【ACL2020】基于语境的文本分类弱监督学习

2021 年 1 月 12 日 深度学习自然语言处理

作者:丁磊 (北京工业大学)

paper: Contextualized Weak Supervision for Text Classification

高成本的人工标签使得弱监督学习备受关注。seed-driven 是弱监督学习中的一种常见模型。该模型要求用户提供少量的seed words,根据seed words对未标记的训练数据生成伪标签,增加训练样本。

但是由于一词多义现象的存在,同一个seed word会出现在不同的类别中,从而增加生成正确伪标签的难度;同时,单词w在语料库中的所有位置都使用一个的词向量,也会降低分类模型的准确性。

而本篇论文主要贡献有:

  1. 开发一种无监督的方法,可以根据词向量和seed words,解决语料库中单词的一词多义问题。

  2. 设计一种排序机制,消除seed words中一些无效的单词;并将有效的单词扩充进seed words中。

模型整体结构为:

第一步:使用聚类算法解决语料库中单词的一词多义问题

对于每一个单词 w, 假设w出现在语料库的n个不同位置, 分别为 ,使用K-Means算法将 分成K类,这里K可理解为单词w的K个不同解释。

用下列公式计算K的值:

其中 代表第i个聚类中心的向量。 的计算方法如下:

这里s表示一个seed word,且 表示s在语料库第i次出现,对应的词向量为

sim() 表示余弦函数,median( )表示取中位数。

则对于任意 ,有

综上,一词多义问题解决算法如下:

使用上面算法,我们就可以将原始语料库转变为基于语境下的语料库:

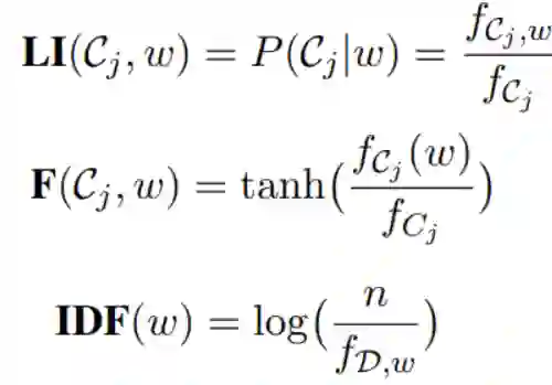
第二步:对未标记的训练数据生成伪标签 表示文档d的伪标签; 表示类别为 的seed word 集合; 表示单词w出现在文档d的词频

第三步:使用基于语境下的语料库进行文档分类

本篇论文使用Hierarchical Attention Networks (HAN) 进行文本分类。

第四步:设计排序函数,更新seed words我们设计出一个打分函数 ,用于表示单词w仅高频的出现在类别为 的文档。分值越高,表示单词w对类别 越重要。我们可以选择分值最高的前几个单词作为新的seed word。也可以剔除一些不重要的seed word。

其中:

表示类别为 的文档的数量。 表示类别为 且含有单词w的文档的数量。 表示在类别为 的文档中,单词w的词频。

n为语料库D的文档总数目 表示语料库D中含有单词w的文档的数量。

结果

我们的完整模型称为 ConWea,

而 ConWea-NoCon是 ConWea确实缺少第一步的变体。

ConWea-NoExpan是 ConWea确实缺少第四步的变体。

ConWea-WSD是将 ConWea第一步的方法换成Lesk算法。




说个正事哈



由于微信平台算法改版,公号内容将不再以时间排序展示,如果大家想第一时间看到我们的推送,强烈建议星标我们和给我们多点点【在看】。星标具体步骤为:

(1)点击页面最上方深度学习自然语言处理”,进入公众号主页。

(2)点击右上角的小点点,在弹出页面点击“设为星标”,就可以啦。

感谢支持,比心



投稿或交流学习,备注:昵称-学校(公司)-方向,进入DL&NLP交流群。

方向有很多:机器学习、深度学习,python,情感分析、意见挖掘、句法分析、机器翻译、人机对话、知识图谱、语音识别等

记得备注呦


推荐两个专辑给大家:
专辑 | 李宏毅人类语言处理2020笔记
专辑 | NLP论文解读
专辑 | 情感分析

整理不易,还望给个在看!

登录查看更多
0

相关内容

弱监督学习:监督学习的一种。大致分3类,第一类是不完全监督(incomplete supervision),即,只有训练集的一个(通常很小的)子集是有标签的,其他数据则没有标签。这种情况发生在各类任务中。例如,在图像分类任务中,真值标签由人类标注者给出的。从互联网上获取巨量图片很容易,然而考虑到标记的人工成本,只有一个小子集的图像能够被标注。第二类是不确切监督(inexact supervision),即,图像只有粗粒度的标签。第三种是不准确的监督(inaccurate supervision),模型给出的标签不总是真值。出现这种情况的常见原因有,图片标注者不小心或比较疲倦,或者某些图片就是难以分类。
【NAACL2021】信息解缠正则化持续学习的文本分类
专知会员服务
22+阅读 · 2021年4月11日
【ACL2020】基于图神经网络的文本分类新方法
专知会员服务
69+阅读 · 2020年7月12日
基于多头注意力胶囊网络的文本分类模型
专知会员服务
78+阅读 · 2020年5月24日
【ACL2020-Allen AI】预训练语言模型中的无监督域聚类
专知会员服务
24+阅读 · 2020年4月7日
基于表示模型的文本匹配方法
AINLP
7+阅读 · 2020年5月8日
赛尔原创 | 文本摘要简述
哈工大SCIR
22+阅读 · 2019年3月25日
Word2Vec与Glove:词嵌入方法的动机和直觉
论智
14+阅读 · 2018年6月23日
基于 Doc2vec 训练句子向量
AI研习社
6+阅读 · 2018年5月16日
Arxiv
31+阅读 · 2020年9月21日
Arxiv
3+阅读 · 2019年3月1日
VIP会员
相关VIP内容
【NAACL2021】信息解缠正则化持续学习的文本分类
专知会员服务
22+阅读 · 2021年4月11日
【ACL2020】基于图神经网络的文本分类新方法
专知会员服务
69+阅读 · 2020年7月12日
基于多头注意力胶囊网络的文本分类模型
专知会员服务
78+阅读 · 2020年5月24日
【ACL2020-Allen AI】预训练语言模型中的无监督域聚类
专知会员服务
24+阅读 · 2020年4月7日
相关资讯
基于表示模型的文本匹配方法
AINLP
7+阅读 · 2020年5月8日
赛尔原创 | 文本摘要简述
哈工大SCIR
22+阅读 · 2019年3月25日
Word2Vec与Glove:词嵌入方法的动机和直觉
论智
14+阅读 · 2018年6月23日
基于 Doc2vec 训练句子向量
AI研习社
6+阅读 · 2018年5月16日
Top
微信扫码咨询专知VIP会员