压电驱动金刚石对顶砧加压装置的研制和应用

2019 年 7 月 22 日 中国物理学会期刊网

作者:丁琨 窦秀明 孙宝权  (中国科学院半导体研究所)


摘要 金刚石对顶砧加压装置广泛用于物理、化学、材料等许多科学领域。自Bridgman发明金属对顶砧及随后发展金刚石对顶砧以来,对顶砧装置设计和加压技术得到不断发展。文章介绍采用压电驱动金刚石对顶砧来产生高压,实现低温20 K下原位连续加压,连续加压范围约2—4 GPa。该加压装置具有体积小、操作方便,可装在小型低温恒温器中使用等优点。


关键词 金刚石对顶砧,压电驱动,低温实验

1 引言


科学技术的进步推动高压装置的发展,极大地拓展和深入了高压物理等相关领域的研究。早在上世纪二三十年代,Bridgman 等就开始利用被叫做“Bridgman”的对顶砧和活塞—圆筒装置研究各种材料的高压性质[1,2],可以获得10 GPa 的高压。到1950 年,Lawson 和Tang 开始尝试利用金刚石产生高压来进行材料的高压X射线衍射研究[3]。1959 年Jamieson 等[4]和Weir 等[5,6],1962 年Piermarini 等[7]分别从实验上实现和发展了金刚石对顶砧(DAC)装置。1965 年,Valkenburg 将金属垫片引入到金刚石对顶砧装置中[8]。1973 年,Barnett 等发展了红宝石标定技术[9],使得高压的标定误差减小到0.01 GPa。后来,人们找到了更多的传压介质,利用金刚石对顶砧装置可以获得高达60 GPa的高压。金刚石对顶砧斜角技术的出现更使得金刚石对顶砧装置可产生的最大压强达到500 GPa[10]。这些关键技术的发明使得金刚石对顶砧装置成为高压物理研究必不可少的实验手段。金刚石的带隙为5.47 eV,可以作为理想的光学窗口和荧光光谱、吸收光谱、拉曼光谱等光学测量手段结合起来,研究材料高压条件下的光学性质。另外,金刚石具有很高的热导率,可以方便的开展低温和高温条件下材料的高压物理研究。


在金刚石对顶砧加压装置的发展过程中,通常的加压方法是机械加压,包括拧紧螺丝或采用外部机械装置施加压力到金刚石对顶砧,在高压腔中产生高压[11]。这种加压方式,对于研究室温条件下材料的高压性质是比较方便的,可以实现连续的加压。但是,许多高压物性研究需要在低温条件下进行,比如超导材料的超导特性[11-13]及半导体材料的光学性质等的研究[14,15]。低温实验的操作流程是:室温下通过拧紧螺丝给对顶砧施加一定的压力,然后将对顶砧装置放到低温恒温器中,并降温至目标温度,开始一个压强点的测量;然后再升温至室温,再施加新的压强值,重复前面的操作步骤。这种做法的缺点是:(1)低温实验需要反复降温和升温,大大增加了实验成本和实验周期;(2)低温下压腔内的压强值与室温的加压值没有确定的关系,室温的压强值只是一个参考压强;(3)不能在低温条件下原位连续加压。报道的对金刚石对顶砧低温原位加压的方法主要有两种方式:一种是通过长传送杆和真空馈通件在低温恒温器外对压力装置机械加压[11];另一种是通过外部通入压缩气体至低温恒温器内的气囊,气囊膨胀对压力装置施加压力[11]。这两种加压方式存在加压装置庞大、结构复杂、不易操作等缺点。本文介绍的采用压电驱动金刚石对顶砧来产生高压,是一种低温下原位连续加压装置,在低温20 K 下连续加压范围约2—4 GPa,该加压装置具有成本低、体积小、结构简单、操作方便、可以放置在小型低温恒温器中等优点,其实物照片如图1(a)所示。


图1 (a)压电驱动金刚石对顶砧加压装置放在低温恒温器内的照片;(b)金刚石对顶砧部分与压电陶瓷驱动部分截面示意图


2 实验装置


2.1 加压装置设计


压电陶瓷在外加电压下,长度伸长并产生很大的推力。通过设计的金属套筒将压电陶瓷和金刚石对顶砧紧密地结合到一起,并放置到低温恒温器中,只需对压电陶瓷施加电压,就可以在金刚石对顶砧压腔中产生高压。具体装置示意如图1(b)所示。简单的操作流程包括:首先将样品、红宝石小碎片(用于压强标定)放置到压腔中,传压介质充入压腔中并拧紧加压螺丝,把传压介质封入压腔内,产生一个较小的初始压强(通常为0-1 GPa之间);拧紧金属套筒,将压电陶瓷和金刚石对顶砧紧密的结合到一起;最后,给压电陶瓷加电压,压电陶瓷伸长并产生高达上千牛顿的推力给样品加压。


2.2 压电陶瓷伸长量测量


压电陶瓷的截面越大则推力越大,长度越长则其伸长量越大,从而在金刚石对顶砧压腔内产生较大的压强。但是考虑到低温实验中,低温恒温器的冷头空间有限,难以放置长度过长的压电陶瓷,因此需要综合考虑选择合适长度和推力的压电陶瓷。实验中选择Piezomechanik 公司的Pst150/10×10 型压电陶瓷(其他产品也可以,主要看推力和伸长量),其长度为36 mm,可以产生高达8×103 N的推力。分别测量了室温、低温6 K 和80 K下压电陶瓷的伸长量,如图2 所示。在室温下,压电陶瓷的伸长量随电压线性增加,在电压增加至120 V时(室温额定电压,低温下可以加到200-300V,但电压过高容易损坏压电陶瓷),压电陶瓷的伸长量达到40 μm。当减小电压时,压电陶瓷缩回至初始位置。在低温环境下,压电陶瓷的伸长量与室温相比会明显减小,外加120 V电压,80 K和6 K下,其伸长量分别减小到26 μm和15 μm。并且,伸长量随电压的增加不再是线性关系。工作温度越低,压电陶瓷的伸长量越小,金刚石对顶砧装置施加的最大压力也就越小。此外,在低温工作环境下,还发现压电陶瓷的一种特殊的现象:在低温环境下,当接通电源(电压为0 V)时,压电陶瓷就会有一个伸长量。如果在降温过程中,一直保持压电陶瓷的正负极接通,则不会出现这种现象。


图2 压电陶瓷的伸长量与温度和电压的关系


2.3 压腔中压强与压电陶瓷电压的关系


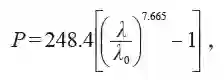
金刚石对顶砧装置在压腔内产生的压强值常用红宝石(ruby)的R1峰来标定。图3(a)为红宝石在低温20 K下的荧光光谱,随着压强的增大,R1峰会发生红移,在小于30 GPa的范围内,压腔内压强值可以用下面的公式来计算[16]

其中,λ、λ0分别为同一温度下压强为P 和零压下红宝石R1 峰的波长,压强的单位为GPa。图3(b)显示随着压电陶瓷电压从0 V增加到290 V,压腔中的压强从0.49 GPa增加到4.41 GPa,其中0 V时的初始压强为0.49 GPa,是室温下拧紧加压螺丝和降温过程中金属套筒的冷缩共同实现的。在低温压力实验中,通过控制压电陶瓷电压来控制压腔内的压强,调谐压腔接近4 GPa。可以看出,压强随着压电陶瓷电压的增加而按指数函数增加,因此选择伸长量大的压电陶瓷可以获得更大的压强调谐范围。同时,压腔内的压强可以写成P=a+b×exp(c×V)函数形式,这里a、b、c 为拟合常数,V,P分别为施加的电压和对应的压强。因此,实验中只需要几个压强标定点就可以得到按指数分布的压强与电压的函数关系。这在有些特殊的低温实验中非常实用,如在连续加压的过程中激光光斑不能移开样品,跟踪测量样品的光谱和记录施加的电压,根据压强与电压的函数关系就可以计算实际的压强值。或者实验中设计两束非共线的激发光束,分别激发样品和红宝石,同时实现原位调节压强和压强标定。


图3 (a)低温20 K红宝石荧光光谱;(b)标定的压强值和红宝石R1峰波长随压电陶瓷电压的变化;(c)标定的红宝石荧光峰强度R2/R1比值随温度的变化;(d)压电驱动金刚石对顶砧装置压腔中红宝石荧光峰强度R2/R1比值随腔内压强的变化,给出压腔内温度


2.4 压腔内温度的标定


在低温压力实验中,低温恒温器底盘的温度为6.5 K,但是这个温度并不是压腔中的温度,压腔中的温度可以通过测量红宝石两个荧光峰强度比值R2/R1得到,图3(c)为标定的R2/R1比值随温度的变化关系。则测量R2/R1比值随压腔中压强(外加电压)的变化,得到图3(d)所示压强从0.49 GPa到4.41 GPa 调谐范围内压腔内的温度保持在18-20 K之间,说明压电驱动金刚石对顶砧装置在低温环境下的温度稳定在小于2 K范围之内。


3 加压装置低温测量的应用


我们利用这套压电驱动金刚石对顶砧加压装置测量了单量子点发光峰的移动,不同类型量子点的压力行为以及单原子层中单个杂质态的压力光谱等一系列需要低温原位光谱测量技术的实验。


3.1 原位调谐InAs/GaAs 单量子点单光子发射光谱


半导体单量子点由于具有发射速率高、与半导体工艺结合等优点被人们认为是最有前途的单光子源。为了和单原子、金刚石NV色心等其他单光子源进行量子存储、量子干涉实验研究,需要调谐单量子点单光子源的发射波长。通常的波长调谐手段包括温度调节、电场调节、磁场调节、单轴和双轴应力调节,调谐范围在20 nm左右。


静水压力手段已广泛用于半导体材料的能带结构、量子阱以及系综量子点等发光光谱的研究。而跟踪单量子点的激子发光峰压力响应需要在低温下原位连续加压,量子点荧光压力光谱如图4 所示[17]。图中给出单量子点单激子(X)、双激子(XX)和荷电激子(X+)的压力光谱。可以看出,3种激子随流体静压的增加移动的速率是不一样的,单激子的移动速率明显大于双激子和荷电激子的速率,体现双激子束缚能的变化。实现了低温原位调谐量子点波长移动达到约150 nm,并且单光子发射强度和单光子纯度基本保持不变。


图4 单激子、双激子和荷电激子的压力光谱


3.2 GaAs/AlGaAs纳米线上两类量子点的压力光谱


在GaAs/AlGaAs核壳结构纳米线中,GaAs量子点嵌入到纳米线壳层结构中。测量发现单根纳米线中分布较多的GaAs 量子点,如图5所示[18]。为了研究量子点的压力光谱,必须采用低温原位加压调谐光谱测量方法。发现一类量子点具有闪锌矿结构量子点,属于直接带隙Г谷间光学跃迁,寿命基本在1 ns之内,压力系数75-100 meV/GPa,单光子发射率达到1 MHz。另一类量子点为纤锌矿结构量子点,具有体GaAs 类L谷特性,对应较长的寿命(>4 ns),压力系数25—53 meV/GPa,单光子发射强度0.03 MHz。因此,低温连续加压技术有利于开展低温原位弱信号及复杂光谱的测量与分析。


图5 低温常压下GaAs/AlGaAs纳米线量子点光谱


3.3 单层WSe2中单光子发射


自从2015 年在单原子层WSe2中发现单光子发射以来,认为单光子发射来源于杂质态(类量子点)。杂质态与带边激子(X0,X-)和局域激子(L1,L2)的关系还不清楚。采用低温连续加压装置,得到X0、X-、L1和L2激子的压力光谱,如图(6)所示[19]。由发光峰的压力行为可以指认,X0 和X-为带边激子,L1 和L2 为随带边移动的浅杂质。在较大的压力下产生许多具有单光子特性的杂质峰,它们来源于深中心杂质。图中显示两次压电陶瓷(PZT)连续加压过程:第一次PZT施加压强0.88-2.07 GPa(PZT 电压0-200 V);第二次PZT施加压强2.92-4.21 GPa(PZT电压0-200 V)。


图6 单层WSe2荧光光谱发光峰能量和强度随压强的变化

4 结论


本文详细介绍了压电驱动金刚石对顶砧加压装置及其在单量子点的低温压力光谱测量中的应用。该装置低温连续加压范围约2-4 GPa(依赖于PZT的驱动电压),基本可以满足单量子点激子能量调谐及能带结构压力光谱等方面的研究。若需要更大的加压范围,可以采取以下两种方案:(1)采用低温环境下伸长量更大的压电陶瓷,这种方案受到低温恒温器样品空间大小的限制;(2)提高压电陶瓷的工作温度。


此外,压电驱动金刚石对顶砧低温实验中还有两点需要注意:(1)低温下压腔中初始压强值(电压为0 V时)的调整。先在室温下拧紧加压螺丝在压腔中产生一个初始压强,然后将该装置放置到低温恒温器中。随着温度的降低,金属套筒和压电陶瓷都收缩,但是金属套筒收缩量更大,这样会使压电陶瓷和金刚石对顶砧的结合更加紧密,从而有利于通过对压电陶瓷进一步施加电压产生高压。但是,若在室温下就将压电陶瓷和金刚石对顶砧紧压在一起,在降温过程就会对金刚石对顶砧加压,导致低温下的初始压强会比室温下拧紧加压螺丝施加的初始压强大的多。因此,要根据实验的需求和经验,合理调整室温下压电陶瓷与金刚石对顶砧装置之间的距离;(2)压电陶瓷对金刚石对顶砧施加压力过程存在时间滞后现象,也就是说,给压电陶瓷施加一个电压后,压腔内压强是渐渐增加并稳定在一个压强值。总之,金刚石对顶砧原位加压方法虽然在实验中得到一定的应用,但一些技术细节还需要进一步的完善。


参考文献

[1] Bridgman PW. Proc. Am. Acad. Arts Sci.,1935,70:285

[2] Bridgman PW. Proc. Am. Acad. Arts Sci.,1938,72:200

[3] Lawson AW,Tang T Y. Rev. Sci. Instrum.,1950,21:815

[4] Jamieson J C,Lawson A W,Nachtrieb N D. Rev. Sci. Instrum.,1959,30:1016

[5] Weir C E,Lippincott E R,van Valkenburg A et al. J. Res. Natl. Bur. Stand. A,1959,63:55

[6] Weir C E,Block S,Piermarini G J. J. Res. Natl. Bur. Stand. C,1965,69:275

[7] Piermarini G J,Weir C E. J. Res. Natl. Bur. Stand.A,1962,66:325

[8]WanWalkenburg A. Diamond Research,1964,17

[9] Barnett J D,Block S,Piermarini G J. Rev. Sci. Instrum.,1973,44:1

[10] Moss W C,Hallquist J O,Reichlin R et al. Appl. Phys. Lett.,1986,48:1258

[11] Erements M. High Pressure Experimental Methods. Oxford:Oxford University press,1996,p205

[12]Wu B Q,WangWK,Jin C Q et al. Acta Phys. Sin.,1992,41:1993

[13] Wu W,Cheng J G,Matsubayashi K et al. Nature Comm.,2014,5:5508

[14] Ma B S,Wang X D,Su F H et al. J. Appl. Phys.,2004,95:933

[15] Suski T,Paul W. High Pressure in Semiconductor Physics I. Pittsburgh:Academic Press,1998,p248

[16] Mao H K,Bell P M. Science,1978,200:1145

[17] Wu X F,Dou X M,Ding K et al. Appl. Phys. Lett.,2013,103:252108

[18] Yang S,Ding K,Dou X M et al. Phys. Rev. B,2015,92:165315

[19] Ye Y,Dou X,Ding K et al. 2016,arXiv:1612. 06438


本文选自《物理》2019年第7期



往期精彩回顾

1.基于对称性指标预测拓扑材料(下)

2.人工光学微结构研究进展

3.微纳尺度腔量子电动力学

4.能谷光子晶体与拓扑光传输

5.传染性疾病遇上纳米生物传感器

6.玻恩如何帮助学生——以对杨立铭的关照为例

7.量子十问之九:量子传感刷新测量技术极限 | 郭光灿

8.天行见物理之六:清漏声长

9.如何理解数学?从纠正对数学的偏见开始——得数学者得天下

10.第五届凝聚态物理会议成功举办


登录查看更多
0

相关内容

中国科学院半导体研究所于1960年成立,是中国国务院直属事业单位,是集半导体物理、材料、器件及其应用于一体的半导体科学技术的综合性研究机构。研究所主要的研究方向和领域有半导体物理、材料、器件、工艺、电路及其集成应用研究等。官方网站:http://www.semi.ac.cn/
基于视觉的三维重建关键技术研究综述
专知会员服务
166+阅读 · 2020年5月1日
【天津大学】风格线条画生成技术综述
专知会员服务
35+阅读 · 2020年4月26日
新时期我国信息技术产业的发展
专知会员服务
71+阅读 · 2020年1月18日
2019中国硬科技发展白皮书 193页
专知会员服务
86+阅读 · 2019年12月13日
自动驾驶车辆定位技术概述|厚势汽车
厚势
10+阅读 · 2019年5月16日
【工业智能】风机齿轮箱故障诊断 — 基于振动信号
【智能制造】智能制造技术与数字化工厂应用!
产业智能官
13+阅读 · 2018年2月21日
【无人机】无人机的自主与智能控制
产业智能官
53+阅读 · 2017年11月27日
Arxiv
8+阅读 · 2018年11月27日
Arxiv
8+阅读 · 2018年4月8日
VIP会员
相关VIP内容
基于视觉的三维重建关键技术研究综述
专知会员服务
166+阅读 · 2020年5月1日
【天津大学】风格线条画生成技术综述
专知会员服务
35+阅读 · 2020年4月26日
新时期我国信息技术产业的发展
专知会员服务
71+阅读 · 2020年1月18日
2019中国硬科技发展白皮书 193页
专知会员服务
86+阅读 · 2019年12月13日
相关资讯
自动驾驶车辆定位技术概述|厚势汽车
厚势
10+阅读 · 2019年5月16日
【工业智能】风机齿轮箱故障诊断 — 基于振动信号
【智能制造】智能制造技术与数字化工厂应用!
产业智能官
13+阅读 · 2018年2月21日
【无人机】无人机的自主与智能控制
产业智能官
53+阅读 · 2017年11月27日
Top
微信扫码咨询专知VIP会员