统计检验是统计学的主要问题之一,在工程、信号处理、医学、金融等领域有着广泛的应用。传统的假设检验问题中,需要检验的假设分布是已知的。然而,在实践中,真实的分布很难获得。本文研究了具有未知分布的假设检验问题。在本文的第一部分中,我们考虑了独立分布和马尔可夫来源之间的不匹配二元假设检验问题。我们分析了当产生观测值的实际分布不同于在复合设置中的似然比检验、顺序概率比检验和Hoeffding的广义似然比检验中使用的分布时,成对误差概率指数之间的权衡。当真实分布在检验分布的一个小散度球内时,我们定义了每个检验相对于匹配误差指数的最坏情况误差指数。此外,我们考虑了对手篡改观测数据的情况,同样是在观测类型的发散球内。实验表明,这些测试对分布失配比对抗性观察篡改更敏感。在本文的下一部分中,我们提出了一个内曼-皮尔逊设置中的复合假设检验,其中零分布是已知的,替代分布属于某个分布族。该检验在Hoeffding检验和似然比检验之间进行插值,实现了家族中每个分布的最优误差指数权衡。此外,所提出的测试表明可以获得

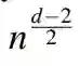
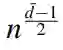
的第I类错误概率预因子,其中

是投影到以零分布为中心的相对熵球上的分布族的维数。这可以显著小于由Hoeffding’s检验实现的预因子

,其中d是概率单纯形的维度。此外,所提出的测试实现了家族中每个分布的最优

型错误概率预因子。 最后,考虑了二分类内曼-皮尔逊分类的通用分类,其中零分布是已知的,而备用分布只有一个训练序列。该分类器在Hoeffding’s分类器和似然比测试之间进行插值,并获得与似然比测试相同的错误概率预因子,即当两个分布都已知时,具有相同的预因子。此外,与Hoeffding的通用分类器一样,当训练样本与观测样本之比超过某一值时,该分类器可以通过似然比检验获得最优的误差指数折衷。本文提出了训练与观测比的上界和下界。此外,我们提出了一个序列分类器,以达到最优的错误指数折衷。我们还考虑了在尼曼-皮尔逊(Neyman-Pearson)环境下两个分布都未知时的极小极大设置下的分类问题。本文提出的分类器,可以渐进地在ii型和i型错误指数之间实现预定的比例。

https://www.repository.cam.ac.uk/handle/1810/345452

成为VIP会员查看完整内容
26

相关内容

剑桥大学(英语:University of Cambridge;勋衔:Cantab)为一所座落于英国剑桥郡剑桥市的研究型大学。它是英语世界中历史第二悠久的大学,也是世界现存第四古老的大学。剑桥大学的起源为一群牛津大学的学者,因与牛津市民发生冲突而移居至剑桥。剑桥与牛津这两所在中世纪建立的英国大学,在校务运作、学术声望、社会地位等多方面都非常相似,经常合称为“牛剑”
【CMU博士论文】黑盒和多目标优化策略,151页pdf
专知会员服务
52+阅读 · 2022年11月24日
【华盛顿大学博士论文】因果模型的似然分析,190页pdf
专知会员服务
35+阅读 · 2022年11月14日
【MIT博士论文】实用机器学习的高效鲁棒算法,142页pdf
专知会员服务
60+阅读 · 2022年9月7日
【ETH博士论文】贝叶斯深度学习,241页pdf
专知会员服务
131+阅读 · 2022年1月16日
国家自然科学基金
1+阅读 · 2015年12月31日
国家自然科学基金
2+阅读 · 2013年12月31日
国家自然科学基金
3+阅读 · 2012年12月31日
国家自然科学基金
8+阅读 · 2012年12月31日
国家自然科学基金
1+阅读 · 2012年12月31日
Arxiv
0+阅读 · 2023年3月29日
Arxiv
0+阅读 · 2023年3月28日
VIP会员
相关VIP内容
【CMU博士论文】黑盒和多目标优化策略,151页pdf
专知会员服务
52+阅读 · 2022年11月24日
【华盛顿大学博士论文】因果模型的似然分析,190页pdf
专知会员服务
35+阅读 · 2022年11月14日
【MIT博士论文】实用机器学习的高效鲁棒算法,142页pdf
专知会员服务
60+阅读 · 2022年9月7日
【ETH博士论文】贝叶斯深度学习,241页pdf
专知会员服务
131+阅读 · 2022年1月16日
相关基金
国家自然科学基金
1+阅读 · 2015年12月31日
国家自然科学基金
2+阅读 · 2013年12月31日
国家自然科学基金
3+阅读 · 2012年12月31日
国家自然科学基金
8+阅读 · 2012年12月31日
国家自然科学基金
1+阅读 · 2012年12月31日
微信扫码咨询专知VIP会员