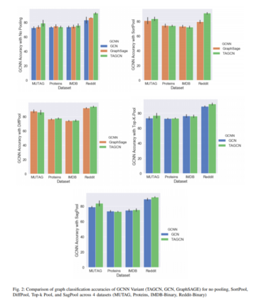
图卷积神经网络(GCNNs)是深度学习技术在图结构数据问题上的一种强大的扩展。我们对GCNNs的几种池方法进行了实证评估,并将这些图池化方法与三种不同架构(GCN、TAGCN和GraphSAGE)进行了组合。我们证实,图池化,特别是DiffPool,提高了流行的图分类数据集的分类精度,并发现,平均而言,TAGCN达到了可比或更好的精度比GCN和GraphSAGE,特别是对数据集较大和稀疏的图结构。

成为VIP会员查看完整内容
46

相关内容

【KDD2020】自适应多通道图卷积神经网络
专知会员服务
121+阅读 · 2020年7月9日
【ICML2020】持续图神经网络,Continuous Graph Neural Networks
专知会员服务
151+阅读 · 2020年6月28日
【清华大学】图随机神经网络,Graph Random Neural Networks
专知会员服务
156+阅读 · 2020年5月26日
【阿尔托大学】图神经网络,Graph Neural Networks,附60页ppt
专知会员服务
184+阅读 · 2020年4月26日
一文读懂图卷积GCN
计算机视觉life
21+阅读 · 2019年12月21日
图神经网络(Graph Neural Networks,GNN)综述
极市平台
104+阅读 · 2019年11月27日
【NeurIPS2019】图变换网络:Graph Transformer Network
【论文笔记】自注意力图池化
专知
82+阅读 · 2019年11月18日
Graph Neural Networks 综述
计算机视觉life
30+阅读 · 2019年8月13日
图嵌入(Graph embedding)综述
人工智能前沿讲习班
449+阅读 · 2019年4月30日
图卷积神经网络(GCN)文本分类详述
专知
280+阅读 · 2019年4月5日
Network Embedding 指南
专知
21+阅读 · 2018年8月13日
基于注意力机制的图卷积网络
科技创新与创业
74+阅读 · 2017年11月8日
Self-Attention Graph Pooling
Arxiv
5+阅读 · 2019年4月17日
Arxiv
24+阅读 · 2018年10月24日
Arxiv
11+阅读 · 2018年10月17日
Arxiv
10+阅读 · 2018年2月4日
VIP会员
相关资讯
一文读懂图卷积GCN
计算机视觉life
21+阅读 · 2019年12月21日
图神经网络(Graph Neural Networks,GNN)综述
极市平台
104+阅读 · 2019年11月27日
【NeurIPS2019】图变换网络:Graph Transformer Network
【论文笔记】自注意力图池化
专知
82+阅读 · 2019年11月18日
Graph Neural Networks 综述
计算机视觉life
30+阅读 · 2019年8月13日
图嵌入(Graph embedding)综述
人工智能前沿讲习班
449+阅读 · 2019年4月30日
图卷积神经网络(GCN)文本分类详述
专知
280+阅读 · 2019年4月5日
Network Embedding 指南
专知
21+阅读 · 2018年8月13日
基于注意力机制的图卷积网络
科技创新与创业
74+阅读 · 2017年11月8日
相关论文
Self-Attention Graph Pooling
Arxiv
5+阅读 · 2019年4月17日
Arxiv
24+阅读 · 2018年10月24日
Arxiv
11+阅读 · 2018年10月17日
Arxiv
10+阅读 · 2018年2月4日
微信扫码咨询专知VIP会员