ACL 2022 | 序列标注的小样本NER:融合标签语义的双塔BERT模型

2022 年 7 月 6 日 PaperWeekly


©作者 | SinGaln


这是一篇来自于 ACL 2022 的文章,总体思想就是在 meta-learning 的基础上,采用双塔 BERT 模型分别来对文本字符和对应的label进行编码,并且将二者进行 Dot Product(点乘)得到的输出做一个分类的事情。文章总体也不复杂,涉及到的公式也很少,比较容易理解作者的思路。对于采用序列标注的方式做 NER 是个不错的思路。



论文标题:

Label Semantics for Few Shot Named Entity Recognition

论文链接:

https://arxiv.org/pdf/2203.08985.pdf




模型


1.1 架构


图1.模型整体构架


从上图中可以清楚的看到,作者采用了双塔 BERT 来分别对文本的 Token 和每个 Token 对应的 label 进行编码。这里作者采用这种方法的思路也很简单,因为是 Few-shot 任务,没有足够的数据量,所以作者认为每个 Token 的 label 可以为 Token 提供额外的语义信息。

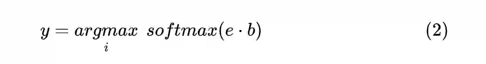
作者的 Meta-Learning 采用的是 metric-based 方法,直观一点理解就是首先计算每个样本 Token 的向量表征,然后与计算得到的 label 表征计算相似度,这里从图上的 Dot Product 可以直观的体现出来。然后对得到的相似度矩阵 ([batch_size,sequence_length,embed_dim]) 进行 softmax 归一化,通过 argmax 函数取最后一维中值最大的 index,并且对应相应的标签列表,得到当前 Token 对应的标签。

1.2 Detail


此外,作者在对标签进行表征时,也对每个标签进行了相应的处理,总体分为以下三步: 

1. 将词语的简写标签转为自然语言形式,例如 PER-->person,ORG-->organization,LOC-->local 等等;

2. 将标注标签起始、中间的标记转为自然语言形式,例如以 BIO 形式进行标记的就可以转为 begin、inside、other 等等,其他标注形式的类似。 

3. 按前两步的方法转换后进行组合,例如 B-PER-->begin person,I-PER-->inside person。

由于进行的是 Few-shot NER 任务,所以作者在多个 source datasets 上面训练模型,然后他们在多个 unseen few shot target datasets 上面验证经过 fine-tuning 和不经过 fine-tuning 的模型的效果。

在进行 Token 编码时,对应每个 通过 BERT 模型可以得到其对应的向量 ,如下所示:


这里需要注意的是 BERT 模型的输出取 last_hidden_state 作为对应 Token 的向量。

对标签进行编码时,对标签集合中的所有标签进行对应编码,每个完整的 label 得到的编码取 部分作为其编码向量,并且将所有的 label 编码组成一个向量集合 ,最后计算每个 的点积,形式如下:


由于这里使用了 label 编码表征的方式,相比于其他的 NER 方法,在模型遇到新的数据和 label 时,不需要再初始一个新的顶层分类器,以此达到 Few-shot 的目的。

1.3 Label Transfer


在文章中作者还罗列了实验数据集的标签转换表,部分如下所示:

图2. 实验数据集Label Transfer

1.4 Support Set Sampling Algorithm

采样伪代码如下所示:

图3. 采样伪代码




实验结果


图4. 部分实验结果


从实验结果上看,可以明显的感受到这种方法在 Few-shot 时还是有不错的效果的,在 1-50 shot 时模型的效果都优于其他模型,表明了 label 语义的有效性;但在全量数据下,这种方法就打了一些折扣了,表明了数据量越大,模型对于 label 语义的依赖越小。这里笔者还有一点想法就是在全量数据下,这种方式的标签语义引入可能会对原本的文本语义发生微小偏移,当然,这种说法在 Few-shot 下也是成立的,只不过 Few-shot 下的偏移是一个正向的偏移,能够增强模型的泛化能力,全量数据下的偏移就有点溢出来的感觉。 

双塔 BERT 代码实现(没有采用 metric-based 方法):

#!/usr/bin/env python
# -*- coding:utf-8 -*-
# @Time    : 2022/5/23 13:49
# @Author  : SinGaln

import torch
import torch.nn as nn
from transformers import BertModel, BertPreTrainedModel


class SinusoidalPositionEmbedding(nn.Module):
    """定义Sin-Cos位置Embedding
    """


    def __init__(
            self, output_dim, merge_mode='add')
:

        super(SinusoidalPositionEmbedding, self).__init__()
        self.output_dim = output_dim
        self.merge_mode = merge_mode

    def forward(self, inputs):
        input_shape = inputs.shape
        batch_size, seq_len = input_shape[0], input_shape[1]
        position_ids = torch.arange(seq_len, dtype=torch.float)[None]
        indices = torch.arange(self.output_dim // 2, dtype=torch.float)
        indices = torch.pow(10000.0-2 * indices / self.output_dim)
        embeddings = torch.einsum('bn,d->bnd', position_ids, indices)
        embeddings = torch.stack([torch.sin(embeddings), torch.cos(embeddings)], dim=-1)
        embeddings = embeddings.repeat((batch_size, *([1] * len(embeddings.shape))))
        embeddings = torch.reshape(embeddings, (batch_size, seq_len, self.output_dim))
        if self.merge_mode == 'add':
            return inputs + embeddings.to(inputs.device)
        elif self.merge_mode == 'mul':
            return inputs * (embeddings + 1.0).to(inputs.device)
        elif self.merge_mode == 'zero':
            return embeddings.to(inputs.device)


class DoubleTownNER(BertPreTrainedModel):
    def __init__(self, config, num_labels, position=False):
        super(DoubleTownNER, self).__init__(config)
        self.position = position
        self.num_labels = num_labels
        self.bert = BertModel(config=config)
        self.fc = nn.Linear(config.hidden_size, self.num_labels)

        if self.position:
            self.sinposembed = SinusoidalPositionEmbedding(config.hidden_size, "add")

    def forward(self, sequence_input_ids, sequence_attention_mask, sequence_token_type_ids, label_input_ids,
                label_attention_mask, label_token_type_ids)
:

        # 获取文本和标签的encode
        # [batch_size, sequence_length, embed_dim]
        sequence_outputs = self.bert(input_ids=sequence_input_ids, attention_mask=sequence_attention_mask,
                                     token_type_ids=sequence_token_type_ids).last_hidden_state
        # [batch_size, embed_dim]
        label_outputs = self.bert(input_ids=label_input_ids, attention_mask=label_attention_mask,
                                  token_type_ids=label_token_type_ids).pooler_output
        label_outputs = label_outputs.unsqueeze(1)

        # 位置向量
        if self.position:
            sequence_outputs = self.sinposembed(sequence_outputs)
        # Dot 交互
        interactive_output = sequence_outputs * label_outputs
        # full-connection
        outputs = self.fc(interactive_output)
        return outputs

if __name__=="__main__":
    pretrain_path = "../bert_model"
    from transformers import BertConfig

    token_input_ids = torch.randint(1100, (32128))
    token_attention_mask = torch.ones_like(token_input_ids)
    token_token_type_ids = torch.zeros_like(token_input_ids)

    label_input_ids = torch.randint(110, (110))
    label_attention_mask = torch.ones_like(label_input_ids)
    label_token_type_ids = torch.zeros_like(label_input_ids)
    config = BertConfig.from_pretrained(pretrain_path)
    model = DoubleTownNER.from_pretrained(pretrain_path, config=config, num_labels=10, position=True)

    outs = model(sequence_input_ids=token_input_ids, sequence_attention_mask=token_attention_mask, sequence_token_type_ids=token_token_type_ids, label_input_ids=label_input_ids,
                label_attention_mask=label_attention_mask, label_token_type_ids=label_token_type_ids)
    print(outs, outs.size())


更多阅读



#投 稿 通 道#

 让你的文字被更多人看到 



如何才能让更多的优质内容以更短路径到达读者群体,缩短读者寻找优质内容的成本呢?答案就是:你不认识的人。


总有一些你不认识的人,知道你想知道的东西。PaperWeekly 或许可以成为一座桥梁,促使不同背景、不同方向的学者和学术灵感相互碰撞,迸发出更多的可能性。 


PaperWeekly 鼓励高校实验室或个人,在我们的平台上分享各类优质内容,可以是最新论文解读,也可以是学术热点剖析科研心得竞赛经验讲解等。我们的目的只有一个,让知识真正流动起来。


📝 稿件基本要求:

• 文章确系个人原创作品,未曾在公开渠道发表,如为其他平台已发表或待发表的文章,请明确标注 

• 稿件建议以 markdown 格式撰写,文中配图以附件形式发送,要求图片清晰,无版权问题

• PaperWeekly 尊重原作者署名权,并将为每篇被采纳的原创首发稿件,提供业内具有竞争力稿酬,具体依据文章阅读量和文章质量阶梯制结算


📬 投稿通道:

• 投稿邮箱:hr@paperweekly.site 

• 来稿请备注即时联系方式(微信),以便我们在稿件选用的第一时间联系作者

• 您也可以直接添加小编微信(pwbot02)快速投稿,备注:姓名-投稿


△长按添加PaperWeekly小编




🔍


现在,在「知乎」也能找到我们了

进入知乎首页搜索「PaperWeekly」

点击「关注」订阅我们的专栏吧


·

登录查看更多
0

相关内容

AAAI 2022 | 基于预训练-微调框架的图像差异描述任务
专知会员服务
18+阅读 · 2022年2月26日
基于预训练语言模型的文本生成
专知会员服务
29+阅读 · 2022年1月28日
专知会员服务
26+阅读 · 2021年9月19日
专知会员服务
42+阅读 · 2021年6月6日
【ICML2020】统一预训练伪掩码语言模型
专知会员服务
27+阅读 · 2020年7月23日
ACL 2022 | 分解的元学习小样本命名实体识别
PaperWeekly
1+阅读 · 2022年6月30日
中文NER任务实验小结:BERT-MRC的再优化
PaperWeekly
0+阅读 · 2021年12月29日
【论文笔记】基于BERT的知识图谱补全
专知
116+阅读 · 2019年9月15日
ACL 2019 | 多语言BERT的语言表征探索
AI科技评论
21+阅读 · 2019年9月6日
站在BERT肩膀上的NLP新秀们(PART II)
AINLP
35+阅读 · 2019年6月8日
3分钟看懂史上最强NLP模型BERT
新智元
23+阅读 · 2019年2月27日
神经网络结构在命名实体识别(NER)中的应用
全球人工智能
11+阅读 · 2018年4月5日
国家自然科学基金
4+阅读 · 2015年12月31日
国家自然科学基金
0+阅读 · 2014年12月31日
国家自然科学基金
5+阅读 · 2014年12月31日
国家自然科学基金
5+阅读 · 2013年12月31日
国家自然科学基金
1+阅读 · 2012年12月31日
国家自然科学基金
3+阅读 · 2012年12月31日
国家自然科学基金
0+阅读 · 2012年12月31日
国家自然科学基金
2+阅读 · 2011年12月31日
国家自然科学基金
0+阅读 · 2009年12月31日
国家自然科学基金
0+阅读 · 2009年12月31日
Arxiv
0+阅读 · 2022年9月6日
Arxiv
20+阅读 · 2021年9月21日
Domain Representation for Knowledge Graph Embedding
Arxiv
14+阅读 · 2019年9月11日
Arxiv
21+阅读 · 2019年8月21日
Arxiv
13+阅读 · 2019年2月28日
Learning Embedding Adaptation for Few-Shot Learning
Arxiv
17+阅读 · 2018年12月10日
Arxiv
14+阅读 · 2018年5月15日
VIP会员
相关VIP内容
AAAI 2022 | 基于预训练-微调框架的图像差异描述任务
专知会员服务
18+阅读 · 2022年2月26日
基于预训练语言模型的文本生成
专知会员服务
29+阅读 · 2022年1月28日
专知会员服务
26+阅读 · 2021年9月19日
专知会员服务
42+阅读 · 2021年6月6日
【ICML2020】统一预训练伪掩码语言模型
专知会员服务
27+阅读 · 2020年7月23日
相关资讯
ACL 2022 | 分解的元学习小样本命名实体识别
PaperWeekly
1+阅读 · 2022年6月30日
中文NER任务实验小结:BERT-MRC的再优化
PaperWeekly
0+阅读 · 2021年12月29日
【论文笔记】基于BERT的知识图谱补全
专知
116+阅读 · 2019年9月15日
ACL 2019 | 多语言BERT的语言表征探索
AI科技评论
21+阅读 · 2019年9月6日
站在BERT肩膀上的NLP新秀们(PART II)
AINLP
35+阅读 · 2019年6月8日
3分钟看懂史上最强NLP模型BERT
新智元
23+阅读 · 2019年2月27日
神经网络结构在命名实体识别(NER)中的应用
全球人工智能
11+阅读 · 2018年4月5日
相关基金
国家自然科学基金
4+阅读 · 2015年12月31日
国家自然科学基金
0+阅读 · 2014年12月31日
国家自然科学基金
5+阅读 · 2014年12月31日
国家自然科学基金
5+阅读 · 2013年12月31日
国家自然科学基金
1+阅读 · 2012年12月31日
国家自然科学基金
3+阅读 · 2012年12月31日
国家自然科学基金
0+阅读 · 2012年12月31日
国家自然科学基金
2+阅读 · 2011年12月31日
国家自然科学基金
0+阅读 · 2009年12月31日
国家自然科学基金
0+阅读 · 2009年12月31日
相关论文
Top
微信扫码咨询专知VIP会员