【直观详解】拉格朗日乘法和KKT条件

2017 年 11 月 20 日 机器学习研究会

【阅读时间】8min - 10mun

【内容简介】直观的解读了什么是拉格朗日乘子法,以及如何求解拉格朗日方程,并且给出几个直观的例子,针对不等式约束解读了KKT条件的必要条件和充分条件

1
What & Why


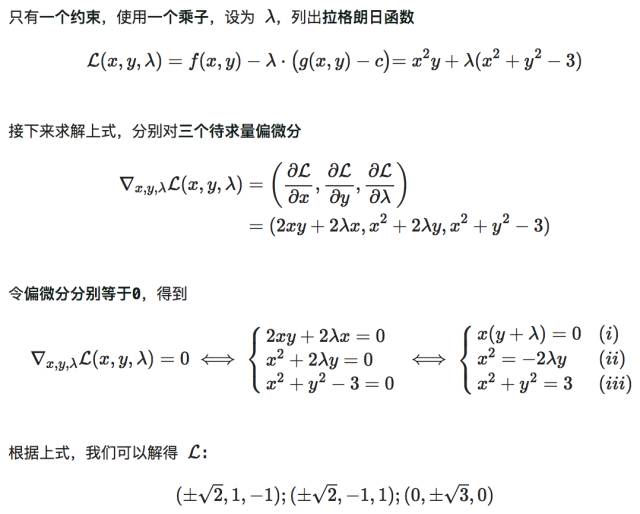
拉格朗日乘法(Lagrange multiplier)是一种在最优化的问题中寻找多元函数在其变量受到一个或多个条件的相等约束时的求局部极值的方法。这种方法可以将一个有 n 个变量和 k 个约束条件的最优化问题转换为一个解有 n+k 个变量的方程组的解的问题

考虑一个最优化问题

2
 How

那么如何求这个极值点呢?

单约束

例子1

设一个具体的例子,我们需要求下列问题

根据几个不同的解带入f(x,y)得到,2,-2,0,也就是我们需要的最大值,最小值,对应的直观图像解释如下图所示(非常直观的展现约束和等高线的含义


转自:机器学习算法与自然语言处理


完整内容请点击“阅读原文”

登录查看更多
2

相关内容

【斯坦福】凸优化圣经- Convex Optimization (附730pdf下载)
专知会员服务
230+阅读 · 2020年6月5日
机器学习速查手册,135页pdf
专知会员服务
345+阅读 · 2020年3月15日
谷歌机器学习速成课程中文版pdf
专知会员服务
147+阅读 · 2019年12月4日
从零推导支持向量机 (SVM)
AI科技评论
10+阅读 · 2019年2月7日
博客 | 机器学习中的数学基础(凸优化)
AI研习社
14+阅读 · 2018年12月16日
条件概率和贝叶斯公式 - 图解概率 03
遇见数学
10+阅读 · 2018年6月5日
SVM大解密(附代码和公式)
机器学习算法与Python学习
6+阅读 · 2018年5月22日
入门 | 这是一份文科生都能看懂的线性代数简介
机器之心
14+阅读 · 2018年3月31日
【机器学习数学基础】动图解释泰勒级数(一)
机器学习研究会
6+阅读 · 2018年2月25日
机器之心最干的文章:机器学习中的矩阵、向量求导
深度学习世界
12+阅读 · 2018年2月7日
【直观详解】什么是PCA、SVD
机器学习研究会
5+阅读 · 2017年11月10日
【直观详解】支持向量机SVM
机器学习研究会
18+阅读 · 2017年11月8日
机器学习(19)之支持向量回归机
机器学习算法与Python学习
12+阅读 · 2017年10月3日
Bivariate Beta LSTM
Arxiv
6+阅读 · 2019年10月7日
Learning to Importance Sample in Primary Sample Space
The Matrix Calculus You Need For Deep Learning
Arxiv
12+阅读 · 2018年7月2日
Arxiv
8+阅读 · 2018年5月1日
VIP会员
相关资讯
从零推导支持向量机 (SVM)
AI科技评论
10+阅读 · 2019年2月7日
博客 | 机器学习中的数学基础(凸优化)
AI研习社
14+阅读 · 2018年12月16日
条件概率和贝叶斯公式 - 图解概率 03
遇见数学
10+阅读 · 2018年6月5日
SVM大解密(附代码和公式)
机器学习算法与Python学习
6+阅读 · 2018年5月22日
入门 | 这是一份文科生都能看懂的线性代数简介
机器之心
14+阅读 · 2018年3月31日
【机器学习数学基础】动图解释泰勒级数(一)
机器学习研究会
6+阅读 · 2018年2月25日
机器之心最干的文章:机器学习中的矩阵、向量求导
深度学习世界
12+阅读 · 2018年2月7日
【直观详解】什么是PCA、SVD
机器学习研究会
5+阅读 · 2017年11月10日
【直观详解】支持向量机SVM
机器学习研究会
18+阅读 · 2017年11月8日
机器学习(19)之支持向量回归机
机器学习算法与Python学习
12+阅读 · 2017年10月3日
Top
微信扫码咨询专知VIP会员