生成扩散模型漫谈:DDIM = 高观点DDPM

2022 年 8 月 4 日 PaperWeekly


©PaperWeekly 原创 · 作者 | 苏剑林
单位 | 追一科技
研究方向 | NLP、神经网络

相信很多读者都听说过甚至读过克莱因的《高观点下的初等数学》[1] 这套书,顾名思义,这是在学到了更深入、更完备的数学知识后,从更高的视角重新审视过往学过的初等数学,以得到更全面的认知,甚至达到温故而知新的效果。类似的书籍还有很多,比如《重温微积分》[2]、《复分析:可视化方法》[3] 等。 

回到扩散模型,目前我们已经通过三篇文章从不同视角去解读了DDPM,那么它是否也存在一个更高的理解视角,让我们能从中得到新的收获呢?当然有,《Denoising Diffusion Implicit Models》[4] 介绍的 DDIM 模型就是经典的案例,本文一起来欣赏它。




思路分析

在《生成扩散模型漫谈:DDPM = 贝叶斯 + 去噪》中,我们提到过该文章所介绍的推导跟 DDIM 紧密相关。具体来说,文章的推导路线可以简单归纳如下:


这个过程是一步步递进的。然而,我们发现最终结果有着两个特点:
1. 损失函数只依赖于
2. 采样过程只依赖于
也就是说,尽管整个过程是以 为出发点一步步往前推的,但是从结果上来看,压根儿就没 的事。那么,我们大胆地“异想天开”一下:
高观点1: 既然结果跟 无关,可不可以干脆“过河拆桥”,将 从整个推导过程中去掉?
DDIM 正是这个“异想天开”的产物!




待定系数
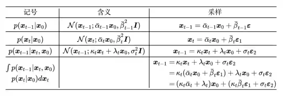
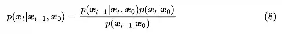
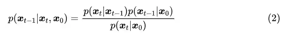
可能有读者会想,根据上一篇文章所用的贝叶斯定理:


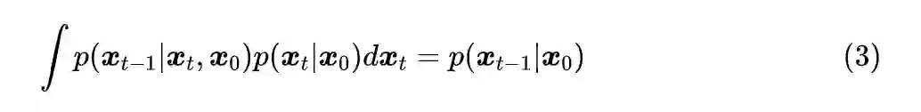
没有给定 怎么能得到 ?这其实是思维过于定式了,理论上在没有给定 的情况下, 的解空间更大,某种意义上来说是更加容易推导,此时它只需要满足边际分布条件:

我们用待定系数法来求解这个方程。在上一篇文章中,所解出的 是一个正态分布,所以这一次我们可以更一般地设:

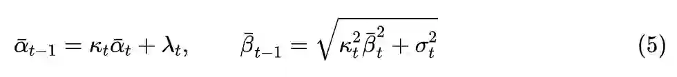
其中 都是待定系数,而为了不重新训练模型,我们不改变 ,于是我们可以列出:

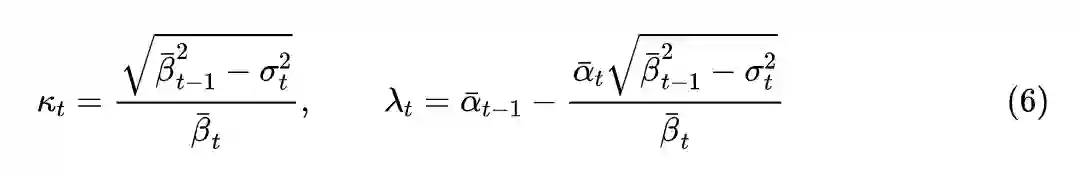
其中 并且由正态分布的叠加性我们知道 对比 的两个采样形式,我们发现要想(1)成立,只需要满足两个方程:

可以看到有三个未知数,但只有两个方程,这就是为什么说没有给定 时解空间反而更大了。将 视为可变参数,可以解出:

或者写成:

方便起见,我们约定  特别地,这个结果并不需要限 不过为了简化参数设置,同时也为了跟以往的结果对齐,这里还是约定 




一如既往
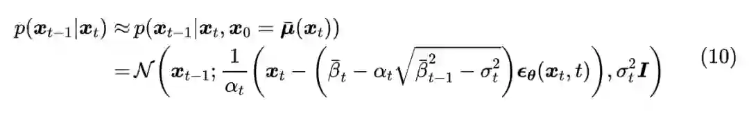
现在我们在只给定 的情况下,通过待定系数法求解了 的一簇解,它带有一个自由参数 。用《生成扩散模型漫谈:DDPM = 拆楼 + 建楼》中的“拆楼-建楼”类比来说,就是我们知道楼会被拆成什么样【 】,但是不知道每一步怎么拆【 】,然后希望能够从中学会每一步怎么建【 】。当然,如果我们想看看每一步怎么拆的话,也可以反过来用贝叶斯公式:

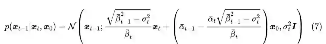
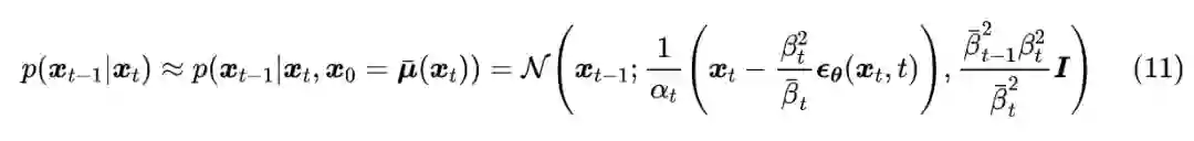
接下来的事情,就跟上一篇文章一模一样了:我们最终想要 而不是 ,所以我们希望用:

来估计 ,由于没有改动 ,所以训练所用的目标函数依然 除去权重系数),也就是说训练过程没有改变,我们可以用回 DDPM 训练好的模型。而用 替换掉式(7)中的  ,得到:

这就求出了生成过程所需要的 。它的特点是训练过程没有变化(也就是说最终保存下来的模型没有变化),但生成过程却有一个可变动的参数 ,就是这个参数给 DDPM 带来了新鲜的结果。



几个例子
原则上来说,我们对 没有过多的约束,但是不同 的采样过程会呈现出不同的特点,我们举几个例子进行分析。
第一个简单例子就是取 ,其中  相应地有:

这就是上一篇文章所推导的 DDPM。特别是,DDIM 论文中还对 做了对比实验,其中
第二个例子就是取 ,这也是前两篇文章所指出的 的两个选择之一,在此选择下式(10)未能做进一步的化简,但 DDIM 的实验结果显示此选择在 DDPM 的标准参数设置下表现还是很好的。
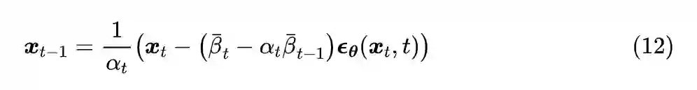
最特殊的一个例子是取 ,此时从 是一个确定性变换:

这也是 DDIM 论文中特别关心的一个例子,准确来说,原论文的 DDIM 就是特指 的情形,其中“I”的含义就是“Implicit”,意思这是一个隐式的概率模型,因为跟其他选择所不同的是,此时从给定的 出发,得到的生成结果 是不带随机性的。后面我们将会看到,这在理论上和实用上都带来了一些好处。



加速生成
值得指出的是,在这篇文章中我们没有以 为出发点,所以前面的所有结果实际上全都是以 相关记号给出的,而 则是通过 和  派生出来的记号。从损失函数  可以看出,给定了各个 ,训练过程也就确定了。
从这个过程中,DDIM 进一步留意到了如下事实:
高观点2:DDPM 的训练结果实质上包含了它的任意子序列参数的训练结果。 具体来说,设 的任意子序列,那么我们以 为参数训练一个扩散步数为 步的 DDPM,其目标函数实际上是原来以 的 T 步 DDPM 的目标函数的一个子集!所以在模型拟合能力足够好的情况下,它其实包含了任意子序列参数的训练结果。
那么反过来想,如果有一个训练好的 T 步 DDPM 模型,我们也可以将它当成是以 为参数训练出来的 步模型,而既然是 步的模型,生成过程也就只需要 步了,根据式(10)有:

这就是加速采样的生成过程了,从原来的 T 步扩散生成变成了 步。要注意不能直接将式(10)的 换成 ,因为我们说过 是派生记号而已,它实际上等于 ,因此 要换成 才对。同理, 也不是直接取 ,而是在将其定义全部转化为 符号后,将 t 替换为 替换为 ,比如式(11)对应的 为:

可能读者又想问,我们为什么干脆不直接训练一个 步的扩散模型,而是要先训练 步然后去做子序列采样?笔者认为可能有两方面的考虑:一方面从 步生成来说,训练更多步数的模型也许能增强泛化能力;另一方面,通过子序列 进行加速只是其中一种加速手段,训练更充分的 T 步允许我们尝试更多的其他加速手段,但并不会显著增加训练成本。




实验结果
原论文对不同的噪声强度和扩散步数 做了组合对比,大致上的结果是“噪声越小,加速后的生成效果越好”,如下图:


▲  DDIM 的实验结果,显示噪声越小,加速后的生成效果越好


笔者的参考实现如下:

https://github.com/bojone/Keras-DDPM/blob/main/ddim.py
个人的实验结论是:
1. 可能跟直觉相反,生成过程中的 越小,最终生成图像的噪声和多样性反而相对来说越大;
2. 扩散步数 越少,生成的图片更加平滑,多样性也会有所降低;
3. 结合 1、2 两点得知,在扩散步数 减少时,可以适当缩小 $\sigma_t,以保持生成图片质量大致不变,这跟 DDIM 原论文的实验结论是一致的;
4. 在 较小时,相比可训练的 Embedding 层,用固定的 Sinusoidal 编码来表示 t 所生成图片的噪声要更小;
5. 在 较小时,原论文的 U-Net 架构(Github 中的 ddpm2.py [5])要比笔者自行构思的 U-Net 架构(Github 中的 ddpm.py [6])所生成图片的噪声要更小;
6. 但个人感觉,总体来说不带噪声的生成过程的生成效果不如带噪声的生成过程,不带噪声时生成效果受模型架构影响较大。
此外,对于 时的 DDIM,它就是将任意正态噪声向量变换为图片的一个确定性变换,这已经跟 GAN 几乎一致了,所以跟 GAN 类似,我们可以对噪声向量进行插值,然后观察对应的生成效果。但要注意的是,DDPM 或 DDIM 对噪声分布都比较敏感,所以我们不能用线性插值而要用球面插值,因为由正态分布的叠加性,如果 一般就不服从 ,要改为:

插值效果演示(笔者自己训练的模型):


▲ DDIM随机向量的插值生成效果



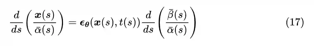
微分方程

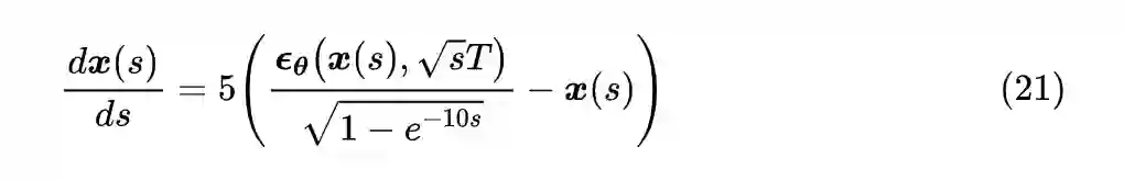
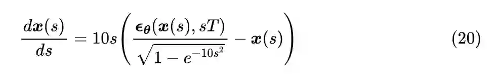
最后,我们来重点分析一下 的情形。此时(12)可以等价地改写成:

当 T 足够大,或者说 足够小时,我们可以将上式视为某个常微分方程的差分形式。特别地,引入虚拟的时间参数 s,我们得到:
不失一般性,假设 ,其中 对应 对应 。注意 DDIM 原论文直接用 作为虚拟时间参数,这原则上是不大适合的,因为它的范围是 ,无界的区间不利于数值求解。
那么现在我们要做的事情就是在给定 的情况下,去求解出 。而 DDPM 或者 DDIM 的迭代过程,对应于该常微分方程的欧拉方法 [7] 。众所周知欧拉法的效率相对来说是最慢的,如果要想加速求解,可以用 Heun 方法 [8] 、R-K 方法 [9] 等。也就是说,将生成过程等同于求解常微分方程后,可以借助常微分方程的数值解法,为生成过程的加速提供更丰富多样的手段。
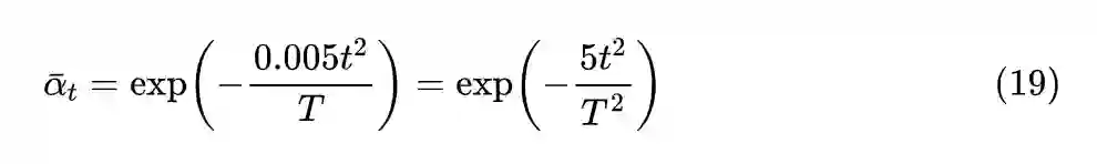
以DDPM 的默认参数 T=1000、 为例,我们重复《生成扩散模型漫谈:DDPM = 拆楼 + 建楼》所做的估计:


事实上,由于每个 都很接近于 1,所以上述估计其实也是一个很好的近似。而我们说了本文的出发点是 ,所以应该以 为起点,根据上述近似,我们可以直接简单地取:

如果取 为参数,那么正好 ,此时 ,代入到式(17)化简得:


也可以取 为参数,此时也有 ,以及 ,代入到式(17)化简得:



文章小结


本文接着上一篇 DDPM 的推导思路来介绍了 DDIM,它重新审视了 DDPM 的出发点,去掉了推导过程中的 ,从而获得了一簇更广泛的解和加速生成过程的思路,最后这簇新解还允许我们将生成过程跟常微分方程的求解联系起来,从而借助常微分方程的方法进一步对生成过程进行研究。

参考文献

[1] https://book.douban.com/subject/3249247/

[2] https://book.douban.com/subject/1239791/

[3] https://book.douban.com/subject/3788399/

[4] https://arxiv.org/abs/2010.02502

[5] https://github.com/bojone/Keras-DDPM/blob/main/ddpm2.py

[6] https://github.com/bojone/Keras-DDPM/blob/main/ddpm.py

[7] https://en.wikipedia.org/wiki/Euler_method

[8] https://en.wikipedia.org/wiki/Heun%27s_method

[9] https://en.wikipedia.org/wiki/Runge%E2%80%93Kutta_methods


更多阅读



#投 稿 通 道#

 让你的文字被更多人看到 



如何才能让更多的优质内容以更短路径到达读者群体,缩短读者寻找优质内容的成本呢?答案就是:你不认识的人。


总有一些你不认识的人,知道你想知道的东西。PaperWeekly 或许可以成为一座桥梁,促使不同背景、不同方向的学者和学术灵感相互碰撞,迸发出更多的可能性。 


PaperWeekly 鼓励高校实验室或个人,在我们的平台上分享各类优质内容,可以是最新论文解读,也可以是学术热点剖析科研心得竞赛经验讲解等。我们的目的只有一个,让知识真正流动起来。


📝 稿件基本要求:

• 文章确系个人原创作品,未曾在公开渠道发表,如为其他平台已发表或待发表的文章,请明确标注 

• 稿件建议以 markdown 格式撰写,文中配图以附件形式发送,要求图片清晰,无版权问题

• PaperWeekly 尊重原作者署名权,并将为每篇被采纳的原创首发稿件,提供业内具有竞争力稿酬,具体依据文章阅读量和文章质量阶梯制结算


📬 投稿通道:

• 投稿邮箱:hr@paperweekly.site 

• 来稿请备注即时联系方式(微信),以便我们在稿件选用的第一时间联系作者

• 您也可以直接添加小编微信(pwbot02)快速投稿,备注:姓名-投稿


△长按添加PaperWeekly小编




🔍


现在,在「知乎」也能找到我们了

进入知乎首页搜索「PaperWeekly」

点击「关注」订阅我们的专栏吧


·

登录查看更多
5

相关内容

扩散模型是近年来快速发展并得到广泛关注的生成模型。它通过一系列的加噪和去噪过程,在复杂的图像分布和高斯分布之间建立联系,使得模型最终能将随机采样的高斯噪声逐步去噪得到一张图像。
12篇顶会论文,深度学习时间序列预测经典方案汇总!
专知会员服务
55+阅读 · 2022年4月11日
专知会员服务
143+阅读 · 2020年12月3日
自回归模型:PixelCNN
专知会员服务
28+阅读 · 2020年3月21日
生成扩散模型漫谈:DDPM = 贝叶斯 + 去噪
PaperWeekly
1+阅读 · 2022年7月24日
生成扩散模型漫谈:DDPM = 自回归式VAE
PaperWeekly
2+阅读 · 2022年7月10日
多任务学习漫谈:分主次之序
PaperWeekly
0+阅读 · 2022年3月7日
再谈变分自编码器(VAE):估计样本概率密度
PaperWeekly
3+阅读 · 2021年12月23日
国家自然科学基金
0+阅读 · 2015年12月31日
国家自然科学基金
0+阅读 · 2013年12月31日
国家自然科学基金
1+阅读 · 2013年12月31日
国家自然科学基金
2+阅读 · 2012年12月31日
国家自然科学基金
0+阅读 · 2011年12月31日
Arxiv
11+阅读 · 2018年3月23日
VIP会员
相关资讯
生成扩散模型漫谈:DDPM = 贝叶斯 + 去噪
PaperWeekly
1+阅读 · 2022年7月24日
生成扩散模型漫谈:DDPM = 自回归式VAE
PaperWeekly
2+阅读 · 2022年7月10日
多任务学习漫谈:分主次之序
PaperWeekly
0+阅读 · 2022年3月7日
再谈变分自编码器(VAE):估计样本概率密度
PaperWeekly
3+阅读 · 2021年12月23日
相关基金
国家自然科学基金
0+阅读 · 2015年12月31日
国家自然科学基金
0+阅读 · 2013年12月31日
国家自然科学基金
1+阅读 · 2013年12月31日
国家自然科学基金
2+阅读 · 2012年12月31日
国家自然科学基金
0+阅读 · 2011年12月31日
Top
微信扫码咨询专知VIP会员