论文浅尝 | 利用图 Transformer 实现基于知识图谱的文本生成

2019 年 9 月 1 日 开放知识图谱

论文笔记整理:谭亦鸣,东南大学博士生,研究方向为跨语言知识图谱问答。


来源:NAACL2019

链接:https://arxiv.org/pdf/1904.02342.pdf

 

    本文关注如何从信息抽取结果(特别是知识图谱)出发,生成连贯的多句文本。作者表示图谱化的知识表示在计算中普遍存在,但由于其非层次,长距离依赖,结构多样等特性,使得基于图谱的文本生成成为一个巨大的挑战。

 

动机

为了摆脱图谱表示学习过程需要添加的线性/层次约束,有效利用起图谱中的关系结构,作者提出一种新的Graph Transformer编码器。

 

贡献

1.    提出了一种Graph Transformer编码方法用于知识图谱表示学习

2.    提出一种将IE输出转换为图结构用于编码的过程

3.    构建了一个可复用的大型“图谱-文本”对数据集

 

方法

Graph Transformer

      预先准备为了进行编码,作者将图谱重构为一种无标注的连接图,实体和关系都为图中的节点,下图左为一般的知识图谱三元组形式,右边为重构的图结构。可以看到,每个三元组都被替换为两个“实体->关系/关系->实体”的有向图,同时为了保留未连接实体之间的信息流(information flow),作者设置了一个全局结点G指向所有的实体节点。

       最终得到的是一个全连接,无标注的图G = (V, E),其中V表示图中所有节点的列表(实体,关系,全局节点),E则是表示图中各条边的方向的邻接矩阵。

           

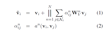
Transformer 模型本文模型与图注意力网络(GAT)的思路相近,利用注意力机制,将相邻节点的信息用于生成目标节点的隐状态表示。但是GAT模型仅考虑图谱中已出现相邻节点的信息,本文提出的全局节点设定使得模型能够利用更为全局的信息(可能存在的实体关联,但并未出现在知识子图中的潜在信息)

下图是graph transformer模型的框架图,结构上与普遍使用的transformer模型并无明显区别,本文不再赘述。

            Graph Attention的计算由各head的输入加权拼接实现,过程如下:


End2End 文本生成模型

      End2End 文本生成整体上还是由编码和解码两个部分构成(如下图),其中,编码结果由两个编码输入整合得到,分别为图谱编码(来自 graph transformer)与主题/标题(Title)编码(来自biRNN)。个人理解,主题编码的目的是给多句文本的生成提供一个顺序指导,假设多句连贯文本本质上是一条一套三元组构成的路径,主题编码则是表示路径的起点,以及生成过程必须经过的某些节点。

        解码部分则是由一个单向的RNN构成,生成序列的过程除了从词表中选词的softmax方式外,还添加了复制机制,这一做法可以避免低置信度文本生成(以及OOV情况)。


实验

数据说明:

本文实验所使用的训练数据来自AGENDAAbstract Generation Dataset,摘要生成数据集,科技论文领域),作者利用SciIE信息抽取系统,将摘要中的实体/关系识别出来,作为节点构建知识图谱,过程如下图所示。

AGENDA数据集的相关统计参数如下图所示,作者将数据集切分为38720规模的训练集,1000验证集与1000测试集


 

实验方案:

作者考虑了人工评价与自动评价两种评测机制,自动评价方法选择了常见的BLEUMETEOR,用于反映生成文本相对参考文本的n元文法相似程度,对比系统与结果如下表所示。

人工评价方面,则通过投票,对候选系统的输出结果进行投票,可以看到本文方法在best评价的获取数量是Rewriter(未引入知识图谱的方法)的两倍,可以说,图谱化的知识相对非结构化文本提供了更清晰的知识结构。


        更为直观的是一些生成样例,如下图所示:

思考

    本文使用的图谱由文本中的信息抽取构造而成,并不是对现有知识图谱的应用,这一做法避免了图谱中实体/关系节点表示形式与自然语言表达差异性带来的影响,是一种“文本->图谱->文本”的过程,图谱中节点的表达都明显倾向自然语言。换言之,这种图谱结构的稳定性(歧义性)是需要讨论的,此外,本方法直接用于已有图谱(如DBpediaYAGO)到文本的生成,则需要解决实体关系描述倾向非自然语言的情况。

 



OpenKG


开放知识图谱(简称 OpenKG)旨在促进中文知识图谱数据的开放与互联,促进知识图谱和语义技术的普及和广泛应用。

点击阅读原文,进入 OpenKG 博客。

登录查看更多
52

相关内容

在自然语言处理中,另外一个重要的应用领域,就是文本的自动撰写。关键词、关键短语、自动摘要提取都属于这个领域的一种应用。
【斯坦福大学-论文】实体上下文关系路径的知识图谱补全
【AAAI2020知识图谱论文概述】Knowledge Graphs @ AAAI 2020
专知会员服务
134+阅读 · 2020年2月13日
17篇知识图谱Knowledge Graphs论文 @AAAI2020
专知会员服务
172+阅读 · 2020年2月13日
Transformer文本分类代码
专知会员服务
118+阅读 · 2020年2月3日
ACL 2019开源论文 | 基于Attention的知识图谱关系预测
论文浅尝 | GraphIE:基于图的信息抽取框架
开放知识图谱
17+阅读 · 2019年6月2日
论文浅尝 | 基于知识库的自然语言理解 04#
开放知识图谱
14+阅读 · 2019年3月14日
论文浅尝 | 基于知识库的自然语言理解 01#
开放知识图谱
15+阅读 · 2019年2月22日
Arxiv
20+阅读 · 2019年9月7日
Arxiv
6+阅读 · 2019年7月11日
Self-Attention Graph Pooling
Arxiv
5+阅读 · 2019年4月17日
Arxiv
14+阅读 · 2018年4月18日
VIP会员
相关资讯
ACL 2019开源论文 | 基于Attention的知识图谱关系预测
论文浅尝 | GraphIE:基于图的信息抽取框架
开放知识图谱
17+阅读 · 2019年6月2日
论文浅尝 | 基于知识库的自然语言理解 04#
开放知识图谱
14+阅读 · 2019年3月14日
论文浅尝 | 基于知识库的自然语言理解 01#
开放知识图谱
15+阅读 · 2019年2月22日
Top
微信扫码咨询专知VIP会员