互信息相关公式整理

2019 年 8 月 17 日 CreateAMind


从一些论文整理的互信息相关公式


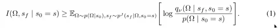
infobot


soft q MI



infobot appendix:

和下面公式一样:略去了下面的第二项

deepmind kl paper:

same as empowerment 4



unsup decision


vdb:



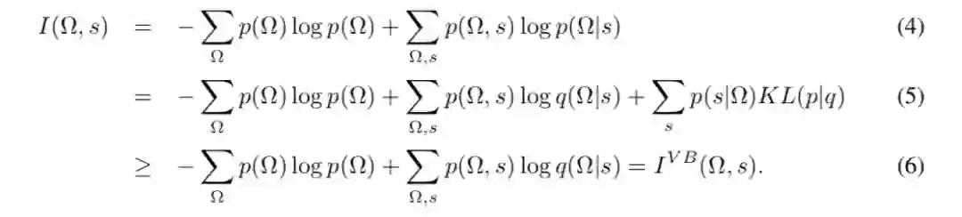
互信息和熵



https://navneet-nmk.github.io/2018-08-26-empowerment/   and paper;


empowerment 4

信息论书:





熵和互信息公式的对比::




如有错误还请多批评!


欢迎加入我们!更多内容请访问公众号CreateAMind菜单。



登录查看更多
7

相关内容

互信息(Mutual Information)是信息论里一种有用的信息度量,它可以看成是一个随机变量中包含的关于另一个随机变量的信息量,或者说是一个随机变量由于已知另一个随机变量而减少的不肯定性.
【推荐系统/计算广告/机器学习/CTR预估资料汇总】
专知会员服务
88+阅读 · 2019年10月21日
最新BERT相关论文清单,BERT-related Papers
专知会员服务
53+阅读 · 2019年9月29日
RL圣经出中文版了
CreateAMind
19+阅读 · 2019年9月13日
互信息论文笔记
CreateAMind
23+阅读 · 2018年8月23日
SVM大解密(附代码和公式)
AI100
6+阅读 · 2018年4月7日
基于概率论的分类方法:朴素贝叶斯
Python开发者
8+阅读 · 2017年11月9日
Heterogeneous Deep Graph Infomax
Arxiv
12+阅读 · 2019年11月19日
Risk-Aware Active Inverse Reinforcement Learning
Arxiv
8+阅读 · 2019年1月8日
Semantics of Data Mining Services in Cloud Computing
Arxiv
4+阅读 · 2018年10月5日
Arxiv
10+阅读 · 2018年4月19日
VIP会员
相关资讯
RL圣经出中文版了
CreateAMind
19+阅读 · 2019年9月13日
互信息论文笔记
CreateAMind
23+阅读 · 2018年8月23日
SVM大解密(附代码和公式)
AI100
6+阅读 · 2018年4月7日
基于概率论的分类方法:朴素贝叶斯
Python开发者
8+阅读 · 2017年11月9日
相关论文
Heterogeneous Deep Graph Infomax
Arxiv
12+阅读 · 2019年11月19日
Risk-Aware Active Inverse Reinforcement Learning
Arxiv
8+阅读 · 2019年1月8日
Semantics of Data Mining Services in Cloud Computing
Arxiv
4+阅读 · 2018年10月5日
Arxiv
10+阅读 · 2018年4月19日
Top
微信扫码咨询专知VIP会员