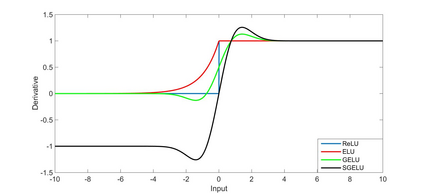
In this paper, a novel neural network activation function, called Symmetrical Gaussian Error Linear Unit (SGELU), is proposed to obtain high performance. It is achieved by effectively integrating the property of the stochastic regularizer in the Gaussian Error Linear Unit (GELU) with the symmetrical characteristics. Combining with these two merits, the proposed unit introduces the capability of the bidirection convergence to successfully optimize the network without the gradient diminishing problem. The evaluations of SGELU against GELU and Linearly Scaled Hyperbolic Tangent (LiSHT) have been carried out on MNIST classification and MNIST auto-encoder, which provide great validations in terms of the performance, the convergence rate among these applications.


翻译:在本文中,拟设立一个新型神经网络激活功能,称为Symmatical Gaussian 错误线性单元(SGELU),以取得很高的性能,其实现方式是将高山错误线性单元(GELU)中随机调节器的特性与对称特性有效结合,与这两个优点相结合,拟议单元提出了双向趋同能力,以便在没有梯度缩小问题的情况下成功地优化网络。 SGELU对GELU和线性缩放超单曲坦肯特(LiSHT)的评价是根据MMSIS分类和MNIST自动编码器进行的,这些分类和自动编码为这些应用的性能和趋同率提供了很大的验证。

0
下载
关闭预览

相关内容

专知会员服务
63+阅读 · 2020年3月4日
Diganta Misra等人提出新激活函数Mish,在一些任务上超越RuLU
专知会员服务
15+阅读 · 2019年10月15日
强化学习最新教程,17页pdf
专知会员服务
182+阅读 · 2019年10月11日
ICML2019机器学习顶会接受论文列表!
专知
10+阅读 · 2019年5月12日
无监督元学习表示学习
CreateAMind
27+阅读 · 2019年1月4日
Unsupervised Learning via Meta-Learning
CreateAMind
43+阅读 · 2019年1月3日
A Technical Overview of AI & ML in 2018 & Trends for 2019
待字闺中
18+阅读 · 2018年12月24日
Disentangled的假设的探讨
CreateAMind
9+阅读 · 2018年12月10日
disentangled-representation-papers
CreateAMind
26+阅读 · 2018年9月12日
ICLR 2018最佳论文AMSGrad能够取代Adam吗
论智
6+阅读 · 2018年4月20日
条件GAN重大改进!cGANs with Projection Discriminator
CreateAMind
8+阅读 · 2018年2月7日
【论文】变分推断(Variational inference)的总结
机器学习研究会
39+阅读 · 2017年11月16日
Auto-Encoding GAN
CreateAMind
7+阅读 · 2017年8月4日
Arxiv
4+阅读 · 2019年1月14日
Arxiv
5+阅读 · 2017年12月14日
Arxiv
3+阅读 · 2017年10月1日
VIP会员
相关VIP内容
相关资讯
ICML2019机器学习顶会接受论文列表!
专知
10+阅读 · 2019年5月12日
无监督元学习表示学习
CreateAMind
27+阅读 · 2019年1月4日
Unsupervised Learning via Meta-Learning
CreateAMind
43+阅读 · 2019年1月3日
A Technical Overview of AI & ML in 2018 & Trends for 2019
待字闺中
18+阅读 · 2018年12月24日
Disentangled的假设的探讨
CreateAMind
9+阅读 · 2018年12月10日
disentangled-representation-papers
CreateAMind
26+阅读 · 2018年9月12日
ICLR 2018最佳论文AMSGrad能够取代Adam吗
论智
6+阅读 · 2018年4月20日
条件GAN重大改进!cGANs with Projection Discriminator
CreateAMind
8+阅读 · 2018年2月7日
【论文】变分推断(Variational inference)的总结
机器学习研究会
39+阅读 · 2017年11月16日
Auto-Encoding GAN
CreateAMind
7+阅读 · 2017年8月4日
Top
微信扫码咨询专知VIP会员