赛尔笔记 | 隐马尔可夫模型

2019 年 4 月 19 日 哈工大SCIR

作者:哈工大SCIR硕士生 乐远


隐马尔可夫模型(HMM)是可用于标注问题的统计学习模型,描述由隐藏的马尔可夫链随机生成观测序列的过程,属于生成模型


说到隐马尔可夫模型(HMM),我们先来了解下马尔可夫模型(Markov模型),Markov模型是一种统计模型,广泛地应用在语音识别,词性自动标注,音字转换,概率文法等各个自然语言处理的应用领域。


一. 马尔可夫模型(Markov模型)

是随机变量序列,其中每个随机变量的取值在有限集称为状态空间。Markov特征是

  • 有限历史假设

  • 时间不变性

如果 具有这些特征,那么这个随机变量序列称为一个马尔可夫过程(链)。


Markov的形式化表示:一个马尔可夫模型是一个三元组 ,其中 是状态的集合,是初始状态的概率,是状态间的转移概率。具体例子用图形表示如下,


相应的分别是,

隐马尔可夫模型与马尔可夫模型不同的是各个状态(或者状态转移弧)都有一个输出,但是状态是不可见的

最简单的情形:不同的状态只能有不同的输出,

增加一点灵活性:不同的状态,可以输出相同的输出,

再增加一点灵活性:输出在状态转移中进行,

最大的灵活性:在状态转移中以特定的概率分布输出,


这就得到了我们要讲的隐马尔可夫模型。

二. 隐马尔可夫模型(HMM)

1.HMM的形式化定义

HMM是一个五元组,其中是状态的集合,是输出字符的集合,是初始状态的概率,是状态转移的概率,  是状态转移时输出字符的概率。


一个HMM的例子用图形表示如下,


2. 隐马尔可夫模型的三个基本问题

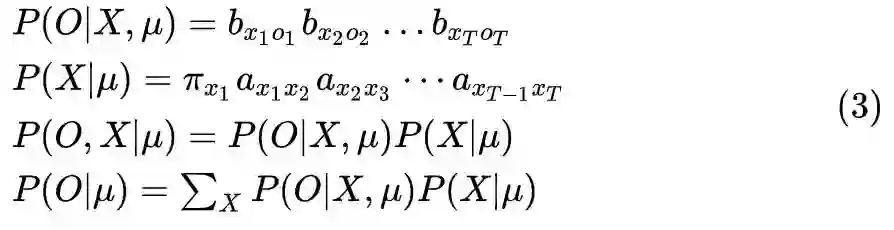
  • 评估问题:给定一个模型 ,如何高效地计算某一输出字符序列的概率

  • 解码问题:给定一个输出字符序列,和一个模型,如何确定产生这一序列概率最大的状态序列

  • 学习问题:给定一个输出字符的序列,如何调整模型的参数使得产生这一序列的概率最大?


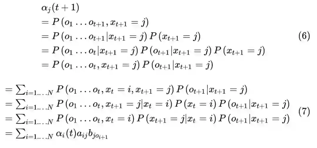
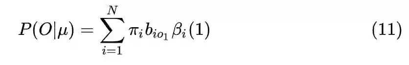
3. 评估问题的解法

已知,计算

我们先来化简一下

  • 方案一:直接计算法

穷举所有可能的的情况,求和得到,但是时间复杂度太高,为


  • 方案二:前向算法(Forward algorithm)

使用动态规划使得算法更高效,定义一个前向变量表示到时刻部分观测序列为且状态为的概率为向前概率,记为

则可以递推得到,

前向过程算法如下,

一个简单的前向过程例子如下,

  • 方案三:向后算法(backward algorithm)

同样的道理,我们定义在时刻状态为的条件下,从的部分观测序列为的概率为后向概率,记作

直接采用递推即可得到后向算法。

后向算法过程如下,

    • 1. 初始化

    • 2. 推导

    • 3. 总和

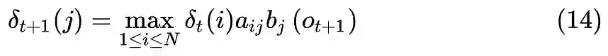
4. 解码问题的解法

给定一个输出字符序列,和一个模型,如何确定产生这一序列概率最大的状态序列?

我们定义表示为在时刻到达状态,输出字符时,输出前面个字符的最可能路径的概率,

则有

这样我们就得到了维特比算法(Viterbi Algorithm),算法过程如下:

一个简单的viterbi算法举例如下,

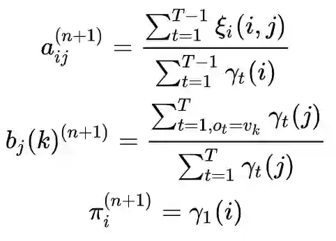
5.  学习问题解法

给定一个输出字符的序列,如何调整模型的参数使得产生这一序列的概率最大?

隐马尔可夫模型的学习,根据训练数据是包括观测数据和对应的状态序列还是只有观测序列,可以分为有监督学习和无监督学习,其中无监督的学习即是利用EM算法思想的Baum-Welch算法。


  • 方案一:有监督学习

假设训练数据包含个长度相同的观测序列和对应的状态序列那么可以利用极大似然估计法来估计隐马尔可夫模型的参数,具体估计方法如下:

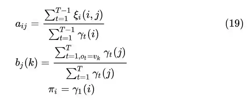
    • 1. 转移概率的估计

设样本中时刻处于状态时刻处于状态的频数为,那么状态转移概率的估计是

    • 2. 观测概率的估计

设样本中状态为并观测为的频数是,那么状态为观测为的概率的估计是

    • 3. 初始状态概率的估计个样本中初始状态为的概

由于监督学习的方法需要使用训练数据,而人工标注的代价往往很高,有时会采用非监督学习的方法。


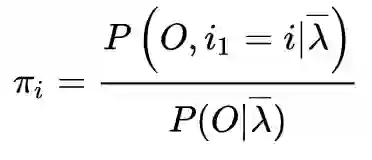
  • 方案二:无监督学习——Baum-Welch算法

假设给定的训练数据只包含个长度为的观测序列而没有对应的状态序列,目标是学习隐马尔可夫模型的参数。我们将观测序列数据看做观测数据状态序列数据看做不可观测数据,那么隐马尔可夫模型事实上是一个包含隐变量的概率模型

它的参数学习可以由EM算法实现。

(算法推导过程)

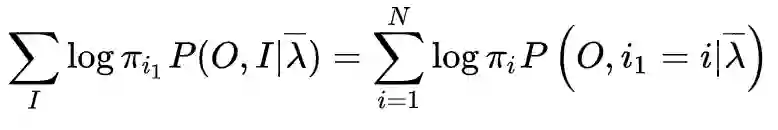
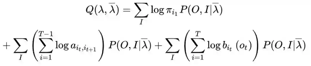
(1) 确定完全数据的对数似然函数 所有观测数据写成所有的隐数据写成,完全数据是。完全数据的对数似然函数是


(2) EM算法的E步:求函数的

其中是隐马尔可夫模型参数的当前估计值,是要极大化的隐马尔可夫模型参数。因为,

所以函数可以拆分写成

式中求和都是对所有训练数据的序列总长度进行的。


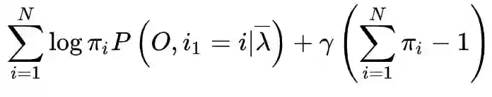
(3) EM算法的M步:极大化函数,求模型参数

由于要极大化的参数在函数式子中单独的出现在三个项中,所以只需要对各项分别极大化。第一项可以写成,

注意到满足,利用拉格朗日乘子法,写出拉格朗日函数

对其求导数并令结果为0,

得到

求和得到,

再代入上式子得到,

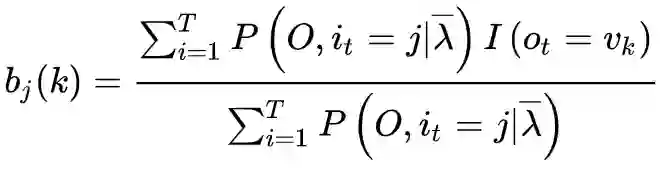
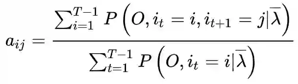
第二项可以写成

类似于第一项,利用具有约束条件的拉格朗日乘子法恶意求出

第三项可以写成,

同样利用拉格朗日乘子法,约束条件是,注意只有在的偏导数才不为0,以表示,得到,

-----

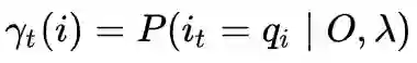
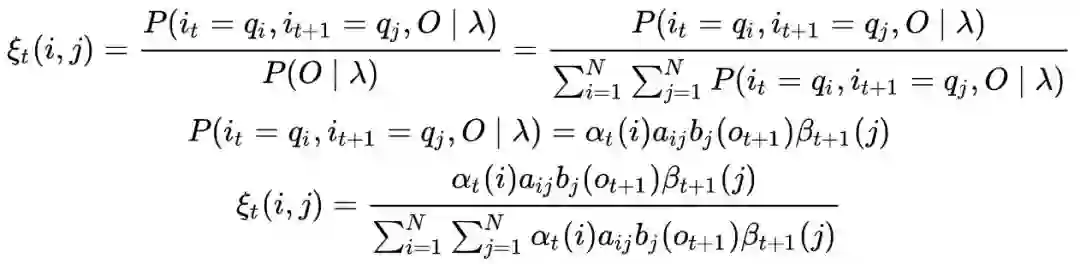
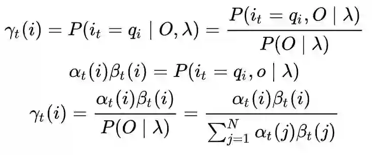
为了简便,我们使用一下式子简化, 给定模型和观测,在时刻处于状态的概率记

有如下公式:

给定模型和观测,在时刻处于状态的概率记 :

有如下推倒:


我们结合上文以及EM算法可以推导如下公式

Baum-Welch算法过程:

输入:观测数据

输出:隐马尔可夫模型参数

1. 初始化。对,选取得到模型

2. 递推。对

3. 终止。得到模型参数



参考资料

[1]公式参考李航《统计学习方法》

[2]图片选自哈尔滨工业大学关毅教授《自然语言处理》课程PPT


本期责任编辑:丁    效

本期编辑:刘元兴




“哈工大SCIR”公众号

主编:车万翔

副主编:张伟男,丁效

责任编辑:张伟男,丁效,刘一佳,崔一鸣

编辑:李家琦,吴洋,刘元兴,蔡碧波,孙卓,赖勇魁


长按下图并点击 “识别图中二维码”,即可关注哈尔滨工业大学社会计算与信息检索研究中心微信公共号:”哈工大SCIR” 。

登录查看更多
3

相关内容

隐马尔可夫模型(Hidden Markov Model,HMM)是统计模型,它用来描述一个含有隐含未知参数的马尔可夫过程。其难点是从可观察的参数中确定该过程的隐含参数。然后利用这些参数来作进一步的分析,例如模式识别。 其是在被建模的系统被认为是一个马尔可夫过程与未观测到的(隐藏的)的状态的统计马尔可夫模型。
【MIT深度学习课程】深度序列建模,Deep Sequence Modeling
专知会员服务
78+阅读 · 2020年2月3日
【强化学习】深度强化学习初学者指南
专知会员服务
184+阅读 · 2019年12月14日
赛尔笔记 | Attention!注意力机制可解释吗?
哈工大SCIR
23+阅读 · 2019年9月27日
赛尔笔记 | 一文读懂图神经网络
哈工大SCIR
83+阅读 · 2019年7月12日
赛尔笔记 | 多人对话语篇解析简介
哈工大SCIR
8+阅读 · 2019年3月2日
赛尔笔记 | BiLSTM介绍及代码实现
哈工大SCIR
23+阅读 · 2018年10月24日
第二章 机器学习中的数学基础
Datartisan数据工匠
12+阅读 · 2018年4月5日
Arxiv
3+阅读 · 2018年10月11日
VIP会员
相关资讯
赛尔笔记 | Attention!注意力机制可解释吗?
哈工大SCIR
23+阅读 · 2019年9月27日
赛尔笔记 | 一文读懂图神经网络
哈工大SCIR
83+阅读 · 2019年7月12日
赛尔笔记 | 多人对话语篇解析简介
哈工大SCIR
8+阅读 · 2019年3月2日
赛尔笔记 | BiLSTM介绍及代码实现
哈工大SCIR
23+阅读 · 2018年10月24日
第二章 机器学习中的数学基础
Datartisan数据工匠
12+阅读 · 2018年4月5日
Top
微信扫码咨询专知VIP会员