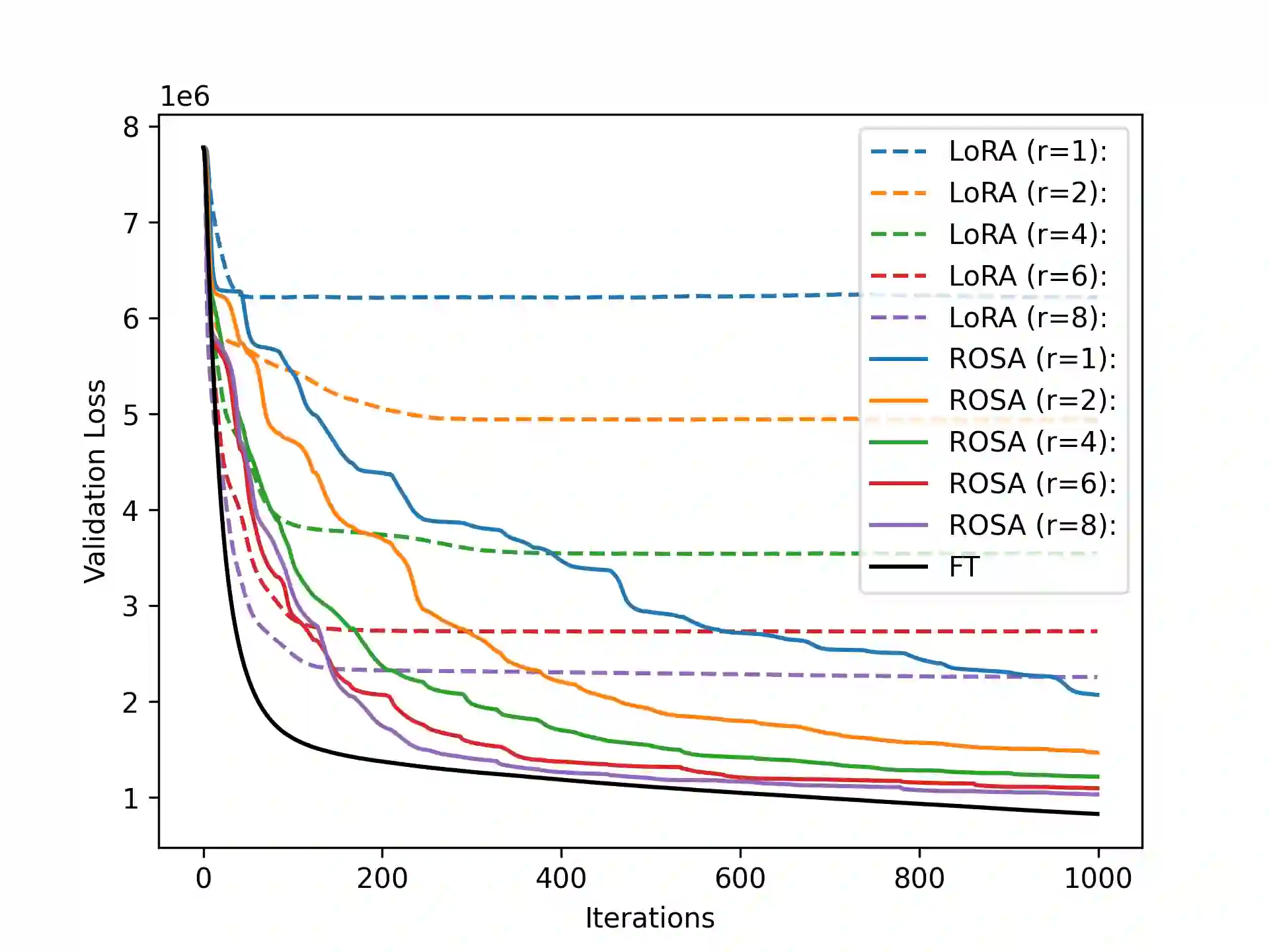
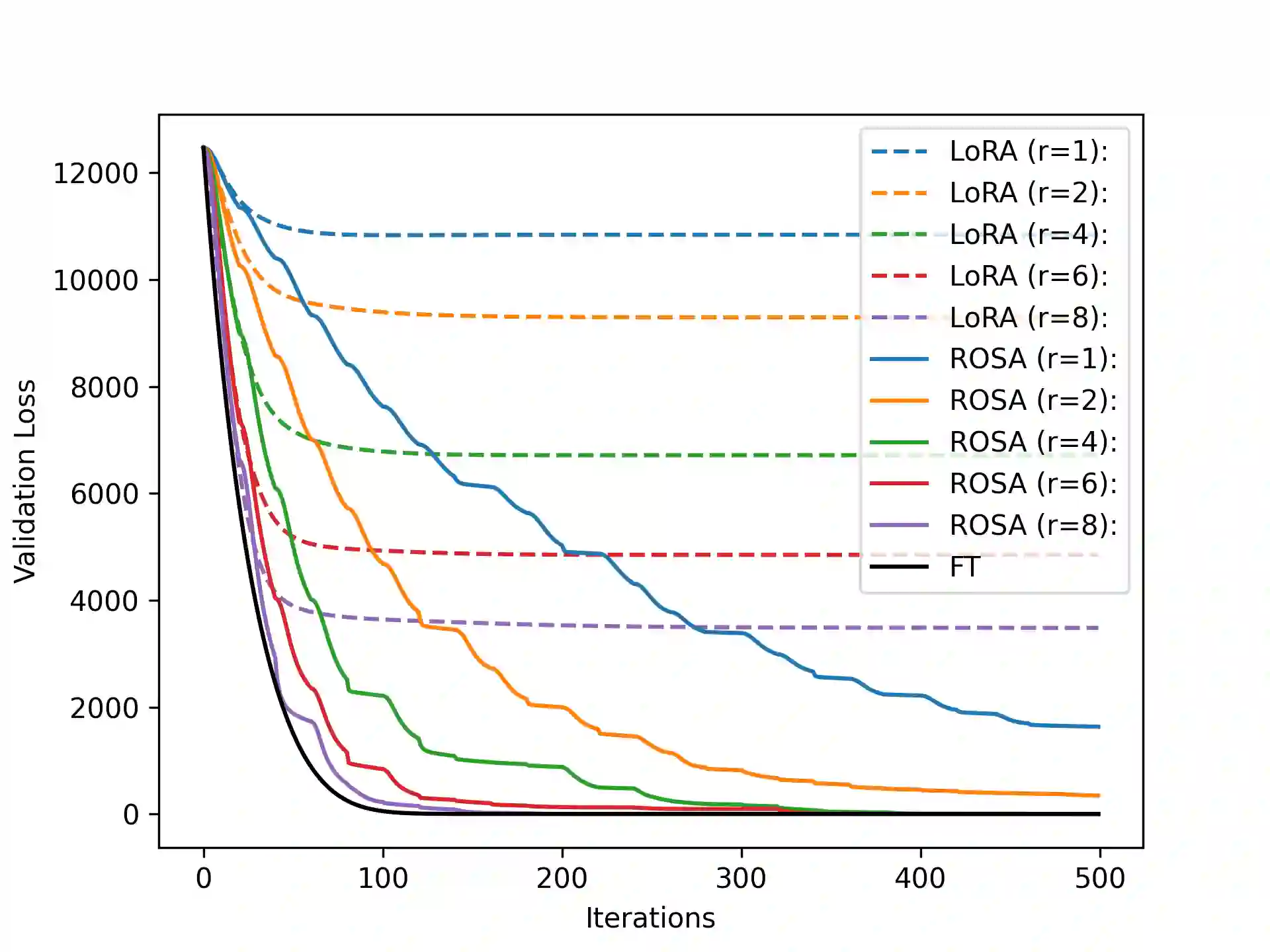
Model training requires significantly more memory, compared with inference. Parameter efficient fine-tuning (PEFT) methods provide a means of adapting large models to downstream tasks using less memory. However, existing methods such as adapters, prompt tuning or low-rank adaptation (LoRA) either introduce latency overhead at inference time or achieve subpar downstream performance compared with full fine-tuning. In this work we propose Random Subspace Adaptation (ROSA), a method that outperforms previous PEFT methods by a significant margin, while maintaining a zero latency overhead during inference time. In contrast to previous methods, ROSA is able to adapt subspaces of arbitrarily large dimension, better approximating full-finetuning. We demonstrate both theoretically and experimentally that this makes ROSA strictly more expressive than LoRA, without consuming additional memory during runtime. As PEFT methods are especially useful in the natural language processing domain, where models operate on scales that make full fine-tuning very expensive, we evaluate ROSA in two common NLP scenarios: natural language generation (NLG) and natural language understanding (NLU) with GPT-2 and RoBERTa, respectively. We show that on almost every GLUE task ROSA outperforms LoRA by a significant margin, while also outperforming LoRA on NLG tasks. Our code is available at https://github.com/rosa-paper/rosa


翻译:暂无翻译

0
下载
关闭预览

相关内容

FlowQA: Grasping Flow in History for Conversational Machine Comprehension
专知会员服务
34+阅读 · 2019年10月18日
Stabilizing Transformers for Reinforcement Learning
专知会员服务
60+阅读 · 2019年10月17日
Transferring Knowledge across Learning Processes
CreateAMind
29+阅读 · 2019年5月18日
Unsupervised Learning via Meta-Learning
CreateAMind
44+阅读 · 2019年1月3日
A Technical Overview of AI & ML in 2018 & Trends for 2019
待字闺中
18+阅读 · 2018年12月24日
Focal Loss for Dense Object Detection
统计学习与视觉计算组
12+阅读 · 2018年3月15日
IJCAI | Cascade Dynamics Modeling with Attention-based RNN
KingsGarden
13+阅读 · 2017年7月16日
国家自然科学基金
13+阅读 · 2017年12月31日
国家自然科学基金
2+阅读 · 2015年12月31日
国家自然科学基金
0+阅读 · 2015年12月31日
国家自然科学基金
2+阅读 · 2015年12月31日
国家自然科学基金
0+阅读 · 2014年12月31日
AdarGCN: Adaptive Aggregation GCN for Few-Shot Learning
VIP会员
相关资讯
Transferring Knowledge across Learning Processes
CreateAMind
29+阅读 · 2019年5月18日
Unsupervised Learning via Meta-Learning
CreateAMind
44+阅读 · 2019年1月3日
A Technical Overview of AI & ML in 2018 & Trends for 2019
待字闺中
18+阅读 · 2018年12月24日
Focal Loss for Dense Object Detection
统计学习与视觉计算组
12+阅读 · 2018年3月15日
IJCAI | Cascade Dynamics Modeling with Attention-based RNN
KingsGarden
13+阅读 · 2017年7月16日
相关基金
国家自然科学基金
13+阅读 · 2017年12月31日
国家自然科学基金
2+阅读 · 2015年12月31日
国家自然科学基金
0+阅读 · 2015年12月31日
国家自然科学基金
2+阅读 · 2015年12月31日
国家自然科学基金
0+阅读 · 2014年12月31日
Top
微信扫码咨询专知VIP会员