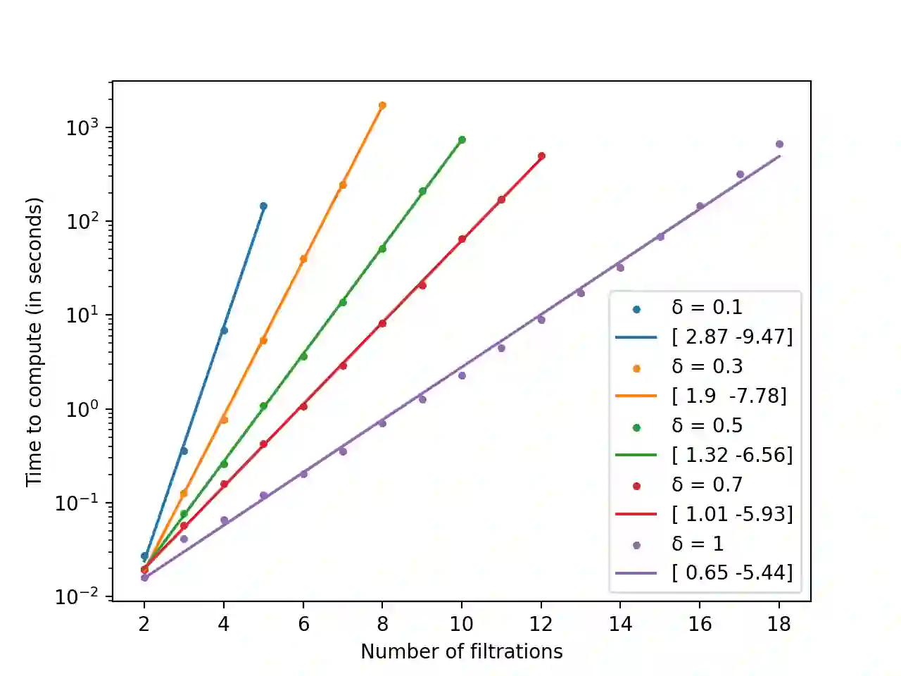
Topological Data Analysis is a growing area of data science, which aims at computing and characterizing the geometry and topology of data sets, in order to produce useful descriptors for subsequent statistical and machine learning tasks. Its main computational tool is persistent homology, which amounts to track the topological changes in growing families of subsets of the data set itself, called filtrations, and encode them in an algebraic object, called persistence module. Even though algorithms and theoretical properties of modules are now well-known in the single-parameter case, that is, when there is only one filtration to study, much less is known in the multi-parameter case, where several filtrations are given at once. Though more complicated, the resulting persistence modules are usually richer and encode more information, making them better descriptors for data science. In this article, we present the first approximation scheme, which is based on fibered barcodes and exact matchings, two constructions that stem from the theory of single-parameter persistence, for computing and decomposing general multi-parameter persistence modules. Our algorithm has controlled complexity and running time, and works in arbitrary dimension, i.e., with an arbitrary number of filtrations. Moreover, when restricting to specific classes of multi-parameter persistence modules, namely the ones that can be decomposed into intervals, we establish theoretical results about the approximation error between our estimate and the true module in terms of interleaving distance. Finally, we present empirical evidence validating output quality and speed-up on several data sets.


翻译:暂无翻译

0
下载
关闭预览

相关内容

FlowQA: Grasping Flow in History for Conversational Machine Comprehension
专知会员服务
34+阅读 · 2019年10月18日
Keras François Chollet 《Deep Learning with Python 》, 386页pdf
专知会员服务
163+阅读 · 2019年10月12日
Transferring Knowledge across Learning Processes
CreateAMind
29+阅读 · 2019年5月18日
Unsupervised Learning via Meta-Learning
CreateAMind
44+阅读 · 2019年1月3日
STRCF for Visual Object Tracking
统计学习与视觉计算组
15+阅读 · 2018年5月29日
Focal Loss for Dense Object Detection
统计学习与视觉计算组
12+阅读 · 2018年3月15日
IJCAI | Cascade Dynamics Modeling with Attention-based RNN
KingsGarden
13+阅读 · 2017年7月16日
国家自然科学基金
13+阅读 · 2017年12月31日
国家自然科学基金
2+阅读 · 2015年12月31日
国家自然科学基金
2+阅读 · 2015年12月31日
国家自然科学基金
0+阅读 · 2014年12月31日
国家自然科学基金
2+阅读 · 2014年12月31日
Arxiv
0+阅读 · 2023年7月28日
Arxiv
21+阅读 · 2023年7月12日
Arxiv
13+阅读 · 2021年5月25日
Arxiv
49+阅读 · 2021年5月9日
VIP会员
相关资讯
Transferring Knowledge across Learning Processes
CreateAMind
29+阅读 · 2019年5月18日
Unsupervised Learning via Meta-Learning
CreateAMind
44+阅读 · 2019年1月3日
STRCF for Visual Object Tracking
统计学习与视觉计算组
15+阅读 · 2018年5月29日
Focal Loss for Dense Object Detection
统计学习与视觉计算组
12+阅读 · 2018年3月15日
IJCAI | Cascade Dynamics Modeling with Attention-based RNN
KingsGarden
13+阅读 · 2017年7月16日
相关论文
Arxiv
0+阅读 · 2023年7月28日
Arxiv
21+阅读 · 2023年7月12日
Arxiv
13+阅读 · 2021年5月25日
Arxiv
49+阅读 · 2021年5月9日
相关基金
国家自然科学基金
13+阅读 · 2017年12月31日
国家自然科学基金
2+阅读 · 2015年12月31日
国家自然科学基金
2+阅读 · 2015年12月31日
国家自然科学基金
0+阅读 · 2014年12月31日
国家自然科学基金
2+阅读 · 2014年12月31日
Top
微信扫码咨询专知VIP会员