用Transformer完全替代CNN?

2020 年 10 月 23 日 极市平台
↑ 点击 蓝字  关注极市平台

作者丨小小理工男@知乎
来源丨https://zhuanlan.zhihu.com/p/266311690
编辑丨极市平台

极市导读

 

本文不同于以往工作的地方在于,尽可能地将NLP领域的transformer不作修改地搬到了CV领域,并在大规模数据集上展现出了超过目前的一些SOTA的结果。>>加入极市CV技术交流群,走在计算机视觉的最前沿


这里将介绍一篇我认为是比较新颖的一篇文章 ——《An Image Is Worth 16X16 Words: Transformers for Image Recognition at Scale》[1]。因为还是 ICLR 2021 under review,所以作者目前还是匿名的,但是看其实验用到的TPU,能够大概猜出应该是Google爸爸的文章(看着实验的配置,不得不感慨钞能力的力量)。

1. Story

近年来,Transformer已经成了NLP领域的标准配置,但是CV领域还是CNN(如ResNet, DenseNet等)占据了绝大多数的SOTA结果。

最近CV界也有很多文章将transformer迁移到CV领域,这些文章总的来说可以分为两个大类:

  1. 将self-attention机制与常见的CNN架构结合;
  2. 用self-attention机制完全替代CNN。

本文采用的也是第2种思路。虽然已经有很多工作用self-attention完全替代CNN,且在理论上效率比较高,但是它们用了特殊的attention机制,无法从硬件层面加速,所以目前CV领域的SOTA结果还是被CNN架构所占据。

文章不同于以往工作的地方,就是尽可能地将NLP领域的transformer不作修改地搬到CV领域来。但是NLP处理的语言数据是序列化的,而CV中处理的图像数据是三维的(长、宽和channels)。

所以我们需要一个方式将图像这种三维数据转化为序列化的数据。文章中,图像被切割成一个个patch,这些patch按照一定的顺序排列,就成了序列化的数据。(具体将在下面讲述)

在实验中,作者发现,在中等规模的数据集上(例如ImageNet),transformer模型的表现不如ResNets;而当数据集的规模扩大,transformer模型的效果接近或者超过了目前的一些SOTA结果。作者认为是大规模的训练可以鼓励transformer学到CNN结构所拥有的translation equivariance 和locality.

translation equivariance解释:

https://aboveintelligent.com/ml-cnn-translation-equivariance-and-invariance-da12e8ab7049

2. Model

Vision Transformer (ViT)结构示意图

模型的结构其实比较简单,可以分成以下几个部分来理解:

a. 将图像转化为序列化数据

作者采用了了一个比较简单的方式。如下图所示。首先将图像分割成一个个patch,然后将每个patch reshape成一个向量,得到所谓的flattened patch。

具体地,如果图片是  维的,用 大小的patch去分割图片可以得到  个patch,那么每个patch的shape就是  ,转化为向量后就是  维的向量,将  个patch reshape后的向量concat在一起就得到了一个  的二维矩阵,相当于NLP中输入transformer的词向量。

分割图像得到patch

从上面的过程可以看出,当patch的大小变化时(即  变化时),每个patch reshape后得到的  维向量的长度也会变化。为了避免模型结构受到patch size的影响,作者对上述过程得到的flattened patches向量做了Linear Projection(如下图所示),将不同长度的flattened patch向量转化为固定长度的向量(记做  维向量)。

对flattened patches做linear projection

综上,原本 维的图片被转化为了  个  维的向量(或者一个  维的二维矩阵)。

b. Position embedding

positiion embedding示意图

由于transformer模型本身是没有位置信息的,和NLP中一样,我们需要用position embedding将位置信息加到模型中去。

如上图所示1,编号有0-9的紫色框表示各个位置的position embedding,而紫色框旁边的粉色框则是经过linear projection之后的flattened patch向量。文中采用将position embedding(即图中紫色框)和patch embedding(即图中粉色框)相加的方式结合position信息。

c. Learnable embedding

如果大家仔细看上图,就会发现带星号的粉色框(即0号紫色框右边的那个)不是通过某个patch产生的。这个是一个learnable embedding(记作  ),其作用类似于BERT中的[class] token。在BERT中,[class] token经过encoder后对应的结果作为整个句子的表示;类似地,这里  经过encoder后对应的结果也作为整个图的表示。

至于为什么BERT或者这篇文章的ViT要多加一个token呢?因为如果人为地指定一个embedding(例如本文中某个patch经过Linear Projection得到的embedding)经过encoder得到的结果作为整体的表示,则不可避免地会使得整体表示偏向于这个指定embedding的信息(例如图像的表示偏重于反映某个patch的信息)。而这个新增的token没有语义信息(即在句子中与任何的词无关,在图像中与任何的patch无关),所以不会造成上述问题,能够比较公允地反映全图的信息。

d. Transformer encoder

Transformer Encoder结构和NLP中transformer结构基本上相同,所以这里只给出其结构图,和公式化的计算过程,也是顺便用公式表达了之前所说的几个部分内容。

Transformer Encoder的结构如下图所示:

Transformer Encoder结构图

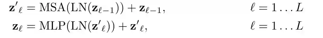
对于Encoder的第  层,记其输入为  ,输出为  ,则计算过程为:

其中MSA为Multi-Head Self-Attention(即Transformer Encoder结构图中的绿色框),MLP为Multi-Layer Perceptron(即Transformer Encoder结构图中的蓝色框),LN为Layer Norm(即Transformer Encoder结构图中的黄色框)。

Encoder第一层的输入  是通过下面的公式得到的:

其中  即未Linear Projection后的patch embedding(都是  维),右乘  维的矩阵 表示Linear Projection,得到的  都是  维向量;这  个  维向量和同样是  维向量的  concat就得到了  维矩阵。加上  个  维position embedding拼成的 维矩阵  ,即得到了encoder的原始输入 

3. 混合结构

文中还提出了一个比较有趣的解决方案,将transformer和CNN结合,即将ResNet的中间层的feature map作为transformer的输入。

和之前所说的将图片分成patch然后reshape成sequence不同的是,在这种方案中,作者直接将ResNet某一层的feature map reshape成sequence,再通过Linear Projection变为Transformer输入的维度,然后直接输入进Transformer中。

4. Fine-tuning过程中高分辨率图像的处理

在Fine-tuning到下游任务时,当图像的分辨率增大时(即图像的长和宽增大时),如果保持patch大小不变,得到的patch个数将增加(记分辨率增大后新的patch个数为  )。但是由于在pretrain时,position embedding的个数和pretrain时分割得到的patch个数(即上文中的  )相同。则多出来的  个positioin embedding在pretrain中是未定义或者无意义的。

为了解决这个问题,文章中提出用2D插值的方法,基于原图中的位置信息,将pretrain中的  个position embedding插值成  个。这样在得到  个position embedding的同时也保证了position embedding的语义信息。

5. 实验

实验部分由于涉及到的细节较多就不具体介绍了,大家如果感兴趣可以参看原文。(不得不说Google的实验能力和钞能力不是一般人能比的...)

主要的实验结论在story中就已经介绍过了,这里复制粘贴一下:在中等规模的数据集上(例如ImageNet),transformer模型的表现不如ResNets;而当数据集的规模扩大,transformer模型的效果接近或者超过了目前的一些SOTA结果。

比较有趣的是,作者还做了很多其他的分析来解释transfomer的合理性。大家如果感兴趣也可以参看原文,这里放几张文章中的图。

参考

1.https://openreview.net/forum?id=YicbFdNTTy


推荐阅读


     ACCV 2020国际细粒度网络图像识别竞赛正式开赛!



    添加极市小助手微信(ID : cvmart2),备注:姓名-学校/公司-研究方向-城市(如:小极-北大-目标检测-深圳),即可申请加入极市目标检测/图像分割/工业检测/人脸/医学影像/3D/SLAM/自动驾驶/超分辨率/姿态估计/ReID/GAN/图像增强/OCR/视频理解等技术交流群:月大咖直播分享、真实项目需求对接、求职内推、算法竞赛、干货资讯汇总、与 10000+来自港科大、北大、清华、中科院、CMU、腾讯、百度等名校名企视觉开发者互动交流~

    △长按添加极市小助手

    △长按关注极市平台,获取 最新CV干货

    觉得有用麻烦给个在看啦~   
    登录查看更多
    0

    相关内容

    Transformer是谷歌发表的论文《Attention Is All You Need》提出一种完全基于Attention的翻译架构

    知识荟萃

    精品入门和进阶教程、论文和代码整理等

    更多

    查看相关VIP内容、论文、资讯等
    Transformer替代CNN?8篇论文概述最新进展!
    专知会员服务
    77+阅读 · 2021年1月19日
    最新《Transformers模型》教程,64页ppt
    专知会员服务
    325+阅读 · 2020年11月26日
    BERT进展2019四篇必读论文
    专知会员服务
    70+阅读 · 2020年1月2日
    CVPR 2019 | 用异构卷积训练深度CNN:提升效率而不损准确度
    误差反向传播——CNN
    统计学习与视觉计算组
    30+阅读 · 2018年7月12日
    Universal Transformers
    Arxiv
    5+阅读 · 2019年3月5日
    Star-Transformer
    Arxiv
    5+阅读 · 2019年2月28日
    VIP会员
    相关VIP内容
    Transformer替代CNN?8篇论文概述最新进展!
    专知会员服务
    77+阅读 · 2021年1月19日
    最新《Transformers模型》教程,64页ppt
    专知会员服务
    325+阅读 · 2020年11月26日
    BERT进展2019四篇必读论文
    专知会员服务
    70+阅读 · 2020年1月2日
    相关资讯
    CVPR 2019 | 用异构卷积训练深度CNN:提升效率而不损准确度
    误差反向传播——CNN
    统计学习与视觉计算组
    30+阅读 · 2018年7月12日
    相关论文
    Universal Transformers
    Arxiv
    5+阅读 · 2019年3月5日
    Star-Transformer
    Arxiv
    5+阅读 · 2019年2月28日
    Top
    微信扫码咨询专知VIP会员