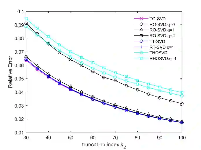
The oriented singular value decomposition (O-SVD) proposed in [Numer. Linear Algebra Appl., 27(2020), e2290] provides a hybrid approach to the t-product based third-order tensor singular value decomposition with the transform matrix being a factor matrix of the higher order singular value decomposition. Continuing along this vein, this paper explores realizing the O-SVD more efficiently by the tensor-train rank-1 decomposition and gives a truncated O-SVD. Motivated by the success of probabilistic algorithms, we develop a randomized version of the O-SVD and present its detailed error analysis. The new algorithm has advantages in efficiency while keeping good accuracy compared with the current tensor decompositions. Our claims are supported by numerical experiments on several oriented tensors from real applications.


翻译:在[Numer. Linear Algebra Appl., 27(2020), e2290] 中提议的面向方向的单值分解(O-SVD)提供了一种混合方法,处理基于三阶三阶的基于T产品的高压单值分解,变异矩阵是更高顺序单值分解的一个要素矩阵。继续沿着这一思路,本文件探索通过抗压技术级-1分解更有效地实现O-SVD, 并给出了对O-SVD的分解。受概率性算法成功驱动,我们开发了O-SVD的随机化版本,并提出了详细的错误分析。新的算法在效率方面有优势,同时保持了与目前的高序单分解的准确性。我们的索赔得到了对来自实际应用的若干定向电压进行的数字实验的支持。

0
下载
关闭预览

相关内容

Linux导论,Introduction to Linux,96页ppt
专知会员服务
82+阅读 · 2020年7月26日
《DeepGCNs: Making GCNs Go as Deep as CNNs》
专知会员服务
31+阅读 · 2019年10月17日
机器学习入门的经验与建议
专知会员服务
94+阅读 · 2019年10月10日
VCIP 2022 Call for Demos
CCF多媒体专委会
1+阅读 · 2022年6月6日
VCIP 2022 Call for Special Session Proposals
CCF多媒体专委会
1+阅读 · 2022年4月1日
Hierarchically Structured Meta-learning
CreateAMind
27+阅读 · 2019年5月22日
Unsupervised Learning via Meta-Learning
CreateAMind
44+阅读 · 2019年1月3日
A Technical Overview of AI & ML in 2018 & Trends for 2019
待字闺中
18+阅读 · 2018年12月24日
国家自然科学基金
0+阅读 · 2015年12月31日
国家自然科学基金
0+阅读 · 2013年12月31日
国家自然科学基金
0+阅读 · 2012年12月31日
国家自然科学基金
0+阅读 · 2009年12月31日
国家自然科学基金
0+阅读 · 2009年12月31日
VIP会员
相关VIP内容
相关资讯
VCIP 2022 Call for Demos
CCF多媒体专委会
1+阅读 · 2022年6月6日
VCIP 2022 Call for Special Session Proposals
CCF多媒体专委会
1+阅读 · 2022年4月1日
Hierarchically Structured Meta-learning
CreateAMind
27+阅读 · 2019年5月22日
Unsupervised Learning via Meta-Learning
CreateAMind
44+阅读 · 2019年1月3日
A Technical Overview of AI & ML in 2018 & Trends for 2019
待字闺中
18+阅读 · 2018年12月24日
相关基金
国家自然科学基金
0+阅读 · 2015年12月31日
国家自然科学基金
0+阅读 · 2013年12月31日
国家自然科学基金
0+阅读 · 2012年12月31日
国家自然科学基金
0+阅读 · 2009年12月31日
国家自然科学基金
0+阅读 · 2009年12月31日
Top
微信扫码咨询专知VIP会员