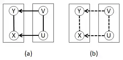
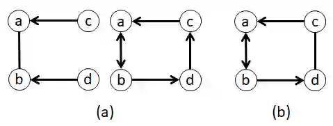
Depending on the interpretation of the type of edges, a chain graph can represent different relations between variables and thereby independence models. Three interpretations, known by the acronyms LWF, MVR, and AMP, are prevalent. Multivariate regression chain graphs (MVR CGs)were introduced by Cox and Wermuth in 1993. We review Markov properties for MVR chain graphs and propose an alternative global and local Markov property for them. Also, we prove equivalence of all proposed Markov properties in the literature for compositional graphoids. We derive a new factorization formula for MVR chain graphs which is more explicit than and different from the proposed factorizations for MVR chain graphs in the literature. Finally, we provide a summary table comparing different features of LWF, AMP, and MVR chain graphs.


翻译:视对边缘类型的解释而定,链条图可以代表不同变量之间的关系,从而代表独立模式。三种解释(缩略语LWF、MVR和AMP)很普遍。Cox和Wermuth于1993年引入了多变回归链图(MVR CGs),我们为MVR链条图审查了Markov特性,并为它们提出了另外一种全球和地方的Markov属性。此外,我们还证明,在成文图的文献中,所有拟议的Markov属性与成文图具有等同性。我们为MVR链图提出了一种新的因子化公式,该公式比文献中MVR链图的拟议因子化法更加明确,也不同。最后,我们提供了一张简表,比较了LWF、AMP和MVR链图的不同特征。

0
下载
关闭预览

相关内容

【哈佛大学商学院课程Fall 2019】机器学习可解释性
专知会员服务
105+阅读 · 2019年10月9日
计算机 | 入门级EI会议ICVRIS 2019诚邀稿件
Call4Papers
10+阅读 · 2019年6月24日
Hierarchically Structured Meta-learning
CreateAMind
27+阅读 · 2019年5月22日
Transferring Knowledge across Learning Processes
CreateAMind
29+阅读 · 2019年5月18日
A Technical Overview of AI & ML in 2018 & Trends for 2019
待字闺中
18+阅读 · 2018年12月24日
disentangled-representation-papers
CreateAMind
26+阅读 · 2018年9月12日
Efficiently Embedding Dynamic Knowledge Graphs
Arxiv
14+阅读 · 2019年10月15日
A Comprehensive Survey on Graph Neural Networks
Arxiv
13+阅读 · 2019年3月10日
Arxiv
12+阅读 · 2019年2月26日
VIP会员
相关资讯
计算机 | 入门级EI会议ICVRIS 2019诚邀稿件
Call4Papers
10+阅读 · 2019年6月24日
Hierarchically Structured Meta-learning
CreateAMind
27+阅读 · 2019年5月22日
Transferring Knowledge across Learning Processes
CreateAMind
29+阅读 · 2019年5月18日
A Technical Overview of AI & ML in 2018 & Trends for 2019
待字闺中
18+阅读 · 2018年12月24日
disentangled-representation-papers
CreateAMind
26+阅读 · 2018年9月12日
相关论文
Efficiently Embedding Dynamic Knowledge Graphs
Arxiv
14+阅读 · 2019年10月15日
A Comprehensive Survey on Graph Neural Networks
Arxiv
13+阅读 · 2019年3月10日
Arxiv
12+阅读 · 2019年2月26日
Top
微信扫码咨询专知VIP会员