【6】Wang F, Xiang X, Cheng J, et al. NormFace: $ L_2 $ Hypersphere Embedding for Face Verification[J]. arXiv preprint arXiv:1704.06369, 2017.

【7】Wang H, Wang Y, Zhou Z, et al. CosFace: Large margin cosine loss for deep face recognition[J]. arXiv preprint arXiv:1801.09414, 2018.

【8】Wang F, Liu W,Liu H, et al. Additive Margin Softmax for Face Verification[J]. arXiv preprint arXiv:1801.05599, 2018.

【9】Deng J, Guo J, Zafeiriou S. ArcFace: Additive Angular Margin Loss for Deep Face
Recognition[J]. arXiv preprint arXiv:1801.07698, 2018.

【10】Lin T Y, Goyal P, Girshick R, et al. Focal loss for dense object detection[J]. IEEE transactions on pattern analysis and machine intelligence, 2018.




*延伸阅读

分享神经网络中设计loss function的一些技巧

CVPR 2018 | Repulsion loss:专注于遮挡情况下的行人检测


每月大咖直播分享、真实项目需求对接、干货资讯汇总,行业技术交流点击左下角“阅读原文”立刻申请入群~


觉得有用麻烦给个好看啦~  

登录查看更多
14

相关内容

TensorFlow Lite指南实战《TensorFlow Lite A primer》,附48页PPT
专知会员服务
70+阅读 · 2020年1月17日
专知会员服务
13+阅读 · 2019年11月23日
GANs最新综述论文: 生成式对抗网络及其变种如何有用
专知会员服务
72+阅读 · 2019年10月19日
一文搞懂反向传播
机器学习与推荐算法
18+阅读 · 2020年3月12日
PyTorch模型训练特征图可视化(TensorboardX)
极市平台
33+阅读 · 2019年6月29日
被忽略的Focal Loss变种
极市平台
29+阅读 · 2019年4月19日
从信息论的角度来理解损失函数
深度学习每日摘要
17+阅读 · 2019年4月7日
基础知识 | 目标检测中Anchor的认识及理解
计算机视觉战队
35+阅读 · 2019年3月5日
从最优化的角度看待 Softmax 损失函数
极市平台
31+阅读 · 2019年2月21日
[机器学习] 用KNN识别MNIST手写字符实战
机器学习和数学
4+阅读 · 2018年5月13日
已删除
将门创投
10+阅读 · 2018年5月2日
一次 PyTorch 的踩坑经历,以及如何避免梯度成为NaN
Equalization Loss for Long-Tailed Object Recognition
Arxiv
5+阅读 · 2020年4月14日
Parsimonious Bayesian deep networks
Arxiv
5+阅读 · 2018年10月17日
Arxiv
4+阅读 · 2018年3月14日
VIP会员
相关资讯
一文搞懂反向传播
机器学习与推荐算法
18+阅读 · 2020年3月12日
PyTorch模型训练特征图可视化(TensorboardX)
极市平台
33+阅读 · 2019年6月29日
被忽略的Focal Loss变种
极市平台
29+阅读 · 2019年4月19日
从信息论的角度来理解损失函数
深度学习每日摘要
17+阅读 · 2019年4月7日
基础知识 | 目标检测中Anchor的认识及理解
计算机视觉战队
35+阅读 · 2019年3月5日
从最优化的角度看待 Softmax 损失函数
极市平台
31+阅读 · 2019年2月21日
[机器学习] 用KNN识别MNIST手写字符实战
机器学习和数学
4+阅读 · 2018年5月13日
已删除
将门创投
10+阅读 · 2018年5月2日
一次 PyTorch 的踩坑经历,以及如何避免梯度成为NaN
Top
微信扫码咨询专知VIP会员