大学微积分入门 合集

2017 年 8 月 12 日 遇见数学 单维彰
 

遇见数学

微积分其实没那么可怕,如果你能找到它来时的路. 

设计丨公理       动图丨李想


特色与重点:所衔接高中生所学之多项式计算(如综合除法),阐述微积分与多项式的连结,从而导出讨论极限的动机,并指出微分和积分为物理观念提供的模型,经由此模型直觉的认识微积分基本定理。推荐先观看每个小节下链接里视频, 再看整理后的笔记内容. 



1

微积分是什么

>>> 视频播放链接

Calculus(单数)

图片中间仙女后背的彩带写着拉丁文"算数", 左边一位正在使用刚传入欧洲的阿拉伯数字进行计算, 而右边那位正在用计算板算着什么, 其中上面用来做辅助计算的小石头就是 Calculus .     


其实 Calculus 是单数. 

它的复数是 Calculi, 现在又译为结石. 


Calculus:  名词, 计算方法

Calculate: 动词, 计算


1684年,莱布尼茨在汉诺威担任图书馆馆长期间,发表了论文《一种求极大值、极小值和切线的新方法》, 这是世上第一篇公开发表的微分学论文. 


Calculus 透过对"无穷"的理解与掌握发展出来的一套计算方法. 


Calculus 分为两大类: 

  • Differential Calculus(微分)

  • Integral Calculus(积分)



2

函数 vs 微分

>>> 视频播放链接

瞬时的速度究竟在数学用极限来表示. 

"导数测量的是瞬时变化率"这样的表述其实是有问题的,因为总是需要拿出两个时间点来做比较才能求出变化量. 所以函数在某点的导数还是视为在该点附近变化率的最佳近似好了. 



3

面积 vs 积分

>>> 视频播放链接

积分和导数已成为高等数学中最基本的工具,并在自然科学和工程学中得到广泛运用. 积分的一个严格的数学定义由波恩哈德·黎曼给出,称为“黎曼积分”. 黎曼的定义运用了极限的概念,把曲边梯形设想为一系列矩形组合的极限. 



4

多项式函数

>>> 视频播放链接

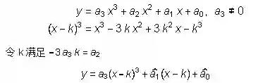
二次多项式函数

任意的 2 次多项式都可以经过配方转换为下面的形:


二次函数必有极值, 且图形都是简单二次函数图形 a x^2 平移的结果

三次多项式函数

它的图形是三次函数 y=a x^3+b x 的平移, 下面是一个示例, 这样的函数是奇函数,拐点(Inflection point, 台:反曲点)在(0,0)处, 而经过向左平移2, 向上平移 3 后的函数拐点在(2,3)处. 

三次函数与二次函数不同之处:

  • 三次函数一定会有拐点;

  • 二次函数一定会有极值, 三次函数不一定有极值;



5

泰勒展开式与升降幂排列

>>> 视频播放链接

利用综合除法来找出三次多项式的泰勒展开式, 关于综合除法可以查看此链接下视频中的介绍(先要了解综合除法, 否则下面课程理解会有困难). 



6

极小范围的函数图形

>>> 视频播放链接

以 f(x)=x^3-x^2-x-1 多项式以 1 为参考点的泰勒形式. 

更一般的情形如下:

但是如何得知 c1 什么时候为 0 呢? 利用微分计算方法可以求出, 会在下一小节看到. 



7

n 次函数的极值

>>> 视频播放链接

我们也就知道在这两个地方可能发生了极值, 但是极大值还是极小值, 但是还需要观察泰勒展开式的 c2 正负. 

但是我们已经看到了微分的计算方法可以系统化处理所有 n 次多项式函数在哪些地方有极值, 并且判断是极大值还是极小值. 



8

积分与微积分基本定理

>>> 视频播放链接

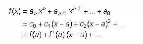
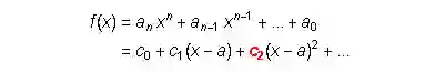
我们知道任何一个多项式函数通过连续做综合除法都可以转成泰勒级数的形式,(a 为参考点)

f'(x) 是 f(x) 微分一次的结果, 称为 f 的(一次)导函数, f'(a) 称为 f 在 a 的(一次)导数.


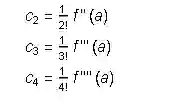
接着上次的话题, 如何求 c2 呢? 方法一: 

c2 方法二: 

结论: 存在二阶导数且在驻点处的 f''(a)<0, 则为极大值,  f''(a)>0, 则为极小值, 



9

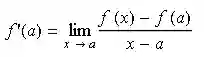
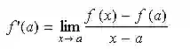
导函数在 a 点的解

>>> 视频播放链接

或者按照极限的定义是:



10

导函数公式的推广

>>> 视频播放链接

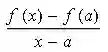
极限就是要设法算出下面式子的值: 

或者转成等价的形式:



11

数学函数 vs 物理运动

>>> 视频播放链接

瞬时速度

y = f(x) 是位移函数, 自变量 x 是时间. 求 y 在 [x,a] 时间内的平均速度:

如果求瞬时速度的话, 也就是需要计算 x=a 时刻速度, 简言之要用到数学上极限的观念:


12

结语

>>> 视频播放链接

微积分其实给了我们一整套的方法来解决数学, 物理问题的技巧. 在自然科学中, 如果发现一个量与自己的变化率成正比的这种现象, 然后运用微积分的方法 - (不定)积分, 来求解原函数究竟是怎样的. 


牛顿冷却定律(Newton's Law of Cooling)

牛顿冷却定律是由英国物理学家艾萨克•牛顿爵士(1642-1727)所提出的一个经验性的关系。


一个较周围热的物体温度为T,忽略表面积以及外部介质性质和温度的变化.温度的变化率(dT/dt)与该物体的温度与周围环境的温度T0的差(T-T0)成正比. T=T(t) T: °C , t:min 

求解上面微分方程, 

其中c1 为积分常数, 将物体的初温带入后可以求得其他系数得到T(t)函数. 再来代入 t 的值,就可以算出某个时间物体的温度了. 这样的牛顿冷却定律揭示了任何物体冷却共同遵守的数学规律,并且在提出后应用于各学科研究直到至今。



ps:愿你的那段学习微积分的时光,终将变得有意义. 

再ps:如果你觉得学习之路有些孤单,那么,从今天开始,请与我们同伴,一起前行.

注: 小编也强力推荐《微积分的本质 合集》文章来通过几何图形可视化方法来学习微积分最核心的概念部分. 再或者很快[遇见数学]会推出单教授的其他微积分课程, 敬请关注!


注: 参考维基中文


[遇见数学] 下期预告

8 月 14 日

看邮票说数学的大历史》- 文脉数学06

14 - 马丁·加德纳:数学世界的无冕之王

15 / 16 - 

  • 苏美泥板上的毕式定理

  • 古埃及纸草捲上的计算书记:文字最初之用途、艺术的出现及数学的艺术、古埃及生活与几何学的出现

  • 古中国割圆术(圆週率)的计算及MICRONESIA

  • 古希腊数学发展及其代表人物、谈欧洲黑暗时代




遇见数学

拨开知识的层层密林,探寻美妙数学中的趣味.

感谢有你,伴我前行 

欢迎订阅 [遇见数学]

✬非常感谢您关注支持本号更快发展! 

登录查看更多
3

相关内容

【纽约大学】最新《离散数学》笔记,451页pdf
专知会员服务
131+阅读 · 2020年5月26日
机器学习入门 | 刷新你三观的高数和线代教程
大数据技术
21+阅读 · 2019年3月22日
那些值得推荐和收藏的线性代数学习资源
合集 | 更好的解释(数学篇) 1~12
遇见数学
31+阅读 · 2018年10月11日
图解高等数学|线性代数
遇见数学
39+阅读 · 2017年10月18日
【基础数学】- 01
遇见数学
20+阅读 · 2017年7月25日
How to Fine-Tune BERT for Text Classification?
Arxiv
13+阅读 · 2019年5月14日
HAQ: Hardware-Aware Automated Quantization
Arxiv
6+阅读 · 2018年11月21日
Arxiv
6+阅读 · 2018年4月4日
VIP会员
相关资讯
机器学习入门 | 刷新你三观的高数和线代教程
大数据技术
21+阅读 · 2019年3月22日
那些值得推荐和收藏的线性代数学习资源
合集 | 更好的解释(数学篇) 1~12
遇见数学
31+阅读 · 2018年10月11日
图解高等数学|线性代数
遇见数学
39+阅读 · 2017年10月18日
【基础数学】- 01
遇见数学
20+阅读 · 2017年7月25日
相关论文
How to Fine-Tune BERT for Text Classification?
Arxiv
13+阅读 · 2019年5月14日
HAQ: Hardware-Aware Automated Quantization
Arxiv
6+阅读 · 2018年11月21日
Arxiv
6+阅读 · 2018年4月4日
Top
微信扫码咨询专知VIP会员