是时候放弃TensorFlow集群,拥抱Horovod了

2019 年 4 月 28 日 AI前线
作者 | 轻墨
来源 | 授权转载自微信公众号“AI研究小院”
编辑 | Natalie
AI 前线导读:Horovod 是一套面向 TensorFlow 的分布式训练框架,由 Uber 构建并开源,目前已经运行于 Uber 的 Michelangelo 机器学习即服务平台上。Horovod 能够简化并加速分布式深度学习项目的启动与运行。通过利用消息传递接口(简称 MPI)实现应用环状规约,显著提升 TensorFlow 模型的实用性与性能表现。

本文作者在实践中发现,TensorFlow 集群存在诸多缺点,如概念太多、学习曲线陡峭、修改的代码量大、性能损失较大等,而 Horovod 则让深度学习变得更加美好,随着规模增大,Horovod 性能基本是线性增加的,损失远小于 TensorFlow。

更多优质内容请关注微信公众号“AI 前线”(ID:ai-front)

当数据较多或者模型较大时,为提高机器学习模型训练效率,一般采用多 GPU 的分布式训练。

按照并行方式,分布式训练一般分为数据并行和模型并行两种:

  • 模型并行:分布式系统中的不同 GPU 负责网络模型的不同部分。例如,神经网络模型的不同网络层被分配到不同的 GPU,或者同一层内部的不同参数被分配到不同 GPU;

  • 数据并行:不同的 GPU 有同一个模型的多个副本,每个 GPU 分配到不同的数据,然后将所有 GPU 的计算结果按照某种方式合并。

注意,上述中的不用 GPU 可以是同一台机上的多个 GPU,也可以是不用机上的 GPU。

注:图中的 Machine 其实就是 GPU,当然也可以包含 CPU,但深度学习很少采用 CPU 训练

当然也有数据并行和模型并行的混合模式。

因为模型并行各个部分存在一定的依赖,规模伸缩性差(意思是不能随意增加 GPU 的数量),在实际训练中用的不多。而数据并行,则各部分独立,规模伸缩性好,实际训练中更为常用,提速效果也更好。

数据并行会涉及到各个 GPU 之间同步模型参数,一般分为同步更新和异步更新。同步更新要等到所有 GPU 的梯度计算完成,再统一计算新权值,然后所有 GPU 同步新值后,才进行下一轮计算。异步更新,每个 GPU 梯度计算完后,无需等待其他 GPU 的梯度计算(有时可以设置需要等待的梯度个数),可立即更新整体权值,然后同步此权值,即可进行下一轮计算。同步更新有等待,异步更新基本没有等待,但异步更新涉及到梯度过时等更复杂问题。

在实际应用中,单机多卡的同步式数据并行是最常用的,在论文中最常见的训练方式是单机八卡。数据再多时,一般就需要多机多卡了。

无论是单机多卡,还是多机多卡,均是分布式训练,在 Horovod 出现之前,使用 TensorFlow,一般只有官方推荐的集群训练方式。

可是 TensorFlow 的集群训练,用起来并不轻松。

TensorFlow 集群的缺点
1. 概念多,学习曲线陡峭

TensorFlow 的集群采用的是 Parameter Server 架构,因此引入了比较多复杂概念,罗列如下:

server
client
master
cluster
parameter server
worker
job
task
replica_device_setter
master service
worker service
clone

复制代码涉及到的函数:

tf.train.Server
tf.train.Supervisor
tf.train.SessionManager
tf.train.ClusterSpec
tf.train.replica_device_setter
tf.train.MonitoredTrainingSession
tf.train.MonitoredSession
tf.train.SingularMonitoredSession
tf.train.Scaffold
tf.train.SessionCreator
tf.train.ChiefSessionCreator
tf.train.WorkerSessionCreator

复制代码我反复研究过多次,还是没有彻底弄清楚 server、client、master、master service、worker service、clone、session 之间的关系。

大致是,在 client 中创建 server 实例,session 与 server 一一对应,server 内含 master service 和 worker service 两个服务,master service 负责与外界通讯,比如 sess.run 一般都是告诉 server 的 master service 要开始工作了,server 的 master service 通知同一个 server 的 worker service 去干活,worker service 调动 GPU 运算,完成后,返回结果给 master service,做权值更新,如果是多机多卡的分布式,Parameter Server 与 master service 之间做梯度传递和权值同步。(参考 https://stackoverflow.com/questions/38732502/tensorflow-master-and-worker-service)

2. 修改的代码量大

如果想把单机单卡的模型,移植到多机多卡,涉及的代码量是以天记的,慢的话甚至需要一周。

3. 需要多台机子跑不同的脚本

TensorFlow 集群是采用 Parameter Server 架构的,要想跑多机多卡的集群,每个机子都要启动一个 client,即跑一个脚本,来启动训练,100 个机子,人就要崩溃了。

4. PS 和 Worker 的比例不好选取

TensorFlow 集群要将服务器分为 PS 和 Worker 两种 job 类型,PS 设置多少性能最近并没有确定的计算公式。

5. 性能损失较大

TensorFlow 的集群性能并不好,当超过一定规模时,性能甚至会掉到理想性能的一半以下。

Horovod

由于 TensorFlow 集群太不友好,业内也一直在尝试新的集群方案。

2017 年 Facebook 发布了《Accurate, large minibatch SGD: Training ImageNet in 1 hour 》验证了大数据并行的高效性,同年百度发表了《Bringing HPC techniques to deep learning 》,验证了全新的梯度同步和权值更新算法的可行性。受这两篇论文的启发,Uber 开发了 Horovod 集群方案。

约定如下:

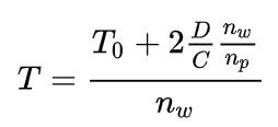
网络带宽记为:B(单位 Mb/s),模型总参数数据量记为:D(单位 Mb),总服务器数量记为:n,参数服务器数量记为:n_p(其中有 n= n_p+ n_w),worker 服务器数量记为:n_w(其中有 n= n_p+ n_w),单服务器计算一次耗时记为:T_0。

梯度同步和权值更新算法
1) Parameter Server 架构

TensorFlow 的集群架构是 Parameter Server 架构,数据的传导模型如下图。

则可以计算出,Parameter Server 架构的集群方案,总耗时:

可以看出 T 与总节点数 n 基本成线性关系,但不同的参数服务器和 woker 服务器分配方案,总性能也将不同。

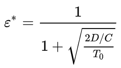
假设,e 表示 worker 服务器占比,即 e=n_w/n,则可以计算出最优的 e 值为:

可以看出,最优 worker 服务器占比与模型大小、网络带宽、单机运行时长都有关系,并不是一个一眼能最优值的超参数。

2)Horovod 的 ring-allreduce 算法

百度 2017 年发表的《Bringing HPC techniques to deep learning 》中,采用了全新的梯度同步和权值同步算法,叫做 ring-allreduce。此种算法各个节点之间只与相邻的两个节点通信,并不需要参数服务器。因此,所有节点都参与计算也参与存储。

一次权重更新,主要包含两个过程:

1)累计梯度

将所有梯度分为 n 个片段,每次只与相邻节点传递 1 个片段的梯度,n-1 次后,每一片段的梯度都完成了所有节点这一片段梯度的累计,但不用片段的累计值分布在不同节点上。如下图的第 2、第 3 步;

2)将累计后的梯度分发到所有节点

将第一步累计的梯度再次通过 n-1 次的相互交换后,所有节点的梯度完成同步。如下图的第 4、第 5 步。再平均后,更新权重,就完成了所有节点权重的更新。

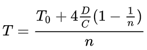
可以计算出 ring-allreduce 算法的总耗时为:

可以看出,总耗时基本与总节点数 n 成线性关系(n 较大时,1/n 基本为 0)。

Horovod 的梯度同步和权值同步就采用了 ring-allreduce 算法。

概念

Horovod 的数据传递是基于 MPI,因此其涉及的概念也是 MPI 中的概念。以 4 个服务器,每个服务器 4 个 GPU 为例,

  • size 进程数量,也即所有 GPU 数量,为 16

  • rank 进程的唯一 ID,0-15

  • local rank,每一个 server 中的进程的本地唯一 ID,0-3

  • allreduce 累加所有数据,并同步到所有节点的操作,如下图

  • allgather 收集所有数据,并同步到所有节点的操作,完成后每个节点都包含所有节点的数据,并且这些数据单独存在,如下图。

  • broadcast 将数据(需要由根节点确认)从一个节点传播到其他所有节点的操作

大概就这么多概念,简单清晰。

将单机单卡改为多机多卡

将一个只支持单机单卡的训练脚本修改为支持多机多卡的训练脚本,以 TensorFlow 为例,只需要做如下改动:

import tensorflow as tf
import horovod.tensorflow as hvd


# Initialize Horovod
hvd.init()

# Pin GPU to be used to process local rank (one GPU per process)
config = tf.ConfigProto()
config.gpu_options.visible_device_list = str(hvd.local_rank())

# Build model...
loss = ...
opt = tf.train.AdagradOptimizer(0.01 * hvd.size())

# Add Horovod Distributed Optimizer
opt = hvd.DistributedOptimizer(opt)

# Add hook to broadcast variables from rank 0 to all other processes during
# initialization.
hooks = [hvd.BroadcastGlobalVariablesHook(0)]

# Make training operation
train_op = opt.minimize(loss)

# Save checkpoints only on worker 0 to prevent other workers from corrupting them.
checkpoint_dir = '/tmp/train_logs' if hvd.rank() == 0 else None

# The MonitoredTrainingSession takes care of session initialization,
# restoring from a checkpoint, saving to a checkpoint, and closing when done
# or an error occurs.
with tf.train.MonitoredTrainingSession(checkpoint_dir=checkpoint_dir,
config=config,
hooks=hooks) as mon_sess:
while not mon_sess.should_stop():
# Perform synchronous training.
mon_sess.run(train_op)

可以看出,改动不大,只需添加 10 行左右的代码,主要分为 6 步:

1)初始化 Horovod

hvd.init()

2)一个 GPU 与一个进程绑定

config = tf.ConfigProto()
config.gpu_options.visible_device_list = str(hvd.local_rank())

3)根据总 GPU 数量放大学习率

opt = tf.train.AdagradOptimizer(0.01 * hvd.size())

因为 BatchSize 会根据 GPU 数量放大,所以学习率也应该放大。

4)使用 hvd.DistributedOptimizer 封装原有的 optimizer

opt = hvd.DistributedOptimizer(opt)

分布式训练涉及到梯度同步,每一个 GPU 的梯度计算仍然由原有的 optimizer 计算,只是梯度同步由 hvd.DistributedOptimizer 负责。

5)广播初始变量值到所有进程

hooks = [hvd.BroadcastGlobalVariablesHook(0)]

主要为了确保所有进程变量初始值相同。

6)只在 worker 0 上保存 checkpoint

checkpoint_dir = '/tmp/train_logs' if hvd.rank() == 0 else None

防止 checkpoint 保存错乱。

Horovod 只是需要改动必要改动的,不涉及 Parameter Server 架构的 device 设置等繁琐的操作。

起训练

在单机 4 卡的机上起训练,只需执行以下命令:

horovodrun -np 4 -H localhost:4 python train.py

在 4 机,每机 4 卡的机子上起训练,只需在一个机子上执行以下命令即可:

horovodrun -np 16 -H server1:4,server2:4,server3:4,server4:4 python train.py

注意无论是单机多卡,还是多机多卡,都只需在一个机子上执行一次命令即可,其他机 Horovod 会用 MPI 启动进程和传递数据。

性能对比

Horovod 随着规模增大,性能损失远小于 TensorFlow,基本是线性增加的。

结    论

用过 TensorFlow 集群的人,会深刻体会到 Horovod 有多好用,感谢百度、Facebook 和 Uber 让深度学习更美好。

不过,也要注意到,Horovod 的分布式貌似只支持同步更新式的数据并行,模型并行和异步更新式的数据并行,我没有尝试过,根据 ring-allreduce 算法可知,应该是不支持的。

本文彩蛋

在 AI 前线 后台回复关键词:Uber,获取关于 Horovod 的更多干货文章。

注:请在公众号对话框回复关键词,留言区回复收不到链接哦~

今日荐文

点击下方图片即可阅读

AutoML:机器学习的下一波浪潮


限时福利

希冀快速学习成长,但基础易不夯实?企业加快转型,技术能力又跟不上?寻求外部培训奈何价更高?想做团队的领跑者,你需要迈过这些“槛”,这里有12大技术领域的干货内容,解决你 / 团队的学习难题。


你也「在看」吗?👇

登录查看更多
5

相关内容

Horovod是针对TensorFlow,Keras,PyTorch和MXNet的分布式培训框架。Horovod的目标是使分布式深度学习快速且易于使用。
TensorFlow Lite指南实战《TensorFlow Lite A primer》,附48页PPT
专知会员服务
70+阅读 · 2020年1月17日
GPU 显存不足怎么办?
AINLP
13+阅读 · 2019年8月16日
分布式入门,怎样用PyTorch实现多GPU分布式训练
机器之心
7+阅读 · 2019年5月3日
Tensorflow框架是如何支持分布式训练的?
AI100
9+阅读 · 2019年3月26日
TensorFlow Lite 2019 年发展蓝图
谷歌开发者
6+阅读 · 2019年3月12日
Forge:如何管理你的机器学习实验
专知
11+阅读 · 2018年12月1日
浅显易懂的分布式TensorFlow入门教程
专知
7+阅读 · 2018年6月22日
TensorFlow: 薛定谔的管道
深度学习大讲堂
3+阅读 · 2018年6月13日
tensorflow系列笔记:流程,概念和代码解析
北京思腾合力科技有限公司
30+阅读 · 2017年11月11日
Spark的误解-不仅Spark是内存计算,Hadoop也是内存计算
Arxiv
4+阅读 · 2019年2月8日
A Survey on Deep Transfer Learning
Arxiv
11+阅读 · 2018年8月6日
Arxiv
7+阅读 · 2018年3月22日
VIP会员
相关VIP内容
TensorFlow Lite指南实战《TensorFlow Lite A primer》,附48页PPT
专知会员服务
70+阅读 · 2020年1月17日
相关资讯
GPU 显存不足怎么办?
AINLP
13+阅读 · 2019年8月16日
分布式入门,怎样用PyTorch实现多GPU分布式训练
机器之心
7+阅读 · 2019年5月3日
Tensorflow框架是如何支持分布式训练的?
AI100
9+阅读 · 2019年3月26日
TensorFlow Lite 2019 年发展蓝图
谷歌开发者
6+阅读 · 2019年3月12日
Forge:如何管理你的机器学习实验
专知
11+阅读 · 2018年12月1日
浅显易懂的分布式TensorFlow入门教程
专知
7+阅读 · 2018年6月22日
TensorFlow: 薛定谔的管道
深度学习大讲堂
3+阅读 · 2018年6月13日
tensorflow系列笔记:流程,概念和代码解析
北京思腾合力科技有限公司
30+阅读 · 2017年11月11日
Spark的误解-不仅Spark是内存计算,Hadoop也是内存计算
Top
微信扫码咨询专知VIP会员