成为VIP会员查看完整内容
VIP会员码认证
首页
主题
会员
服务
注册
·
登录
0
命名实体识别新SOTA:改进Transformer模型
2019 年 11 月 26 日
AI科技评论
作者 | 刘旺旺
编辑 | 唐里
TENER: Adapting Transformer Encoder for Name Entity Recognition
链接:
https://arxiv.org/pdf/1911.04474.pdf
代码:暂无
一.动机
Transformer 模型以其良好的并行性能力以及出色的效果,被广泛应用于nlp领域的各大任务,例如机器翻译,预训练语言模型等。博客(
https://zhuanlan.zhihu.com/p/54743941)也从多个方面,实验论证Transformer 模型优于CNN和RNN模型。然而,在NER任务上,Transformer的效果远不如BiLSTM。
二.预备知识
NER
命名实体识别, 简称NER,是指识别文本中具有特定意义的实体,主要包括人名、地名、机构名、专有名词等,以及时间、数量、货币、比例数值等文字,通常被看做是序列标注任务,现有主流的方法是使用神经网络来做,包括三个部分:词向量层,上下文编码层,解码层。
Transformer
Transformer layer包含两个部分:Multi-Head Attention (MHA) 和Position-wise Feed-Forward Network (FFN)。
MHA:
单个attention head计算方式:
多个attention head计算方式:
FFN:
MHA层和FFN层之间,以及FFN层之后还包含一个残差连接和norm层。详细可见论文 https://arxiv.org/pdf/1706.03762.pdf
三.解决方法
论文分析了Transformer在NER任务上效果不好的原因,并提出了改进方法TENER (Transformer Encoder for NER)。
Transformer在NER任务上效果不好的原因
如Figure1所示,方向信息以及相对位置,对于NER任务是重要的。
例如,“Inc”单词之前的词很有可能就是机构组织(ORG),“in”单词之后的词,很有可能是时间地点(TIME);并且一个实体应该是连续的单词组成,标红的“Louis Vuitton”不会和标蓝的“Inc”组成一个实体。但是原始的Transformer无法捕获这些信息
。
针对上述问题,论文提出了两点改进:
(1)提出带有方向与相对位置信息的 atteniton 机制;
(2)丢弃了原有 Transformerself-attention 的 scale factor,scale factor的引入是为了得到分布相对均匀的attention权重,但是在NER中,并不需要关注所有词。
另外,除了使用 Transformer 来建模词级别的上下文信息,还使用 Transformer 来建模 character 级别信息。
论文改进的TENER 模型
1. 词向量层
为了改善数据的稀疏性以及 oov 问题,NER任务通常使用 CNN 编码 character 序列来表示单词。与 Bilstm 相比,CNN在编码 character 序列上更有效,论文也探索了使用 Transformer 来编码 character 序列得到单词表征。最后的词向量表示,是 character 序列表征的单词与外部预训练词向量的拼接。
2. 带
有方向与相对位置信息的 atteniton 机制
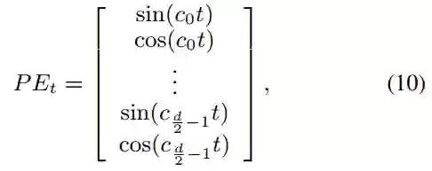
原始transformer encoder使用如下公式来获得位置向量:
t是单词在文本中的位置,d是位置向量的维度,也是词向量的维度,
。根据公式,分别计算位置向量中奇数维度和偶数维度的值。
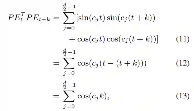
论文指出,根据公式(8)(9)得到的位置向量仅仅带有相对位置信息,而不包括方向信息
,
证明如下:
其中,
是一个常量
;公式(11)到公式(12)由公式
得到。由公式(13)可知,第t个位置的位置向
与第t+k个位置的位置向量
相乘,得到的结果只与相对位置k有关。并且,令
,可得:
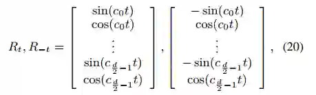
公式(14)(15)更进一步说明了,根据公式(8)(9)得到的位置向量仅仅带有相对位置信息,而不包括方向信息,fingure3也证明了这个结论。
更重要的是,在计算self-attention时,仅能捕获的相对位置信息这一特性,也会消失。
由公式(1)可知,在进行self-attention时,首先需要经过矩阵
,
将H(位置向量和词向量的组合)转化到相应的空间。实际上,两个位置向量
,
进行的运算为
(
被看成一个矩阵,可得
)。随机采样得到两个W,绘出
结果图,如fingure4所示,在没有进行矩阵转换时,位置向量可以捕获相对位置信息,经过矩阵转换后,即进行self-attention时,相对位置信息被破坏。
论文使用如下公式代替公式(1)-(3)以及公式(8)(9),来计算self-attention,同时捕获相对位置信息和方向信息:公式(16)与公式(1)相比,K不再经过
映射的;t是目标token的索引,j是上下文token的索引,公式(17)在进行位置编码时,引入了相对位置以及方向信息,距离为t(j=0)与距离为-t(j=2t)的两个位置的位置向量在奇数维度上是不同的,偶数维度上是相同的,如公式(20)所示。公式(18)在计算attention权值时,将词向量与位置向量分开计算(位置对NER任务来说时及其重要的),并且加了偏置项。公式(19)相比公式(3)去掉了
。
问题是,K不再是经过
映射的,所以K的维度是和词向量维度一样为d,是无法与
(维度为
)进行矩阵相乘的运算的。论文作者也表示,这里存在一些笔误,想要表达的意思是,计算每一个attention head从K(也就是H)依次选取0到
维度,
到
维度,依此类推。
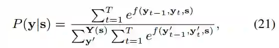
3. CRF layer解码
同先前Bilstm,主要是为了将不同tag之间的依赖信息引入。给定输入序列:
,以及标注
。
代表所有可能的标注序列。标注y的概率计算如下公式:
其中,
计算从标注
到标注
的转移分数以及的分数,优化的目标是最大化
。解码时,使用维特比算法,选择概率最大的y。
四.实验结果
数据集
在中文数据集上的结果(table1),中文的NER是直接基于字的:
1. TENER的效果不仅优于原有的Transformer模型,而且优于基于CNN的模型和基于Bilstm的模型. 其中因为CAN_NER使用了100维的预训练的字向量和bigram向量,所以效果较好。
2. Weibo数据集相对较小,因此不同的模型在这个数据集上的表现效果都比较差。TENER模型相比其他模型也提高了效果,这也表明,本论文提出的改进方法,对数据集的大小具有一定的鲁棒性
3. 带scale factor的 self-attention 会使得结果变差。
在英文数据集上的效果(table2):
1. TENER在英文数据集上的效果不仅优于原有的Transformer模型,而且优于基于Bilstm的模型,并取得了当前最好的结果。
2. 同样带scale factor的self-attention会使得结果变差。
不同的character编码器和word上下文编码器的组合结果(table4):
在两个英文数据集上,比较了不同的character编码器和word上下文编码器的组合结果,由table4可看出,在conll2013数据集上,基于CNN的character编码器+基于TENER的word上下文编码器取得了最好的效果;然而在OntoNote5.0上,全部使用TENER模型取得了最好的效果。但是无论使用什么样的character编码器甚至不使用character编码,换用TENER模型建模word上下文都可以提升效果。
收敛速度的比较(figure5):
TENER模型的收敛速度与Bilstm相等,比transformer和ID-CNN要快。
五.总结
1. 分析了Transformer 在NER任务上效果不好的原因
2. 改进了Transformer的位置编码及self-attention部分(TENER模型),用于NER,取得了较好的效果,在两个英文数据集上,达到了当前最好的效果。
3.
论文比较出彩的地方在于对Transformer 在NER任务上效果不好原因的分析
。对self-attention的改进有点类似Transformer XL。
点击“
阅读原文
”查看
Github项目推荐 | 命名实体识别或文本分类模型生成数据集!
登录查看更多
点赞并收藏
0
暂时没有读者
17
权益说明
本文档仅做收录索引使用,若发现您的权益受到侵害,请立即联系客服(微信: zhuanzhi02,邮箱:bd@zhuanzhi.ai),我们会尽快为您处理
相关内容
Transformer
关注
243
Transformer是谷歌发表的论文《Attention Is All You Need》提出一种完全基于Attention的翻译架构
知识荟萃
精品入门和进阶教程、论文和代码整理等
更多
查看相关VIP内容、论文、资讯等
【ICML2020-伯克利】反直觉!大模型重压缩提升Transformer的训练和推理效率,47页ppt
专知会员服务
70+阅读 · 2020年7月1日
基于多头注意力胶囊网络的文本分类模型
专知会员服务
78+阅读 · 2020年5月24日
Transformer文本分类代码
专知会员服务
118+阅读 · 2020年2月3日
BERT进展2019四篇必读论文
专知会员服务
70+阅读 · 2020年1月2日
【论文】使用编码器进行命名实体识别(TENER: Adapting Transformer Encoder for Named Entity Recognition)
专知会员服务
52+阅读 · 2019年12月28日
深度学习的下一步:Transformer和注意力机制
云头条
56+阅读 · 2019年9月14日
最强NLP预训练模型库PyTorch-Transformers正式开源!支持6个预训练框架,27个预训练模型
AI前线
12+阅读 · 2019年7月22日
进一步改进GPT和BERT:使用Transformer的语言模型
机器之心
16+阅读 · 2019年5月1日
CMU、谷歌提出Transformer-XL:学习超长上下文关系
机器之心
9+阅读 · 2019年1月18日
基于Lattice LSTM的命名实体识别
微信AI
48+阅读 · 2018年10月19日
Question Generation by Transformers
Arxiv
5+阅读 · 2019年9月14日
Universal Transformers
Arxiv
5+阅读 · 2019年3月5日
Star-Transformer
Arxiv
5+阅读 · 2019年2月28日
Transformer-XL: Attentive Language Models Beyond a Fixed-Length Context
Arxiv
4+阅读 · 2019年1月9日
Music Transformer
Arxiv
5+阅读 · 2018年12月12日
VIP会员
自助开通(推荐)
客服开通
详情
相关主题
Transformer
命名实体识别
实体抽取
Transformer模型
注意力机制
词向量
相关VIP内容
【ICML2020-伯克利】反直觉!大模型重压缩提升Transformer的训练和推理效率,47页ppt
专知会员服务
70+阅读 · 2020年7月1日
基于多头注意力胶囊网络的文本分类模型
专知会员服务
78+阅读 · 2020年5月24日
Transformer文本分类代码
专知会员服务
118+阅读 · 2020年2月3日
BERT进展2019四篇必读论文
专知会员服务
70+阅读 · 2020年1月2日
【论文】使用编码器进行命名实体识别(TENER: Adapting Transformer Encoder for Named Entity Recognition)
专知会员服务
52+阅读 · 2019年12月28日
热门VIP内容
开通专知VIP会员 享更多权益服务
因果强化学习的统一框架:综述、分类体系、算法与应用
《无人机系统 - 反无人机系统:测试方法》364页
【MIT博士论文】语言模型的推理时学习算法
美军低成本无人作战攻击系统(LUCAS):扩大无人机战争规模
相关资讯
深度学习的下一步:Transformer和注意力机制
云头条
56+阅读 · 2019年9月14日
最强NLP预训练模型库PyTorch-Transformers正式开源!支持6个预训练框架,27个预训练模型
AI前线
12+阅读 · 2019年7月22日
进一步改进GPT和BERT:使用Transformer的语言模型
机器之心
16+阅读 · 2019年5月1日
CMU、谷歌提出Transformer-XL:学习超长上下文关系
机器之心
9+阅读 · 2019年1月18日
基于Lattice LSTM的命名实体识别
微信AI
48+阅读 · 2018年10月19日
相关论文
Question Generation by Transformers
Arxiv
5+阅读 · 2019年9月14日
Universal Transformers
Arxiv
5+阅读 · 2019年3月5日
Star-Transformer
Arxiv
5+阅读 · 2019年2月28日
Transformer-XL: Attentive Language Models Beyond a Fixed-Length Context
Arxiv
4+阅读 · 2019年1月9日
Music Transformer
Arxiv
5+阅读 · 2018年12月12日
大家都在搜
Palantir
朱克爱德华兹家族
大型语言模型
多域作战
未来战争
蓝牙安全攻防
机场
反恐
VUCA
冷启动,0预算,如何借助分销裂变引爆私域用户增长?
Top
提示
微信扫码
咨询专知VIP会员与技术项目合作
(加微信请备注: "专知")
微信扫码咨询专知VIP会员
Top