【机器人】伺服运动控制器(功能、结构、技术指标及应用)

2018 年 9 月 23 日 产业智能官




模糊PID的全方位移动机器人运动控制设计

                        

摘    要


通过对足球机器人运动学模型的分析,考虑到系统的时变、非线性和干扰大等特点,以全向移动机器人为研究平台,提出一种将模糊控制与传统的PID控制相结合的方法,应用到足球机器人的运动控制系统中。针对足球机器人运动控制中的重点问题,着重提出了基于模糊控制的动态调整PID控制器的3个参数kp、ki、kd的设计方法。实验表明,该控制器能较好地改善控制系统对轮速的控制效果。


1 前  言


模糊控制技术,已经成为智能控制技术的一个重要分支,它是一种高级算法策略和新颖的技术。自从1974年英国的马丹尼(E.H.Mandani)工程师首先根据模糊集合理论组成的模糊控制器用于蒸汽发动机的控制以后,在其发展历程的30多年中,模糊控制技术得到了广泛而快速的发展。现在,模糊控制已广泛地应用于冶金与化工过程控制、工业自动化、家用电器智能化、仪器仪表自动化、计算机及电子技术应用等领域。尤其在交通路口控制、机器人、机械手控制、航天飞行控制、汽车控制、电梯控制、核反应堆及家用电器控制等方面,表现其很强的应用价值。并且目前已有了专用的模糊芯片和模糊计算机的产品,可供选用。我国对模糊控制器开始研究是在1979年,并且已经在模糊控制器的定义、性能、算法、鲁棒性、电路实现方法、稳定性、规则自调整等方面取得了大量的成果。著名科学家钱学森指出,模糊数学理论及其应用,关系到我国二十一世纪的国力和命运。


近几年来,随着机器人技术与控制技术的发展,机器人在日常生活和工农业生产中得到广泛应用。机器人对象是一个非线性、强耦合的多变量系统,在运动过程中.由于存在摩擦、负载变化等不确定因素,因而它还是一个时变系统。传统的机器人控制技术大多是基于模型的控制方法,无法得到满意的轨迹跟踪效果模糊控制和神经网络等人工智能的发展为解决机器人轨迹跟踪问题提供了新的思路。普通模糊控制的控制规则大部分是人们的经验总结。不具备自学习、自适应的能力,往往还受到人的主观性的影响。因此不能很好地控制时变不确定的系统。


移动机器人是一个集环境感知、动态决策、行为控制与执行等多种功能于一体的综合系统,其运动控制是移动机器人领域的一个重要研究方向,也是移动机器人轨迹控制、定位和导航的基础。传统的运动控制常采用PID控制算法,其特点是算法简单、鲁棒性强、可靠性高,但需要精确的数学模型才对线性系统具有较好的控制效果,对非线性系统的控制效果并不理想。模糊控制不要求控制对象的精确数学模型,因而灵活、适应性强。可是,任何一种纯模糊控制器本质上是一种非线性PD控制,不具备积分作用,所以很难在模糊控制系统中消除稳态误差。针对这个问题,结合运动控制系统的实际运行条件,设计采用模糊PID控制方法来实现快速移动机器人车轮转速大范围误差调节,将模糊控制和PID控制结合起来构成参数模糊自整定PID算法用于伺服电机的控制,使控制器既具有模糊控制灵活而适应性强的优点,又具有PID控制精度高的特点,使运动控制系统兼顾实时性高、鲁棒性强及稳定性等设计要点,并可通过模糊控制规则库的扩充,为该运动控制系统方便添加其他功能。


2 全方位移动机器人运动学分析


研究的是一种全自主移动机器人平台,该机器人采用了四轮全向移动的运动方式,具有全向运动能力的系统使机器人可以向任意方向做直线运动,而之前不需要做旋转运动,并且这种轮系可满足一边做直线运动一边旋转的要求,达到终状态所需的任意姿态角。全向轮系的应用将使足球机器人具有运动快速灵活,控球稳定,进攻性强,以及易于控制等优点,使机器人在赛场上更具竞争力。


2.1 全向轮

机器人采用的全向轮在大轮的周围均匀分布着小轮,大轮由电机驱动,小轮可自由转动。这种全方位轮可有效避免普通轮不能侧滑所带来的非完整性约束,使机器人具有平面运动的全部3个自由度,机动性增强。基于以上分析,选择使用这种全向轮。

2.2 运动学分析

在建立机器人的运动模型前,先做以下假设:

(1)小车在一个理想的平面上运动,地面的不规则可以忽略。

(2)小车是一个刚体,形变可以忽略。

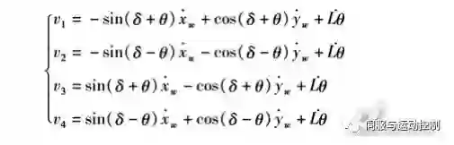
(3)轮子和地面之间满足纯滚动的条件,没有相对滑动。全方位移动机器人由4个全向轮作为驱动轮,它们之间间隔90°均匀分布,如图1所示。其中,xw-yw为绝对坐标系,xm-ym为固连在机器人车体上的相对坐标系,其坐标原点与机器人中心重合。θ为xw与xm的夹角,δ为轮子与ym的夹角,L为机器人中心到轮子中心的距离,vi为第i个轮子沿驱动方向的速度。


可求出运动学方程如式(1)所示:

因为轮子为对称分布,常数δ为45°,故得到全向移动机器人的运动模型:


V=Ps


其中,v=[v1v2v3v4]T为轮子的速度,s=为机器人整体期望速度,P为转换矩阵。

这样,就可以将机器人整体期望速度,解算为到4个轮子分别的速度,把数据传送到控制器中,就可完成对机器人的控制。


3 基于模糊PID的运动控制器设计

目前,常规PID控制器已被广泛的应用于自动化领域。但常规PID控制器不具备在线整定控制参数kp、ki、kd的功能,不能满足系统在不同偏差对e以及偏差值的变化率ec对PID参数的自整定要求,因而不适用于非线性系统控制。


文中结合本运动控制系统的实际运行条件,设计采用模糊PID控制方法来实现快速移动机器人车轮转速大范围误差调节,将模糊控制和PID控制结合起来构成参数模糊自整定PID算法用于伺服电机的控制,使控制器既具有模糊控制灵活而适应性强的优点,又具有PID控制精度高的特点,使运动控制系统兼顾了实时性高、鲁棒性强及稳定性等设计要点,并可通过模糊控制规则库的扩充,为该运动控制系统方便添加其他功能。


3.1 参数模糊自整定PID的结构

模糊PID控制系统结构如图2所示,系统的输入为控制器给定轮速,反馈值为电机光电码盘反馈数字量,Δkp、Δki、Δkd为修正参数。


3.2 速度控制输入输出变量模糊化

在此速度控制器中的输入为实际转速与设定转速的偏差值e,以及偏差值的变化率ec,输出量为PID参数的修正量Δkp、Δki、Δkd.它们的语言变量、基本论域、模糊子集、模糊论域及量化因子。


模糊变量E和EC以及输出量ΔKP、ΔKI、ΔKD的语言变量和论域确定后,必须对模糊语言变量确定其隶属度。常用的隶属函数有B样条基函数、高斯隶属函数、三角隶属函数等,考虑到设计简便及实时性的要求,本文中采用三角隶属函数。


3.3 参数自整定规则

模糊控制设计的核心是总结工程设计人员的技术知识和实际操作经验,建立合适的模糊规则表,得到针对kp,ki,kd这3个参数分别整定的模糊控制表。根据kp,ki,kd这3个参数分别的作用,可制定模糊控制规则,以kp为例,列规则如表2,ki,kd可类似推出。


PID参数的模糊自整定是找出PID三个参数Kp、Ki、Kd与e和ec之间的模糊关系,在运行中通过不断的监测e和ec,根据模糊控制原理对三个参数进行在线的整定。


PID参数的设定是靠经验及工艺的熟悉,参考测量值与设定值曲线,从而调整Kp、Ki和Kd的大小。模糊控制规则是用于修正PID参数的,模糊控制规则根据过程的阶跃响应情况来考虑求取。规则如下所示:


(1)预选择一个足够短的采样周期让系统工作;

(2)仅加入比例控制环节,直到系统对输入的阶跃响应出现临界振荡,记下这时的比例放大系数和临界振荡周期;

(3)根据下面的具体规则修改PID控制器参数,直至满意为止。

根据上面所述的模糊控制规则,采用如下的PID参数(如表1所示)的调节规则,如表2、表3、表4所示。


4 输出量解模糊


依据速度模糊控制参数整定规则确定出输出量后,得到的只是一个模糊集合,在实际应用中,必须用一个精确量控制被控对象,在模糊集合中,取一个最能代表这个模糊集合的单值过程称为解模糊裁决。


常用的解模糊算法有最大隶属度法、加权平均法等,根据实际情况,采用加权平均法进行解模糊。模糊PID控制程序流程如图3所示。


5 实验结果


为验证参数模糊自整定PID控制器的有效性,文中对直流电机分别做了常规PID控制和模糊PID控制实验。实验中给定轮速为50r/min。相比常规PID控制算法,采用参数模糊自整定PID算法能够明显降低超调量,加快响应速度,改善控制系统对轮速的控制效果。


6 结  论

机器人运动控制系统是整个Robocup机器人系统的执行机构,在场上的表现直接影响了整个足球机器人系统。文中以足球机器人为平台,考虑到系统的时滞性和非线性,采用模糊控制与PID控制相结合的方式,并在自行研制的足球机器人上进行了速度控制的实验研究。结果表明,该方法弥补了常规PID控制应用在机器人运动速度控制时超调量大,响应时间长的缺点,可以取得理想的效果。

工业互联网




产业智能官  AI-CPS


加入知识星球“产业智能研究院”:先进产业OT(工艺+自动化+机器人+新能源+精益)技术和新一代信息IT技术(云计算+大数据+物联网+区块链+人工智能)深度融合,在场景中构建状态感知-实时分析-自主决策-精准执行-学习提升的机器智能认知计算系统实现产业转型升级、DT驱动业务、价值创新创造的产业互联生态链



版权声明产业智能官(ID:AI-CPS推荐的文章,除非确实无法确认,我们都会注明作者和来源,涉权烦请联系协商解决,联系、投稿邮箱:erp_vip@hotmail.com。



登录查看更多
4

相关内容

移动机器人(Robot)是自动执行工作的机器装置。它既可以接受人类指挥,又可以运行预先编排的程序,也可以根据以人工智能技术制定的原则纲领行动。它的任务是协助或取代人类工作的工作,例如生产业、建筑业,或是危险的工作。
FPGA加速系统开发工具设计:综述与实践
专知会员服务
69+阅读 · 2020年6月24日
人机对抗智能技术
专知会员服务
214+阅读 · 2020年5月3日
基于视觉的三维重建关键技术研究综述
专知会员服务
166+阅读 · 2020年5月1日
【综述】自动驾驶领域中的强化学习,附18页论文下载
专知会员服务
176+阅读 · 2020年2月8日
自动驾驶技术解读——自动驾驶汽车决策控制系统
智能交通技术
30+阅读 · 2019年7月7日
【机器人】机器人PID控制
产业智能官
10+阅读 · 2018年11月25日
【无人机】无人机的自主与智能控制
产业智能官
53+阅读 · 2017年11月27日
李克强:智能车辆运动控制研究综述
厚势
21+阅读 · 2017年10月17日
Arxiv
136+阅读 · 2018年10月8日
Viewpoint Estimation-Insights & Model
Arxiv
3+阅读 · 2018年7月3日
VIP会员
相关VIP内容
FPGA加速系统开发工具设计:综述与实践
专知会员服务
69+阅读 · 2020年6月24日
人机对抗智能技术
专知会员服务
214+阅读 · 2020年5月3日
基于视觉的三维重建关键技术研究综述
专知会员服务
166+阅读 · 2020年5月1日
【综述】自动驾驶领域中的强化学习,附18页论文下载
专知会员服务
176+阅读 · 2020年2月8日
相关资讯
自动驾驶技术解读——自动驾驶汽车决策控制系统
智能交通技术
30+阅读 · 2019年7月7日
【机器人】机器人PID控制
产业智能官
10+阅读 · 2018年11月25日
【无人机】无人机的自主与智能控制
产业智能官
53+阅读 · 2017年11月27日
李克强:智能车辆运动控制研究综述
厚势
21+阅读 · 2017年10月17日
相关论文
Arxiv
136+阅读 · 2018年10月8日
Viewpoint Estimation-Insights & Model
Arxiv
3+阅读 · 2018年7月3日
Top
微信扫码咨询专知VIP会员