一文梳理无监督对比学习(MoCo/SimCLR/SwAV/BYOL/SimSiam)

2020 年 12 月 9 日 极市平台
↑ 点击 蓝字  关注极市平台

作者丨rumor@知乎
来源丨https://zhuanlan.zhihu.com/p/334732028
编辑丨极市平台

极市导读

 

本文从对比学习的概念出发,收集了五个2020年的关于对比学习的经典研究,详细介绍了每个工作的模型及思路过程,帮助大家快速掌握对比学习的原理和发展的脉络。 >>12月10日(周四)极市直播|汤凯华:利用因果分析解决通用的长尾分布问题

对比学习的概念很早就有了,但真正成为热门方向是在2020年的2月份,Hinton组的Ting Chen提出了SimCLR,用该框架训练出的表示以7%的提升刷爆了之前的SOTA,甚至接近有监督模型的效果。在SimCLR推出后,各路大佬们又陆续提出了不少有意义的工作,本文将对2020年的一些对比学习经典研究进行总结,方便大家快速掌握这个方向的原理和发展脉络。

首先再简要说下对比学习的基本原理,先从无监督表示学习讲起。表示学习的目标是为输入  学习一个表示  ,最好的情况就是知道  就能知道  。这就引出了无监督表示学习的第一种做法:生成式自监督学习。比如还原句子中被mask的字,或者还原图像中被mask的像素。但这种方式的前提需要假设被mask的元素是相互独立的,不符合真实情况。另一方面,研究者们也质疑如此细粒度的还原是否真正必要

举个例子,假如有人让你凭空画一张一美元,你可能只画成这样[1]

而如果给你一张美元照着临摹,可能还能画好看点,比如这样:

所以说我们记住的事物特征,不一定是像素级别的,而是更高维度的。更具体来说,比如用编码去做分类任务,我们不需要知道每个数据的细节,只要抓住每个类别的主要特征,自然就能把他们分开了:

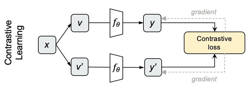
不重构数据,那如何衡量表示  的好坏呢?这时也可以用互信息  ,代表我们知道了  之后, 的信息量减少了多少。如果对最大化互信息的目标进行推导[2],就会得到对比学习的loss(也称InfoNCE),其核心是通过计算样本表示间的距离,拉近正样本,拉远负样本。也就是说,当我们能够区分该样本的正负例时,得到的表示就够用了

具体的做法是,输入N个图片,用不同的数据增强方法为每个图片生成两个view,分别对它们编码得到y和y'。我们对上下两批表示两两计算cosine,得到NxN的矩阵,每一行的对角线位置代表y和y'的相似度,其余代表y和N-1个负例的相似度。

对每一行做softmax分类,采用交叉熵损失作为loss,就得到对比学习的损失了:


其中 是可调节的系数。

对比学习的原理很简单,比较粗暴的优化方向就是增加view难度、增加更多负例、提升encoder表现等。下面就让我们看看大佬们在这一年里是如何花式优化的。

MoCo(CVPR20)

既然对比是在正负例之间进行的,那负例越多,这个任务就越难,于是一个优化方向就是增加负例。

纯粹的增大batch size是不行的,总会受到GPU内存限制。一个可行的办法就是增加memory bank,把之前编码好的样本存储起来,计算loss的时候一起作为负例:

但这样有个问题是存储好的编码都是之前的编码器计算的,而的编码器一直在更新,会有两侧不一致的情况,影响目标优化。一个可行方法之一就是用最新的左侧encoder更新编码再放入memory bank,但这依然避免不了memory bank中表示不一致的情况,实验效果很差。还有研究用动量去更新样本表示,但这样必须存储所有样本,消耗过多内存。

所以何凯明大佬在2019年底推出了MoCo(Momentum Contrast)模型[3],延续memory bank的思想,使用动量的方式更新encoder参数,解决新旧候选样本编码不一致的问题:

对于每个batch x:

  1. 随机增强出  两种view

  2. 分别用  对输入进行编码得到归一化的 q 和 k,并去掉 k 的梯度更新

  3. 将 q 和 k 一一对应相乘得到正例的cosine(Nx1),再将 q 和队列中存储的K个负样本相乘(NxK),拼接起来的到 Nx(1+K) 大小的矩阵,这时第一个元素就是正例,直接计算交叉熵损失,更新  的参数

  4. 动量更新  的参数:

  5. 将 k 加入队列,把队首的旧编码出队,负例最多时有65536个

这样每次入队的新编码都是上一步更新后的编码器输出,以很低的速度慢慢迭代,与旧编码尽量保持一致。实验发现,m=0.999时比m=0.9好上很多。最终在ImageNet的实验效果也远超前人,成为当时的SOTA:

SimCLR(ICML20)

SimCLR是Hinton组的Chen Ting在20年2月提出的工作,直接比MoCo高出了7个点,并直逼监督模型的结果:

框架结构还是采用双塔:

主要做了以下改动:

  1. 探究了不同的数据增强组合方式,选取了最优的
  2. 在encoder之后增加了一个非线性映射  。研究发现encoder编码后的 会保留和数据增强变换相关的信息,而非线性层的作用就是去掉这些信息,让表示回归数据的本质。注意非线性层只在无监督训练时用,在迁移到其他任务时不使用
  3. 计算loss时多加了负例。以前都是拿右侧数据的N-1个作为负例,SimCLR将左侧的N-1个也加入了进来,总计2(N-1)个负例。另外SImCLR不采用memory bank,而是用更大的batch size,最多的时候bsz为8192,有16382个负例

MoCo v2

SimCLR推出后一个月,何凯明和Chen Xinlei同学对MoCo进行了一些小改动:

  1. 改进了数据增强方法
  2. 训练时在encoder的表示上增加了相同的非线性层
  3. 为了对比,学习率采用SimCLR的cosine衰减

经过改动后,以更小的batch size就超过了SimCLR的表现:

SimCLR v2(NIPS20)

在2020年中,Hinton组的Chen Ting同学又提出了SimCLR v2[4],主要做了以下改动:

  1. 采用更深但维度略小的encoder,从 ResNet-50 (4×) 改到了 ResNet-152 (3×+SK),在1%的监督数据下提升了29个点
  2. 采用更深的3层MLP,并在迁移到下游任务时保留第一层(以前是完全舍弃),在1%的监督数据下提升了14个点
  3. 参考了MoCo使用memory,但由于batch已经足够大了,只有1%左右的提升

最终模型比之前的SOTA好了不少:

SwAV(NIPS20)

对比学习需要很多负例进行比较,既耗时又耗内存,于是FAIR联合Inria也推出了一个新的方法SwAV。作者提出了一个新的想法:对各类样本进行聚类,然后去区分每类的类簇。模型结构如下:

具体的做法是,先用K个点  表示聚类中心(prototypes),给定一个batch的编码 ,将其通过  映射到一组新的向量 。这里假设向量都是d维的[5],那C的维度就是 dxK,Z的维度是 dxB,Q的维度则是KxB,每个元素  相当于第k个聚类中心与第b个样本的相似度,理想情况下,样本与自己的类簇中心相似度为1,与其他的为0,其实就是一个one-hot label。不过作者发现soft label效果会好一些。这样每个样本又获得了一个新的表示(Codes)。

有了  和  之后,理论上同一张图片不同view所产生的  和  也可以相互预测,作者便定义了新的loss:

其中

同时SwAV也提出了一种新的数据增强方法,将不同分辨率的view进行mix。最终两种方法的结合带来了4.2个点的提升:

BYOL

上文讲的方法来回都逃不过“对比”这个范式,而DeepMind提出的BYOL则给了我们一个不同视角。

在表示学习中,我们现在采用的框架本质是通过一个view的表示去预测相同图像其他view,能预测对说明抓住了图像的本质特征。但在做这样的预测时会有坍缩(collapse)的风险,意思是全都变成一个表示,那也可以做到预测自己。对比学习为了解决这个问题,将表示预测问题转换为了正负例判别问题,这样就迫使模型的输出是多样的,避免坍缩。

于是BYOL的作者想:如何不用负例,也能学到好的表示呢?如果共用encoder,用MSE作为损失,缩小相同图像不同view的距离,肯定会坍缩。而作者发现如果把其中一个encoder变成随机初始化的固定下来(stop gradient),就能达到18.8%的准确率。为了得到更好的encoder,作者参考动量的方法对其中一个encoder做了改进:

这里我们按照论文,称上半部分为online(更新梯度),下半部分为target(不更新梯度)。BYOL的优化目的是用online表示预测target表示,采用MSE作为损失函数。Online梯度回传后,使用滑动平均对targe的encoder和MLP参数进行更新。在预测阶段只使用 。

虽然BYOL没有显示地使用对比学习loss,但一篇博主在实验[6]中发现BYOL依靠的还是“对比”。他们在复现BYOL的时候直接基于了MoCo的代码,结果发现效果还没有随机的好,原来是因为MLP中没有加BN。如果深究BN的作用,就会发现它重新调整了输出的分布,避免坍缩,同时BN也在隐式地进行对比,去除batch内样本相同的部分,保留不同的特征

同时,在不依赖负样本后,BYOL对于数据增强方法的选择更加鲁棒,下面是它的效果:

SimSiam

延续BYOL的思想,Chen Xinlei与何凯明大佬又对孪生网络进行了研究,发现stop-gradient是避免坍缩的关键,于是提出了SimSiam。

SimSiam的结构非常简单:

  1. 左侧的编码器生成 ,经过MLP后输出 

  2. 右侧的编码器生成 

  3. 计算  与  的cosine相似度

  4. 左右调换,再计算  与  的cosine相似度

  5. 最大化3、4两个步骤的和,且右侧永远不传播梯度

训练步骤虽然简洁,但为什么work却有很多学问。简单的解释是,对于整体目标的优化可以看作一个EM过程,左右两边交替更新,所以在更新左侧encoder时可以将右侧看成常数。更多的细节可以参考Andy的详解

最终SimSiam的效果超过了众多前辈,但仍比BYOL差3个点:

同时他们提到,孪生网络自带建模不变性(invariance)的归纳偏置(inductive bias):

two observations of the same concept should produce the same outputs

这个发现可以帮我们理解为什么孪生网络效果很好,表示学习就是要建模数据中的不变性。

其他细节

1. 数据增强方法

SimCLR中对数据增强方法进行了研究,得到了两个结论:

  1. 不同的数据增强方式组合起来会更好,单一增强的任务太简单
  2. Crop和Color组合的方式最好,因为大多数图像中的颜色是比较一致的,即使裁剪也会容易辨认,如果去掉颜色会增加任务难度

2. BatchNorm导致的信息泄露

在分布式训练中,BN都是分别在各个设备上做的。而对比学习的正例对在一个机器上计算,会出现信息泄露。个人认为,在BN去除batch内共同特征时,很可能被归一化到相似的分布,降低任务难度。

MoCo的解决办法是把一边的样本重新shuffle再并行,另一边顺序不变,这样batch的统计量就不同了;SimCLR的解法是计算一个全局的BN值。

3. MLP

在SimCLR以后的工作中都使用了MLP,SimSiam也对它的作用进行了探究:

可以看到不使用MLP基本没效果可言。作者通过实验发现:MLP可能承担了估计整体期望的功能。这同SimCLR最初增加MLP时的发现是一致的,核心思想还是过滤表示中的无效特征,得到本质,服务于“对比”任务。

总结

对比学习在2020年异常火爆,CV领域的高质量研究层出不穷,很多都超过了有监督学习的表现。这次我们只介绍了无监督对比学习,实际上它在有监督任务上也有应用,同时NLP、Graph领域也都看得到它的身影。期待CV与NLP领域相互借鉴,碰撞出更好的工作。

参考资料

[1] Contrastive Self-Supervised Learning: https://ankeshanand.com/blog/2020/01/26/contrative-self-supervised-learning.html
[2] 深度学习的互信息:无监督提取特: https://kexue.fm/archives/6024
[3] Momentum Contrast for Unsupervised Visual Representation Learning: https://arxiv.org/pdf/1911.05722.pdf
[4] Big Self-Supervised Models are Strong Semi-Supervised Learners: https://arxiv.org/pdf/2006.10029.pdf
[5] representation learning与clustering的结合(3): SwAV: https://zhuanlan.zhihu.com/p/259975814
[6] Understanding self-supervised and contrastive learning with BYOL: https://untitled-ai.github.io/understanding-self-supervised-contrastive-learning.html


推荐阅读



添加极市小助手微信(ID : cvmart2),备注:姓名-学校/公司-研究方向-城市(如:小极-北大-目标检测-深圳),即可申请加入极市目标检测/图像分割/工业检测/人脸/医学影像/3D/SLAM/自动驾驶/超分辨率/姿态估计/ReID/GAN/图像增强/OCR/视频理解等技术交流群:月大咖直播分享、真实项目需求对接、求职内推、算法竞赛、干货资讯汇总、与 10000+来自港科大、北大、清华、中科院、CMU、腾讯、百度等名校名企视觉开发者互动交流~

△长按添加极市小助手

△长按关注极市平台,获取 最新CV干货

觉得有用麻烦给个在看啦~   
登录查看更多
5

相关内容

【AAAI2021】对比聚类,Contrastive Clustering
专知会员服务
78+阅读 · 2021年1月30日
【2020 最新论文】对比学习中什么应该不是对比的?
专知会员服务
39+阅读 · 2020年8月16日
【视频】几何数据嵌入表示学习,74页ppt
专知会员服务
35+阅读 · 2020年7月24日
【ICML2020】多视角对比图表示学习,Contrastive Multi-View GRL
专知会员服务
80+阅读 · 2020年6月11日
【google】监督对比学习,Supervised Contrastive Learning
专知会员服务
32+阅读 · 2020年4月23日
对比自监督学习
深度学习自然语言处理
35+阅读 · 2020年7月15日
深度度量学习中的损失函数
极市平台
7+阅读 · 2019年10月30日
度量学习中的pair-based loss
极市平台
65+阅读 · 2019年7月17日
再谈人脸识别损失函数综述
人工智能前沿讲习班
14+阅读 · 2019年5月7日
人脸识别损失函数综述(附开源实现)
极市平台
29+阅读 · 2019年3月12日
“噪声对比估计”杂谈:曲径通幽之妙
PaperWeekly
6+阅读 · 2018年6月15日
Arxiv
7+阅读 · 2020年3月1日
Arxiv
8+阅读 · 2019年3月21日
Arxiv
5+阅读 · 2018年6月4日
VIP会员
相关资讯
对比自监督学习
深度学习自然语言处理
35+阅读 · 2020年7月15日
深度度量学习中的损失函数
极市平台
7+阅读 · 2019年10月30日
度量学习中的pair-based loss
极市平台
65+阅读 · 2019年7月17日
再谈人脸识别损失函数综述
人工智能前沿讲习班
14+阅读 · 2019年5月7日
人脸识别损失函数综述(附开源实现)
极市平台
29+阅读 · 2019年3月12日
“噪声对比估计”杂谈:曲径通幽之妙
PaperWeekly
6+阅读 · 2018年6月15日
Top
微信扫码咨询专知VIP会员