如何像用MNIST一样来用ImageNet?这里有一份加速TensorFlow分布式训练的梯度压缩指南

2017 年 12 月 24 日 AI100 王佐

作者 | 王佐


今年的 NIPS 出现 "Imagenet is the new MNIST" 口号,宣告使用 MNIST 数据集检验网络模型性能已经成为过去式。算法工程师们早就意识到训练数据集大小的重要性,并且进一步发现,针对特定的模型大小,训练数据集的大小和泛化误差之间存在以下的关系[1]:



训练数据集大小必须跨越Power-law Region,才能得到网络模型的实际性能。


网络模型的大小(表现为网络模型的参数数量)越来越大,处理单个 sample 需要消耗更多的单精度运算。例如,Resnet-50 处理一张 225 x 225 的图片需要消耗 7.72 x 109次单精度运算,如果在Imagenet上训练90epochs,需要消耗 90 x 1.28 x 106 x 7.72 x 109 ≈ 1018 次单精度运算。以Tesla K80的峰值单精度浮点性能 5.6 Tflops 估计,理想情况下也要训练 50 多个小时。


虽然网络模型参数有很多冗余,可以使用模型压缩算法减少冗余,提高推理速度,但目前还没有算法能减少训练期间的网络模型参数,无法提高训练速度。使用较少模型参数的网络训练,只能得到性能差很多的模型。


目前唯一可以显著提升训练效率的方式是使用Large Batch Size进行大规模分布式训练。

许多实验表明,通讯开销是大规模分布式训练的瓶颈。以Data-Parallize训练Restnet-50为例,Resnet-50参数大小约100MB(25.6million * 4B),在Tesla K80上用TensorFlow训练,每次迭代需要181.404ms[2],这意味着必须要有550MB/s以上的带宽,才能避免带宽饱和。若考虑 VGG-16(138million * 4B),则需要 2965MB/s 以上的带宽,才能避免带宽饱和。


幸运的是,只需要训练3~4epoches,梯度的稀疏度就能达到99.9%,将梯度压缩 270x 到 600x 而不损失精度[3]。例如将 Resnet-50 梯度从 97MB 压缩到 0.35MB,即使在最普通的 1Gbps 以太网上跑大规模分布式训练,也不会出现带宽饱和。


梯度压缩减少通讯开销[3]



梯度压缩原理


当梯度达到99.9%稀疏度,只有绝对值最大的0.1%梯度发送到参数服务器。如何找出绝对值最大的0.1%梯度呢?可以使用 top-k selection 算法找到threshold。top-k selection 的时间复杂度是 O(N)。为了提高速度,可以先 random sample 少量梯度,再用 top-k selection 算法找一个近似的 threshold。如果大于 threshold 的梯度超过0.1%,则可在结果集中再次使用 top-k selection 算法。未超过 threshold 的梯度会累积到下次迭代的梯度中。


梯度压缩能极大减少网络开销,但会影响收敛,导致模型精度降低。


以下介绍四个可以减少此影响、达到不损失精度的方法:


一,如图,在使用 Momentum 优化器训练中,使用梯度压缩(C)导致和原优化算法(B)路径分离。


本地梯度累积导致精度降低[3]



通过如下修改Momentum优化算法:

即给本地累积梯度也apply momentum,可以使梯度压缩(C)和原优化算法(B)路径一致。



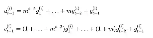
这里有点难理解,推导如下:


假设第i个梯度从直到t-1次迭代才超过threshold,触发更新,此时


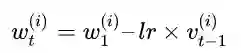
更新权重 


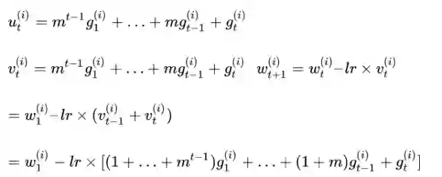
更新后需要执行 


如果第t次迭代,触发更新,此时



所以本地梯度累积跟原优化算法一致。


二、梯度压缩可能导致梯度爆炸问题,可以在每个节点对本地梯度使用梯度裁剪算法。


三、对大于 threshold 的梯度,将 Momentum 清零。

根据[4]中结论,async SGD会产生一个 implicit momentum,导致收敛变慢。本地梯度累计跟 async SGD 存在相似性:未能及时更新梯度产生 staleness。[4]中通过 grid search 的方法发现 negative momentum 能一定程度抵消 implicit momentum 效果,提高收敛速度。


这里 将 Momentum 清零,类似 negative momentum。


四、在梯度达到 99.9% 稀疏度前,有个 warm-up stage。


算法步骤如下[3]



梯度压缩的TensorFlow实现


在tensorflow/python/training/momentum.py中,为每个variable增加一个residual


def _create_slots(self, var_list):

    for v in var_list:

      self._zeros_slot(v, "momentum", self._name)

+    for v in var_list:

+      self._zeros_slot(v, "residual", self._name)


在tensorflow/core/kernels/http://training_ops.cc中,获取residual,并apply momentum


+Tensor residual;

+OP_REQUIRES_OK(ctx, GetInputTensor(ctx, 5, use_exclusive_lock_, &residual));

functor::ApplyMomentum<Device, T>()(device, var.flat<T>(), accum.flat<T>(),

                                    lr.scalar<T>(), grad.flat<T>(),

+                                    momentum.scalar<T>(), residual.flat<T>(),

+                                    use_nesterov_,

+                                    ctx, steps);


在tensorflow/core/kernels/http://training_ops_gpu.cu.cc中,实现梯度压缩


if (use_nesterov) {

      var.device(d) = grad * lr.reshape(single).broadcast(bcast) +

                       accum * momentum.reshape(single).broadcast(bcast) *

+                           lr.reshape(single).broadcast(bcast) +

+                       residual * lr.reshape(single).broadcast(bcast);

    } else {

+      var.device(d) = lr.reshape(single).broadcast(bcast) * accum +

+                       residual * lr.reshape(single).broadcast(bcast);

    }

+    if (steps < WARMUP) {

+      return ctx->ps()->update(var.name(), var.data(), d.stream());

+    }

+    Tensor norm(DataTypeToEnum<T>::value, {});

+    norm.scalar<T>().device(d) = var.square().sum().sqrt();

+    Tensor threshold(DataTypeToEnum<T>::value, {});

+    threshold.scalar<T>()() = 6.0;

+    if (norm.scalar<T>()() > threshold.scalar<T>()()) {

+      var.device(d) = var * threshold.scalar<T>().reshape(single).broadcast(bcast) /

+          norm.scalar<T>().reshape(single).broadcast(bcast);

+    }

+    int size = var.size();

+    int capacity = size * 1.2 * (1.0 - 0.99);

+    Tensor sparse_buf;

+    OP_REQUIRES_OK(ctx, ctx->allocate_temp(

+        DataTypeToEnum<T>::value,

+        TensorShape({static_cast<int64>(capacity * sizeof(T))}), &sparse_buf));

+    T* buf = sparse_buf.template flat<T>().data();

+    Tensor sparse_indice;

+    OP_REQUIRES_OK(ctx, ctx->allocate_temp(

+        DataTypeToEnum<T>::value,

+        TensorShape({static_cast<int64>(capacity * sizeof(T))}), &sparse_indice));

+    T* indices = sparse_indice.template flat<T>().data();

+    T* data = var.data();

+    T* tmp = residual.data();

+    int sortSize = std::min(100000, size);

+    CudaLaunchConfig config2 = GetCudaLaunchConfig(sortSize, d);

+    sampling<T>

+        <<<config2.block_count, config2.thread_per_block, 0, d.stream()>>>

+        (data, tmp, sortSize, size / sortSize, size);

+    thrust::device_ptr<T> dev_data_ptr(tmp);

+    thrust::sort(dev_data_ptr, dev_data_ptr + sortSize);

+    float rate = 0.99;

+    T threshold;

+    int k_index = std::max(0, (int)(sortSize * rate) - 1);

+    cudaMemcpy(&threshold, tmp + k_index, sizeof(T), cudaMemcpyDeviceToHost);

+    CudaLaunchConfig config = GetCudaLaunchConfig(size, d);

+    gen_mask<T>

+        <<<config.block_count, config.thread_per_block, 0, d.stream()>>>

+        (data, tmp, accum.data(), threshold, size);

+    thrust::device_ptr<T> mask_ptr(tmp);

+    thrust::inclusive_scan(mask_ptr, mask_ptr + size, mask_ptr);

+    T sum;

+    cudaMemcpy(&sum, tmp + size - 1, sizeof(T), cudaMemcpyDeviceToHost);

+    unsigned long sparse_size = sum;

+    sparsify<T>

+        <<<config.block_count, config.thread_per_block, 0, d.stream()>>>

+        (data, tmp, buf, indices, size);

+    assign_residual<T>

+        <<<config.block_count, config.thread_per_block, 0, d.stream()>>>

+        (data, tmp, size);

+    cudaMemcpy(&data, buf, sizeof(T) * sparse_size, cudaMemcpyDeviceToDevice);

+    cudaMemcpy(&data, indices, sizeof(T) * sparse_size, cudaMemcpyDeviceToDevice);

+    cudaStreamSynchronize(d.stream());

+    ctx->ps()->update(var.name(), data, sparse_size, d.stream());


这是最初实现代码,仅供参考。



本文作者:王佐

天数润科深度学习平台负责人,曾担任 Intel 亚太研发中心 Team Leader,万达人工智能研究院资深研究员,长期从事分布式计算系统研究,在大规模分布式机器学习系统架构、机器学习算法设计和应用方面有深厚积累。


Reference:

[1] http://research.baidu.com/deep-learning-scaling-predictable-empirically/

[2] Benchmarking State-of-the-Art Deep Learning Software Tools

[3] Deep Gradient Compression:Reducing the Communication Bandwidth for Distributed Training

[4] Asynchrony begets momentum, with an application to deep learning





精选推荐



经验 | Pytorch还是Tensorflow?英伟达工程师帮你总结了

图解TensorFlow架构与设计

技术 | 实现Tensorflow多机并行线性加速

笔记 |《深度学习原理与TensorFlow实践》学习笔记

视频教程| 如何用TensorFlow来自动生成乐曲?

视频教程| 使用TensorFlow搭建一个识别手写数字的分类器

香港科技大学公开三日 TensorFlow 速成课程学习资料

如何优雅地用TensorFlow预测时间序列:TFTS库详细教程



登录查看更多
1

相关内容

梯度的本意是一个向量(矢量),表示某一函数在该点处的方向导数沿着该方向取得最大值,即函数在该点处沿着该方向(此梯度的方向)变化最快,变化率最大(为该梯度的模)。
[ICML-Google]先宽后窄:对深度薄网络的有效训练
专知会员服务
36+阅读 · 2020年7月5日
模型压缩究竟在做什么?我们真的需要模型压缩么?
专知会员服务
28+阅读 · 2020年1月16日
分布式入门,怎样用PyTorch实现多GPU分布式训练
机器之心
7+阅读 · 2019年5月3日
Tensorflow框架是如何支持分布式训练的?
AI100
9+阅读 · 2019年3月26日
教程 | 如何估算深度神经网络的最优学习率
机器之心
3+阅读 · 2017年11月17日
Layer Normalization原理及其TensorFlow实现
深度学习每日摘要
32+阅读 · 2017年6月17日
Arxiv
4+阅读 · 2020年3月27日
Universal Transformers
Arxiv
5+阅读 · 2019年3月5日
Arxiv
3+阅读 · 2018年3月13日
VIP会员
相关资讯
分布式入门,怎样用PyTorch实现多GPU分布式训练
机器之心
7+阅读 · 2019年5月3日
Tensorflow框架是如何支持分布式训练的?
AI100
9+阅读 · 2019年3月26日
教程 | 如何估算深度神经网络的最优学习率
机器之心
3+阅读 · 2017年11月17日
Layer Normalization原理及其TensorFlow实现
深度学习每日摘要
32+阅读 · 2017年6月17日
Top
微信扫码咨询专知VIP会员