【代码分享】系列之朴素贝叶斯(github clone)

2018 年 3 月 24 日 机器学习算法与Python学习

前言

朴素贝叶斯是一种使用概率论来分类的算法。其中朴素各特征条件独立贝叶斯根据贝叶斯定理。

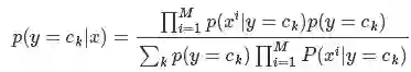
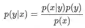
根据贝叶斯定理,对一个分类问题,给定样本特征x,样本属于类别y的概率是:

 

在这里,x 是一个特征向量,设 x 维度为 M。因为朴素的假设,即特征条件独立,根据全概率公式展开,上式可以表达为:

这里,只要分别估计出,特征 Χi 在每一类的条件概率就可以了。类别 y 的先验概率可以通过训练集算出,同样通过训练集上的统计,可以得出对应每一类上的,条件独立的特征对应的条件概率向量。 

内容整理自《机器学习实战》

优点:在数据较少的情况下仍然有效,可以处理多类别问题。

缺点:对于输入数据的准备方式较为敏感。

适用数据类型:标称型数据。


选自:https://www.cnblogs.com/hemiy/p/6194710.html


详细的原理请看之前的文章:

更多文章点击站内搜索链接:

http://urlort.cn/4yybf9



以垃圾邮件分类为例,要从文本中获取特征,需要先拆分文本。可以把词条想象为单词,也可以使用非单词词条,如URL、IP地址或者任意其他字符串。然后将每一个文本片段表示为一个词条向量,其中值为1表示词条出现在文档中,0表示词条未出现。 


点击阅读原文即可下载代码

源码链接:https://github.com/Wellat/MLaction/blob/master/Ch04_NaiveBayes/bayes.py

代码逻辑:

  1. 准备数据:从文本中构建词向量;

  2. 训练算法:从词向量计算概率,计算每个类别的条件概率,伪代码:

3. 进行测试

# -*-coding:utf-8 -*-
'''

'''
from numpy import *

def loadDataSet():
   '''
   postingList: 进行词条切分后的文档集合
   classVec:类别标签    
   '''
   postingList=[['my', 'dog', 'has', 'flea', 'problems', 'help', 'please'],
                ['maybe', 'not', 'take', 'him', 'to', 'dog', 'park', 'stupid'],
                ['my', 'dalmation', 'is', 'so', 'cute', 'I', 'love', 'him'],
                ['stop', 'posting', 'stupid', 'worthless', 'garbage'],
                ['mr', 'licks', 'ate', 'my', 'steak', 'how', 'to', 'stop', 'him'],
                ['quit', 'buying', 'worthless', 'dog', 'food', 'stupid']]
   classVec = [0,1,0,1,0,1]    #1代表侮辱性文字,0代表正常言论
   return postingList,classVec

def createVocabList(dataSet):
   vocabSet = set([])#使用set创建不重复词表库
   for document in dataSet:
       vocabSet = vocabSet | set(document) #创建两个集合的并集
   return list(vocabSet)

def setOfWords2Vec(vocabList, inputSet):
   returnVec = [0]*len(vocabList)#创建一个所包含元素都为0的向量
   #遍历文档中的所有单词,如果出现了词汇表中的单词,则将输出的文档向量中的对应值设为1
   for word in inputSet:
       if word in vocabList:
           returnVec[vocabList.index(word)] = 1
       else: print("the word: %s is not in my Vocabulary!" % word)
   return returnVec
'''
我们将每个词的出现与否作为一个特征,这可以被描述为词集模型(set-of-words model)。
如果一个词在文档中出现不止一次,这可能意味着包含该词是否出现在文档中所不能表达的某种信息,
这种方法被称为词袋模型(bag-of-words model)。
在词袋中,每个单词可以出现多次,而在词集中,每个词只能出现一次。
为适应词袋模型,需要对函数setOfWords2Vec稍加修改,修改后的函数称为bagOfWords2VecMN
'''
def bagOfWords2VecMN(vocabList, inputSet):
   returnVec = [0]*len(vocabList)
   for word in inputSet:
       if word in vocabList:
           returnVec[vocabList.index(word)] += 1
   return returnVec

def trainNB0(trainMatrix,trainCategory):
   '''
   朴素贝叶斯分类器训练函数(此处仅处理两类分类问题)
   trainMatrix:文档矩阵
   trainCategory:每篇文档类别标签
   '''
   numTrainDocs = len(trainMatrix)
   numWords = len(trainMatrix[0])
   pAbusive = sum(trainCategory)/float(numTrainDocs)
   #初始化所有词出现数为1,并将分母初始化为2,避免某一个概率值为0
   p0Num = ones(numWords); p1Num = ones(numWords)#
   p0Denom = 2.0; p1Denom = 2.0 #
   for i in range(numTrainDocs):
       if trainCategory[i] == 1:
           p1Num += trainMatrix[i]
           p1Denom += sum(trainMatrix[i])
       else:
           p0Num += trainMatrix[i]
           p0Denom += sum(trainMatrix[i])
   #将结果取自然对数,避免下溢出,即太多很小的数相乘造成的影响
   p1Vect = log(p1Num/p1Denom) #change to log()
   p0Vect = log(p0Num/p0Denom) #change to log()
   return p0Vect,p1Vect,pAbusive

def classifyNB(vec2Classify, p0Vec, p1Vec, pClass1):
   '''
   分类函数
   vec2Classify:要分类的向量
   p0Vec, p1Vec, pClass1:分别对应trainNB0计算得到的3个概率
   '''
   p1 = sum(vec2Classify * p1Vec) + log(pClass1)
   p0 = sum(vec2Classify * p0Vec) + log(1.0 - pClass1)
   if p1 > p0:
       return 1
   else:
       return 0

def testingNB():
   listOPosts,listClasses = loadDataSet()
   myVocabList = createVocabList(listOPosts)
   trainMat=[]
   for postinDoc in listOPosts:
       trainMat.append(setOfWords2Vec(myVocabList, postinDoc))
   #训练模型,注意此处使用array
   p0V,p1V,pAb = trainNB0(array(trainMat),array(listClasses))
   testEntry = ['love', 'my', 'dalmation']
   thisDoc = array(setOfWords2Vec(myVocabList, testEntry))
   print(testEntry,'classified as: ',classifyNB(thisDoc,p0V,p1V,pAb))
   testEntry = ['stupid', 'garbage']
   thisDoc = array(setOfWords2Vec(myVocabList, testEntry))
   print(testEntry,'classified as: ',classifyNB(thisDoc,p0V,p1V,pAb))

def textParse(bigString):#
   '''
   文本切分
   输入文本字符串,输出词表
   '''
   import re
   listOfTokens = re.split(r'\W*', bigString)
   return [tok.lower() for tok in listOfTokens if len(tok) > 2]
   
def spamTest():
   '''
   垃圾邮件测试函数
   '''
   docList=[]; classList = []; fullText =[]
   for i in range(1,26):
       #读取垃圾邮件
       wordList = textParse(open('email/spam/%d.txt' % i,'r',encoding= 'utf-8').read())
       docList.append(wordList)
       fullText.extend(wordList)
       #设置垃圾邮件类标签为1
       classList.append(1)        
       wordList = textParse(open('email/ham/%d.txt' % i,'r',encoding= 'utf-8').read())
       docList.append(wordList)
       fullText.extend(wordList)
       classList.append(0)
   vocabList = createVocabList(docList)#生成次表库
   trainingSet = list(range(50))
   testSet=[]           #
   #随机选10组做测试集
   for i in range(10):
       randIndex = int(random.uniform(0,len(trainingSet)))
       testSet.append(trainingSet[randIndex])
       del(trainingSet[randIndex])  
   trainMat=[]; trainClasses = []
   for docIndex in trainingSet:#生成训练矩阵及标签
       trainMat.append(bagOfWords2VecMN(vocabList, docList[docIndex]))
       trainClasses.append(classList[docIndex])
   p0V,p1V,pSpam = trainNB0(array(trainMat),array(trainClasses))
   errorCount = 0
   #测试并计算错误率
   for docIndex in testSet:
       wordVector = bagOfWords2VecMN(vocabList, docList[docIndex])
       if classifyNB(array(wordVector),p0V,p1V,pSpam) != classList[docIndex]:
           errorCount += 1
           print("classification error",docList[docIndex])
   print('the error rate is: ',float(errorCount)/len(testSet))
   #return vocabList,fullText

def calcMostFreq(vocabList,fullText):
   '''
   返回前30个高频词
   '''
   import operator
   freqDict = {}
   for token in vocabList:
       freqDict[token]=fullText.count(token)
   sortedFreq = sorted(freqDict.items(), key=operator.itemgetter(1), reverse=True)
   return sortedFreq[:30]
'''
函数localWords()与程序清单中的spamTest()函数几乎相同,区别在于这里访问的是
RSS源而不是文件。然后调用函数calcMostFreq()来获得排序最高的30个单词并随后将它们移除
'''
def localWords(feed1,feed0):
   import feedparser
   docList=[]; classList = []; fullText =[]
   minLen = min(len(feed1['entries']),len(feed0['entries']))
   for i in range(minLen):
       wordList = textParse(feed1['entries'][i]['summary'])
       docList.append(wordList)
       fullText.extend(wordList)
       classList.append(1) #NY is class 1
       wordList = textParse(feed0['entries'][i]['summary'])
       docList.append(wordList)
       fullText.extend(wordList)
       classList.append(0)
   vocabList = createVocabList(docList)#create vocabulary
   top30Words = calcMostFreq(vocabList,fullText)   #remove top 30 words
   for pairW in top30Words:
       if pairW[0] in vocabList: vocabList.remove(pairW[0])
   trainingSet = list(range(2*minLen)); testSet=[]           #create test set
   for i in range(10):
       randIndex = int(random.uniform(0,len(trainingSet)))
       testSet.append(trainingSet[randIndex])
       del(trainingSet[randIndex])  
   trainMat=[]; trainClasses = []
   for docIndex in trainingSet:#train the classifier (get probs) trainNB0
       trainMat.append(bagOfWords2VecMN(vocabList, docList[docIndex]))
       trainClasses.append(classList[docIndex])
   p0V,p1V,pSpam = trainNB0(array(trainMat),array(trainClasses))
   errorCount = 0
   for docIndex in testSet:        #classify the remaining items
       wordVector = bagOfWords2VecMN(vocabList, docList[docIndex])
       if classifyNB(array(wordVector),p0V,p1V,pSpam) != classList[docIndex]:
           errorCount += 1
   print('the error rate is: ',float(errorCount)/len(testSet))
   return vocabList,p0V,p1V

def getTopWords(ny,sf):
   import operator
   vocabList,p0V,p1V=localWords(ny,sf)
   topNY=[]; topSF=[]
   for i in range(len(p0V)):
       if p0V[i] > -6.0 : topSF.append((vocabList[i],p0V[i]))
       if p1V[i] > -6.0 : topNY.append((vocabList[i],p1V[i]))
   sortedSF = sorted(topSF, key=lambda pair: pair[1], reverse=True)
   print("SF**SF**SF**SF**SF**SF**SF**SF**SF**SF**SF**SF**SF**SF**SF**SF**")
   for item in sortedSF:
       print(item[0])
   sortedNY = sorted(topNY, key=lambda pair: pair[1], reverse=True)
   print("NY**NY**NY**NY**NY**NY**NY**NY**NY**NY**NY**NY**NY**NY**NY**NY**")
   for item in sortedNY:
       print(item[0])

if __name__== "__main__":  
   testingNB()
   #导入RSS数据源
#    import operator
#    ny=feedparser.parse('http://newyork.craigslist.org/stp/index.rss')
#    sf=feedparser.parse('http://sfbay.craigslist.org/stp/index.rss')
#    localWords(ny,sf)    
   
    




近期热文

机器学习汇总,珍藏版!

10个Python面试常问的问题

大福利!Google机器学习零基础在线课程发布,免费!有中文版!

长文 | LSTM和循环神经网络基础教程(PDF下载)


广告、商业合作

请添加微信:guodongwe1991

(备注:商务合作)


登录查看更多
6

相关内容

朴素贝叶斯法是基于贝叶斯定理与特征条件独立假设的分类方法。对于给定的训练数据集,首先基于“特征条件独立”的假设学习输入/输出的联合概率分布。然后基于此模型,对给定输入x,利用贝叶斯定理求后验概率最大的y。 朴素贝叶斯实现简单,学习与预测的效率都很高,是一种常用的方法。
【实用书】学习用Python编写代码进行数据分析,103页pdf
专知会员服务
198+阅读 · 2020年6月29日
【实用书】Python机器学习Scikit-Learn应用指南,247页pdf
专知会员服务
270+阅读 · 2020年6月10日
最新《自动微分手册》77页pdf
专知会员服务
103+阅读 · 2020年6月6日
专知会员服务
142+阅读 · 2020年5月19日
Transformer文本分类代码
专知会员服务
118+阅读 · 2020年2月3日
一网打尽!100+深度学习模型TensorFlow与Pytorch代码实现集合
NLP基础任务:文本分类近年发展汇总,68页超详细解析
专知会员服务
58+阅读 · 2020年1月3日
《动手学深度学习》(Dive into Deep Learning)PyTorch实现
专知会员服务
121+阅读 · 2019年12月31日
计算机视觉最佳实践、代码示例和相关文档
专知会员服务
20+阅读 · 2019年10月9日
《机器学习实战》代码(基于Python3)
专知
33+阅读 · 2019年10月14日
盘一盘 Python 系列 8 - Sklearn
平均机器
5+阅读 · 2019年5月30日
手把手教你用Python库Keras做预测(附代码)
数据派THU
14+阅读 · 2018年5月30日
教程 | 用Scikit-Learn实现多类别文本分类
七月在线实验室
7+阅读 · 2018年5月14日
【源码分享】机器学习之Python支持向量机
机器学习算法与Python学习
3+阅读 · 2018年3月13日
代码分享系列(1)之感知机【代码可下载】
机器学习算法与Python学习
4+阅读 · 2018年2月10日
动手写机器学习算法:SVM支持向量机(附代码)
七月在线实验室
12+阅读 · 2017年12月5日
资源 |​ 史上最全机器学习笔记
AI100
9+阅读 · 2017年11月21日
BAT题库 | 机器学习面试1000题系列(第191~195题)
七月在线实验室
6+阅读 · 2017年11月15日
文本分类实战: 机器学习vs深度学习算法对比(附代码)
机器学习研究会
35+阅读 · 2017年10月25日
Arxiv
15+阅读 · 2019年6月25日
Learning to Importance Sample in Primary Sample Space
Arxiv
3+阅读 · 2018年2月24日
Arxiv
3+阅读 · 2017年12月18日
VIP会员
相关VIP内容
【实用书】学习用Python编写代码进行数据分析,103页pdf
专知会员服务
198+阅读 · 2020年6月29日
【实用书】Python机器学习Scikit-Learn应用指南,247页pdf
专知会员服务
270+阅读 · 2020年6月10日
最新《自动微分手册》77页pdf
专知会员服务
103+阅读 · 2020年6月6日
专知会员服务
142+阅读 · 2020年5月19日
Transformer文本分类代码
专知会员服务
118+阅读 · 2020年2月3日
一网打尽!100+深度学习模型TensorFlow与Pytorch代码实现集合
NLP基础任务:文本分类近年发展汇总,68页超详细解析
专知会员服务
58+阅读 · 2020年1月3日
《动手学深度学习》(Dive into Deep Learning)PyTorch实现
专知会员服务
121+阅读 · 2019年12月31日
计算机视觉最佳实践、代码示例和相关文档
专知会员服务
20+阅读 · 2019年10月9日
相关资讯
《机器学习实战》代码(基于Python3)
专知
33+阅读 · 2019年10月14日
盘一盘 Python 系列 8 - Sklearn
平均机器
5+阅读 · 2019年5月30日
手把手教你用Python库Keras做预测(附代码)
数据派THU
14+阅读 · 2018年5月30日
教程 | 用Scikit-Learn实现多类别文本分类
七月在线实验室
7+阅读 · 2018年5月14日
【源码分享】机器学习之Python支持向量机
机器学习算法与Python学习
3+阅读 · 2018年3月13日
代码分享系列(1)之感知机【代码可下载】
机器学习算法与Python学习
4+阅读 · 2018年2月10日
动手写机器学习算法:SVM支持向量机(附代码)
七月在线实验室
12+阅读 · 2017年12月5日
资源 |​ 史上最全机器学习笔记
AI100
9+阅读 · 2017年11月21日
BAT题库 | 机器学习面试1000题系列(第191~195题)
七月在线实验室
6+阅读 · 2017年11月15日
文本分类实战: 机器学习vs深度学习算法对比(附代码)
机器学习研究会
35+阅读 · 2017年10月25日
Top
微信扫码咨询专知VIP会员