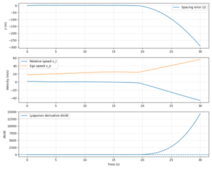
This paper presents a novel Lyapunov-Based Quantum Reinforcement Learning (LQRL) framework that integrates quantum policy optimization with Lyapunov stability analysis for continuous-time vehicle control. The proposed approach combines the representational power of variational quantum circuits (VQCs) with a stability-aware policy gradient mechanism to ensure asymptotic convergence and safe decision-making under dynamic environments. The vehicle longitudinal control problem was formulated as a continuous-state reinforcement learning task, where the quantum policy network generates control actions subject to Lyapunov stability constraints. Simulation experiments were conducted in a closed-loop adaptive cruise control scenario using a quantum-inspired policy trained under stability feedback. The results demonstrate that the LQRL framework successfully embeds Lyapunov stability verification into quantum policy learning, enabling interpretable and stability-aware control performance. Although transient overshoot and Lyapunov divergence were observed under aggressive acceleration, the system maintained bounded state evolution, validating the feasibility of integrating safety guarantees within quantum reinforcement learning architectures. The proposed framework provides a foundational step toward provably safe quantum control in autonomous systems and hybrid quantum-classical optimization domains.


翻译:暂无翻译

0
下载
关闭预览

相关内容

FlowQA: Grasping Flow in History for Conversational Machine Comprehension
专知会员服务
34+阅读 · 2019年10月18日
Keras François Chollet 《Deep Learning with Python 》, 386页pdf
专知会员服务
163+阅读 · 2019年10月12日
Transferring Knowledge across Learning Processes
CreateAMind
29+阅读 · 2019年5月18日
Unsupervised Learning via Meta-Learning
CreateAMind
43+阅读 · 2019年1月3日
STRCF for Visual Object Tracking
统计学习与视觉计算组
15+阅读 · 2018年5月29日
Focal Loss for Dense Object Detection
统计学习与视觉计算组
12+阅读 · 2018年3月15日
IJCAI | Cascade Dynamics Modeling with Attention-based RNN
KingsGarden
13+阅读 · 2017年7月16日
国家自然科学基金
13+阅读 · 2017年12月31日
国家自然科学基金
2+阅读 · 2015年12月31日
国家自然科学基金
2+阅读 · 2015年12月31日
国家自然科学基金
0+阅读 · 2014年12月31日
国家自然科学基金
2+阅读 · 2014年12月31日
A Multi-Objective Deep Reinforcement Learning Framework
Arxiv
12+阅读 · 2018年1月28日
VIP会员
相关资讯
Transferring Knowledge across Learning Processes
CreateAMind
29+阅读 · 2019年5月18日
Unsupervised Learning via Meta-Learning
CreateAMind
43+阅读 · 2019年1月3日
STRCF for Visual Object Tracking
统计学习与视觉计算组
15+阅读 · 2018年5月29日
Focal Loss for Dense Object Detection
统计学习与视觉计算组
12+阅读 · 2018年3月15日
IJCAI | Cascade Dynamics Modeling with Attention-based RNN
KingsGarden
13+阅读 · 2017年7月16日
相关基金
国家自然科学基金
13+阅读 · 2017年12月31日
国家自然科学基金
2+阅读 · 2015年12月31日
国家自然科学基金
2+阅读 · 2015年12月31日
国家自然科学基金
0+阅读 · 2014年12月31日
国家自然科学基金
2+阅读 · 2014年12月31日
Top
微信扫码咨询专知VIP会员