数学建模10:欧式与离散几何的桥梁——皮克定理及其应用

2019 年 4 月 29 日 遇见数学

本讲导读

       在信息时代,图像和信息均以数位方式给出,这与连续情形下的传统欧式几何有明显的不同,也为分析带来了障碍。本讲讨论传统欧式几何与近代数位几何之间起到联系作用的皮克定理及其应用。

       本讲适合在讲授或学习完高中数学的数列章节、函数章节、平面解析几何章节、定积分章节后,作为数学建模材料,在日常教学中讲授或学习,本讲内容包括但不限于:

  1. 皮克定理及其证明;(配图)

  2. 应用1:估算北京市五环内的面积以及数据直径;(配图)

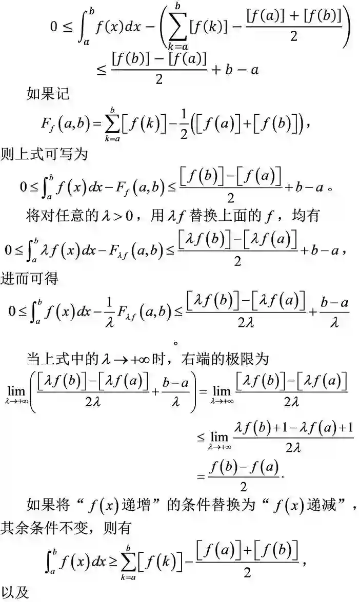
  3. 应用2:积分的离散估计定理。(配图)



延申阅读材料:

[1] R.C. Churchill , Liouville’s Theorem onIntegration in Terms of Elementary Functions, Kolchin Seminar on DifferentialAlgebra, 2006.
在线阅读及下载地址:
http://www.sci.ccny.cuny.edu/~ksda/PostedPapers/liouv06.pdf


日常生活中的数学建模系列文章:

» 日常生活 01: 日常生活中的等差数列和等比数列

» 日常生活 02: 二次和三次函数样条、数据的插值

» 日常生活 03: 指数函数与对数函数的普适价值

» 日常生活 04: 三角函数与极小曲面

» 日常生活 05: 概率的加法与乘法原理、加权平均的递推

» 日常生活 06: 解析几何与带标签数据的模糊线性分类

» 日常生活 07: 进制观点下的分类、距离与解析

» 日常生活 08: 迭代预测的测不准原理与熵距

» 日常生活 09: 数据直径、荣格定理及凸集

登录查看更多
3

相关内容

数学建模,就是使用数学方法解决实际应用问题。 数学建模是应用学科的核心内容,任何一门科学都是在数学的框架下表达自己解决问题的思想和方法,并和别的专业或者方向分享这些思想和方法。任何一门学科,只有当其使用数学时,才是好的精确的学科。
【经典书】机器学习:贝叶斯和优化方法,1075页pdf
专知会员服务
415+阅读 · 2020年6月8日
【电子书】让 PM 全面理解深度学习 65页PDF免费下载
专知会员服务
18+阅读 · 2019年10月30日
数学建模20:直方图均衡化与图片去霾
遇见数学
4+阅读 · 2019年10月18日
误差反向传播——RNN
统计学习与视觉计算组
18+阅读 · 2018年9月6日
已删除
将门创投
10+阅读 · 2018年5月2日
傅里叶变换和拉普拉斯变换的物理解释及区别
算法与数学之美
11+阅读 · 2018年2月5日
Efficiently Embedding Dynamic Knowledge Graphs
Arxiv
14+阅读 · 2019年10月15日
Arxiv
4+阅读 · 2018年3月14日
VIP会员
相关资讯
数学建模20:直方图均衡化与图片去霾
遇见数学
4+阅读 · 2019年10月18日
误差反向传播——RNN
统计学习与视觉计算组
18+阅读 · 2018年9月6日
已删除
将门创投
10+阅读 · 2018年5月2日
傅里叶变换和拉普拉斯变换的物理解释及区别
算法与数学之美
11+阅读 · 2018年2月5日
Top
微信扫码咨询专知VIP会员